Abstract
Improvements of magnesium ionic conducting materials are important for the development of novel magnesium solid-state batteries. Here we investigate the effect of nanoconfinement of one of the most conductive magnesium electrolytes − the (Mg(BH4)2·NH3)x(Mg(BH4)2·2NH3)1−x composite. The synthesis of nanoconfined Mg(BH4)2·1.47NH3 in a mesoporous silica scaffold (SBA-15, pore size 5.8 nm) is achieved through melt infiltration. Various degrees of pore filling are investigated, ranging from 100 to 300 %. Solid-state 11B nuclear magnetic resonance analysis confirms the successful stabilization of the highly dynamic eutectic molten state of Mg(BH4)2·1.47NH3 through nanoconfinement. The confined sample exhibits notable thermal stability, maintaining integrity up to approximately 100 °C, and the eutectic molten composite does not recrystallize within five months after synthesis, upon storing at room temperature. Notably, among the confined samples, 200 % pore filling displays promising Mg2+ ionic conductivity within the range of 9.1 × 10−6 to 2.7 × 10−4 S cm−1 and a low activation energy of 0.69 eV at temperatures from 32 to 80 °C. Furthermore, the compound was found to have a low electronic conductivity of 7.93 × 10−11 S cm−1 at 70 °C resulting in an ionic transport number close to unity.
Similar content being viewed by others
Introduction
Owing to increasing renewable energy storage demands, particularly for mobile applications, there is an increasing interest in the development of novel types of solid-state batteries. The well-known lithium-ion battery has lately faced limited advancements for the improvement of energy density and safety. Furthermore, this technology is based on several critical raw materials, which may become scarcer in the near future. As an alternative, significant research efforts within utilization of multivalent metal ions such as Mg2+, Zn2+, and Al3+ are ongoing1. Among them, magnesium is considered a promising anode material for the next-generation batteries due to its high volumetric energy density (3833 mAh cm−3), high elemental abundancy, low cost, and a large negative potential (−2.4 V vs. SHE). Unfortunately, divalent metal-ions, such as Mg2+, are polarizing and interact strongly with the anion lattice and therefore often have limited ionic migration through solid materials1,2,3. This is observed for e.g., oxides and phosphates, which only demonstrate high ionic conductivity at very high temperatures, e.g., T > 400 °C. The spinel type MgX2Z4 (where X = In, Y, or Sc and Z = S or Se) demonstrate low energy barriers for Mg2+ migration, and a high Mg2+ mobility of 10–4 S cm–1 was achieved at room temperature for MgSc2Se4. However, a significant electronic conductivity (0.04 %) hampers practical applications as a solid electrolyte4,5,6,7,8.
The interest in complex metal borohydrides as solid-state electrolytes has greatly increased since the discovery of super ionic conductivity (σ ∼ 10−3 S cm−1) in a high-temperature polymorph of lithium borohydride in 20079. Since then, research into magnesium borohydride (Mg(BH4)2) systems have brought fast solid-state magnesium ionic conductors from a few high-temperature systems, to a variety of systems at close to ambient conditions. Pure α-Mg(BH4)2 exhibits a low solid-state ionic conductivity of 1 \(\times\) 10−9 S cm−1 at 150 °C, reflecting that Mg2+ is confined in tetrahedral sites surrounded by four edge-sharing [BH4]− anions. Anion substitution in Mg(BH4)2 and inclusion of neutral molecules as ligands for magnesium has been used as methods for enhancing the Mg2+ conductivity10,11,12,13,14,15,16,17,18,19,20. A similar approach has also been explored for closo-(carbo)-borate systems, e.g., Mg[CB11H12]2·3NH2CH2CH2NH2 and Mg[B12H12]2·12H2O21,22,23. One of the best performing solid electrolytes is the composite (Mg(BH4)2·NH3)x(Mg(BH4)2·2NH3)1−x, which has an optimal composition for conductivity at x = 0.4 and forms an eutectic melt at T = 55 °C for x = 0.513. Above 55 °C, the composite melts, which significantly lowers the activation energy for Mg2+ migration to Ea = 0.38 eV, as ascribed to the increased dynamics of the material. Boron based compounds are very successful both as liquid state and solid-state magnesium ionic conductors24. But electrolytes in future solid-state batteries are expected to be thinner and more recyclable by allowing disassembly of such batteries, which may countervail the fact that boron is also considered a critical raw material25.
