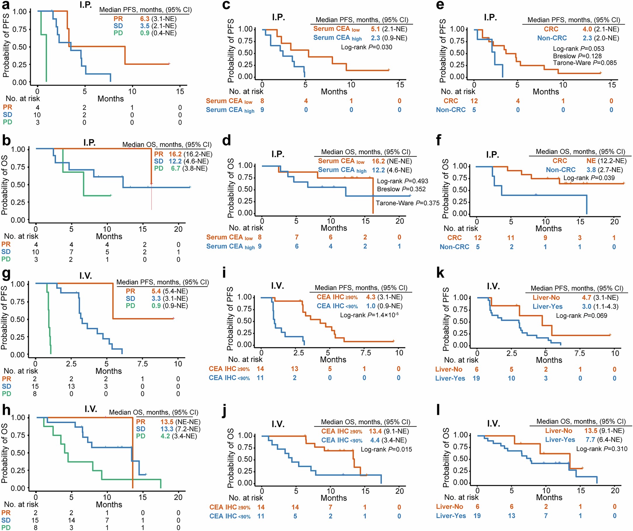
Extended Data Fig. 5: Subgroup analysis of survival outcomes.

Kaplan-Meier curves illustrate PFS and OS stratified by different variables. Survival by the best overall response to therapy in I.P. group (a-b) and I.V. group (g-h). Survival by baseline serum CEA level (high vs. low) (c-d) and primary tumor type (CRC vs. non-CRC) (e-f) in I.P. group. Survival by CEA IHC expression (≥90% vs. <90%) (i-j) and liver metastases (without liver metastases vs. with liver metastases) (k-l) in I.V. group. Between-group survival differences were compared using the log-rank test. For comparisons where Kaplan-Meier curves crossed (indicating non-proportional hazards), the Breslow and Tarone-Ware tests were additionally applied. Abbreviations: I.P., intraperitoneal infusion; I.V., intravenous infusion; PFS, progression-free survival; OS, overall survival; PR, partial response; SD, stable disease; PD, progressive disease; CI, confidence interval; NE, not estimable; CRC, colorectal cancer; IHC, immunohistochemistry.