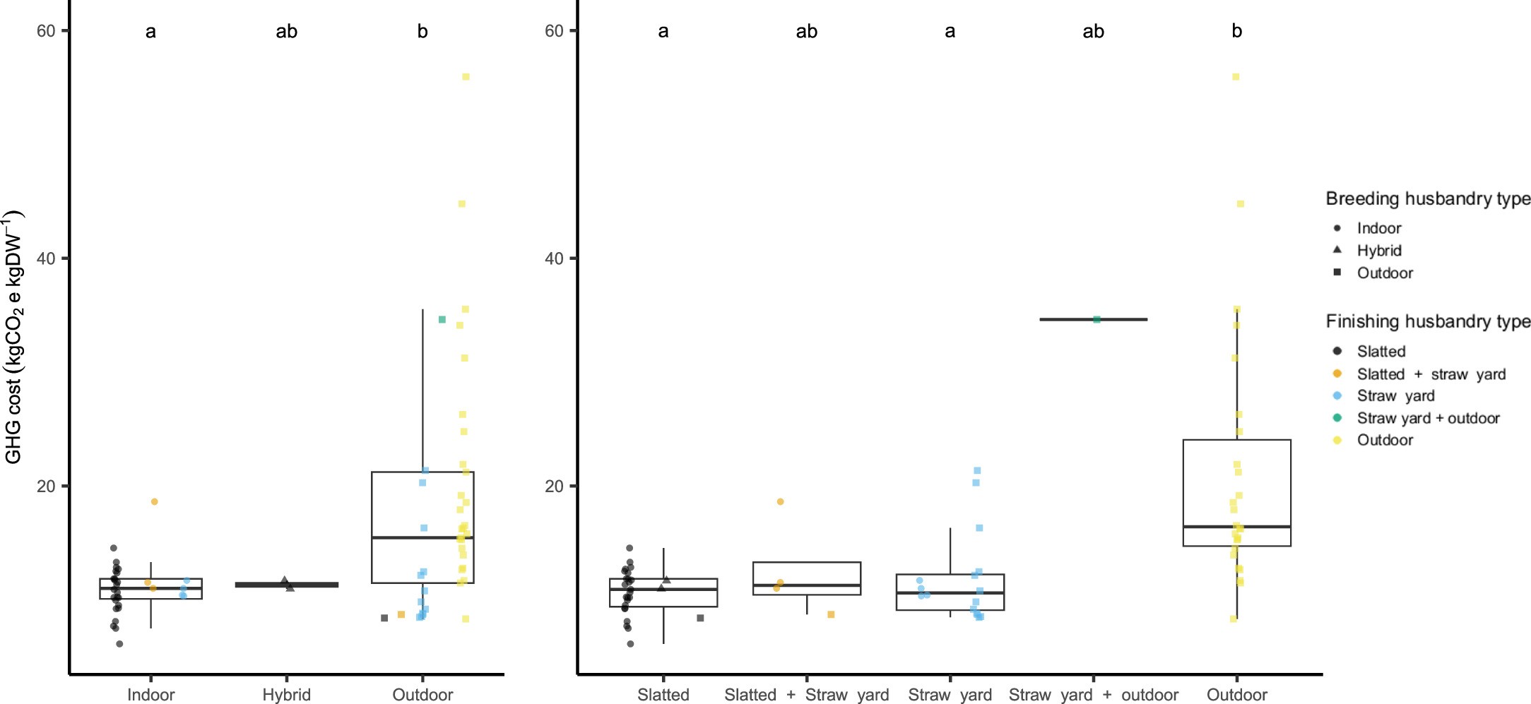
Extended Data Fig. 4: GHG costs of 74 UK breed-to-finish pig systems by a) breeding and b) finishing husbandry type.
From: Trade-offs in the externalities of pig production are not inevitable

GHG cost included animal source emissions, those associated with feed production, transport, energy use, slaughter, processing and forgone sequestration. The shapes and colours of scattered points show the husbandry type of breeding and finishing subsystems respectively. There were significant differences in GHG costs among husbandry types (Kruskal-Wallis: χ2 = 9.2, df=2, p = 0.01 and χ2 = 18.4, df=4, p > 0.01 for breeding and finishing system respectively, both n = 43). Letters above boxplots show the results from Dunn’s post-hoc tests, controlled for multiple comparisons using the Holm method, with different letters indicating significant differences between median values. Indoor-bred systems had lower GHG costs than outdoor bred (p < 0.01), and outdoor-finished than straw yard and slatted (both p < 0.01). Upper and lower whiskers extend to 1.5 times the interquartile range from upper and lower hinges respectively. The middle horizontal bar is the median.