Recent results show that the addition of insulating oxide nanoparticles, e.g., MgO (75 wt%) or Al2O3 (67 wt%) nanocomposites, stabilizes the molten state of (Mg(BH4)2·NH3)x(Mg(BH4)2·2NH3)1−x and provides magnesium ionic conductivities in the order of 10−5 S cm−1 at room temperature with Ea of 0.55–0.96 eV13,26. The applicability of the Mg(BH4)2·1.6NH3−MgO(75 wt%) composite has also been demonstrated in an all-solid-state battery using a magnesium-metal anode and layered TiS2 as cathode17. While nanocomposites of Mg(BH4)2·1.6NH3 with inert, insulating nanoparticles have been investigated, the effect of confinement inside a mesoporous scaffold remains unexplored. Mesoporous silica scaffolds may also have significantly different surface energy and wetting properties as compared to dense nanoparticles of aluminum and magnesium oxides. Nanoconfinement has successfully been used to stabilize the high dynamic phase of other complex hydrides27,28,29,30,31. For example, by confining LiBH4 in a mesoporous silica scaffold (MCM-41), the ionic conductivity increased from σ(Li+) ∼10−8 S cm−1 to ∼10−4 S cm−1 at room temperature. This is attributed to the stabilization of a highly dynamic state of LiBH4 by the silica pore walls27,28,32.
In this work, we present the first study of the effect of nanoconfined Mg(BH4)2·1.47NH3 in the pores of mesoporous silica SBA-15 obtained by melt infiltration, along with the effect of the pore filling degree on the Mg2+ ionic conductivity. Finally, the thermal stabilities of the nanocomposites are investigated.
Results and discussion
Structural investigation
Specific surface area, pore-size distributions, and pore volume of the SBA-15 scaffold were determined by the N2 adsorption-desorption technique to be 825 m2 g−1, 5.8 nm, and 0.77 cm3 g−1, respectively (see Supplementary Fig. 1). Rietveld refinement of PXD data reveal that the as-prepared composite contained 47.7 wt% (53.1 mol%) of Mg(BH4)2·NH3 and 52.3 wt% (46.9 mol%) of Mg(BH4)2·2NH3, resulting in the average composition Mg(BH4)2·1.47NH3 (see Supplementary Fig. 2). Melt infiltrated (MI) samples are denoted as MI100, MI200 and MI300, as a reference to their calculated degree of pore filling, i.e. 100, 200 and 300% (see Table 1). However, a specific surface area and total pore volume of 24.1 m2/g and 0.09 cm3/g are observed for the MI100, suggesting that the degree of pore-filling is only 88%. For MI200 and MI300, the specific surface area and total pore volume are negligible, implying that the pores are either filled or blocked (see Supplementary Fig. 3 and Supplementary Table 1). Powder X-ray diffraction (PXD) data of the confined samples are shown in Fig. 1a. The PXD data of the Mg(BH4)2·1.47NH3 and SBA-15 are also presented in Fig. 1a for comparison. The lack of Bragg peaks in the diffraction pattern of MI100 suggests that the Mg(BH4)2·1.47NH3 composite is confined in the pores of SBA-15. This is also supported by the change in the background scattering of sample MI100 and SBA-15, which suggests the presence of additional amorphous material in the former. In the case of MI200 and MI300, diffraction peaks corresponding to Mg(BH4)2·NH3 are observed, suggesting a recrystallization of excess Mg(BH4)2·NH3 on the surface of SBA-15 upon melt infiltration, while the eutectic composition Mg(BH4)2·1.5NH3 appear to be stabilized also on the outer surface of the SBA-15 nanoparticles. After 5 months of storage, small amounts of Mg(BH4)2·NH3 appear to recrystallize from the MI200 and MI300 samples, while small amounts of both Mg(BH4)2·NH3 and Mg(BH4)2·2NH3 recrystallize from MI100, see Fig. 1b.
Solid-state 11B magic-angle spinning (MAS) NMR spectra of Mg(BH4)2 ∙ 1.47NH3 as well as the nanoconfined samples were collected after 5 months of storage, see Fig. 2. The composite Mg(BH4)2 ∙ 1.47NH3, reveal three different boron resonances at −40.5, −41.5, and −42.1 ppm. This observation indicates a physical mixture of Mg(BH4)2 ∙ NH3 and Mg(BH4)2 ∙ 2NH3, which contain one (−40.5 ppm) and two (−41.5 and −42.1 ppm) distinct boron sites, respectively, in agreement with earlier studies13,26. The resonances can be satisfactorily simulated with Lorentz-shaped peaks, from which a full width at half maximum (FWHM) linewidth of 1.08 ± 0.05 ppm is estimated for the tallest resonance at −40.5 ppm from Mg(BH4)2 ∙ NH3. For all confined samples, the sharp peak at −40.3 ppm with a Lorentzian line shape indicates the presence of a high degree of boron dynamics in the eutectic molten state, suggesting the stabilization of the molten state as seen in previous studies13.
The MI100 sample (FWHM = 0.66 ± 0.05 ppm for the −40.3 ppm resonance) is estimated to consists of 37 mol% Mg(BH4)2 ∙ 2NH3 and 63 mol% of a mixture of nanoconfined material and Mg(BH4)2 ∙ NH3. It should be noted that it was not possible to separate contributions from the nanoconfined material and Mg(BH4)2 ∙ NH3 in MI100, due to the significant overlap of the resonances from nanoconfined material, Mg(BH4)2 ∙ NH3 and Mg(BH4)2 ∙ 2NH3. However, the presence of Mg(BH4)2 ∙ NH3 in MI100-300 can be confirmed by the PXD data (see Fig. 1b). In contrast, the sharp peak (at −40.3 ppm) for MI200 and MI300 can be simulated using two Lorentzian peaks, one with FWHM = 1.08 ppm (Mg(BH4)2 ∙ NH3) and the other with FWHM = 0.62 ± 0.05 ppm (MI200) or FWHM = 0.67 ± 0.05 ppm (MI300). The intensities from these simulations indicate that MI200 consists of 72 mol% nanoconfined material in the non-crystalline “eutectic molten state” and 28 mol% Mg(BH4)2 ∙ NH3, whereas MI300 contains 74 mol% nanoconfined material and 26 mol% Mg(BH4)2 ∙ NH3. This is consistent with the PXD, where diffraction from Mg(BH4)2 ∙ NH3 is observed.
The presence of crystalline Mg(BH4)2 ∙ NH3 and Mg(BH4)2 ∙ 2NH3 in MI100 observed in the PXD data after 5 months of storage (see Fig. 1b) may be attributed to an incomplete infiltration, allowing for the recrystallization of the eutectic composition. As the degree of pore filling increases to 200% and 300%, there is no evidence of Mg(BH4)2 ∙ 2NH3 in the 11B NMR spectra, in accordance with the PXD results in Fig. 1b. There is no discernible difference in linewidth between the infiltrated samples, indicating that degree of pore filling does not affect boron dynamics in the range from 100 to 300% (see Supplementary Table 2). Thus, the highly dynamic eutectic molten state is stabilized both inside the pores and on the surface of the SBA-15 nanoparticles.
Ionic conductivity
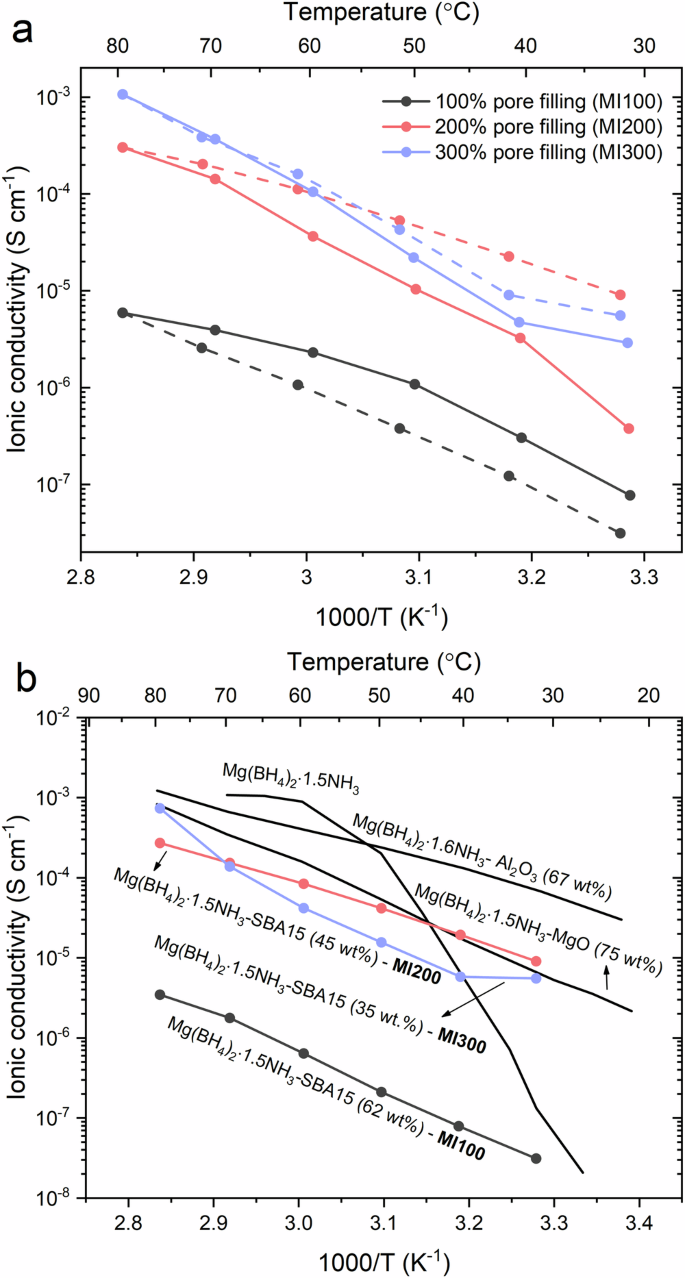
The Mg2+ ionic conductivity as a function of temperature of the first heating and cooling cycles of the samples are shown in Fig. 3a. The associated Nyquist plot and equivalent circuit of MI100 is presented in Supplementary Fig. 4. The Mg2+ ionic conductivity of MI100 is 3.1 × 10−8 to 6.3 × 10−6 S cm−1 in the temperature range of 32 to 80 °C. However, the Mg2+ conductivity gradually decreases in the 2nd and 3rd cycles of MI100, see Supplementary Fig. 5. This may be attributed to the electrolyte further intercalating into SBA-15, which leads to reduced particle-particle contact, resulting in a lower ionic conductivity. Both MI200 and MI300 achieved higher Mg2+ ionic conductivities of 9.1 × 10−6 to 2.7 × 10−4 S cm−1 and 5.5 × 10−6 to 7.4 × 10−4 S cm−1, respectively, in the temperature range of 32–80 °C. This reflects the existence of electrolyte on the surface of the SBA-15 particles, which allows for Mg2+ migration across the SBA-15 particles and provides additional interface for Mg2+ ionic migration, as compared to MI100. Overfilling of the mesoporous scaffolds, i.e., sample MI200 and MI300, reveal that both the inner and the outer surface stabilize the eutectic molten state of the composite. This suggests that interface conductivity in three dimensions is faster and more efficient as compared to one-dimensional intra-pore conductivity in the mesoporous silicate scaffold. The highest conductivity of MI300 at high temperature could be due to the higher amount of the active conducting material (i.e., eutectic molten material). However, the hysteresis in ionic conductivity of MI300 upon heating and cooling may be caused by the remelting/recrystallization of Mg(BH4)2·1.47NH3 owing to an insufficient amount of SBA-15 (only 35 wt%) to suppress these phenomena.
a Mg2+ ionic conductivity as a function of temperature for the samples MI100, MI200, and MI300 during the 1st heating (full lines) and cooling (dashed lines) cycles. b Mg2+ ionic conductivity as a function of temperature compared to other ammine magnesium borohydrides doped with oxide nanoparticles (Mg2+ ionic conductivities of MI100, MI200 and MI300 are from the 2nd heating cycle)13,26.
A significant increase in ionic conductivity of MI200 is observed upon the 1st cooling cycle and is stable for at least 3 cycles of heating and cooling between the temperatures of 32–80 °C (see Supplementary Fig. 5). The increase in conductivity after the initial heating may be related to the elimination of grain boundaries that form as a result of pressing the pellet. For the MI300, the apparent hysteresis during each heating and cooling may be due to melting or recrystallization of the Mg(BH4)2 ∙ 1.47NH3 composite. This suggests that the amount of SBA-15 is too low to suppress the recrystallization, and thus it behaves like the bulk sample (see Supplementary Fig. 5). Thus, the ionic conductivity measurement suggests that MI200 is the ideal composition, where the pores of SBA-15 is filled and a sufficient amount of the Mg(BH4)2 ∙ 1.47NH3 composite is present on the surface of SBA-15 to ensure contact between the particles, but in a sufficiently small surface layer to preserve the highly dynamical state of Mg(BH4)2 ∙ 1.5NH3.
Compared to the Mg(BH4)2 ∙ 1.47NH3 composite, the MI200 and MI300 samples show higher Mg2+ ionic conductivity at T < 50 °C, see Fig. 3b. Compared to the other oxide composites, the MI200 shows a slightly higher Mg2+ ion conductivity relative to Mg(BH4)2·1.5NH3 mixed with 75 wt% of MgO in the low temperature range of 32–45 °C13, while that with 67 wt% Al2O3 display a higher ionic conductivity26. In all cases the activation energy is lower than for Mg(BH4)2·1.5NH3 (3.4 eV at T < 55 °C) in the temperature range of 32 to 80 °C (see Table 2), demonstrating efficient confinement using SBA-15. Activation energy for all experiments is provided in Supplementary Table 3.
The electrochemical stability of MI200 was evaluated by cyclic voltammetry (CV) (Fig. 4a). A potential range between –0.5 and 0.5 V vs. Mg/Mg2+ was applied to an asymmetric cell, Mo|MI200|Mg at 70 °C for initially 15 cycles, and later 85 additional cycles. The cathodic and anodic current peaks corresponding to Mg2+ plating and stripping, respectively, were observed during the 15 initial cycles. The increasing plating/stripping currents during the first 10 cycles indicates the formation of a favorable interface layer, enhancing the interfacial contact between the electrodes and the electrolyte13. The cell was relaxed overnight, and subsequently continued for up to a total of 100 cycles, showing a lower initial plating and stripping current in cycle 16, which gradually increased each cycle. However, significant noise is observed during plating after cycle 51, possibly related to contact issues after several stripping/plating cycles (see Supplementary Fig. 7). After the first 100 cycles, the cell was relaxed overnight, and the voltage range between −0.5 to 2.5 V vs. Mg/Mg2+ was applied to the cell (see Supplementary Fig. 8). During the 1st cycle, an irreversible oxidation peak is observed at voltages above 1.2 V vs. Mg/Mg2+. This is assigned to the oxidation of the borohydride anion in agreement with other Mg(BH4)2 derivatives13,14,16,17. However, despite the oxidation of the electrolyte, it still allows for plating and stripping of Mg in the subsequent cycles, in agreement with the previous reports of Mg(BH4)2-1.6NH3 with MgO nanoparticles13. The oxidation of the electrolyte is less pronounced upon further cycling. The current density reaches a maximum in the 4th cycle and remains stable up to the 10th cycle, then gradually decreases to 50% and 25% of the maximum current density at the 20th and 30th cycles, respectively.
A chronoamperometry experiment was used to examine the ionic transport number (tion) of MI200 (Fig. 4b). By applying potential of 0.5 V to a cell using stainless steel (SS) blocking electrodes SS|MI200|SS at 70 °C, the steady state current (ie) of 0.727 nA was observed. The electronic conductivity was determined to be 7.93 × 10–11 S cm–1 using Ohm’s law resulting in an ionic transport number of 0.9999996. This indicates that the conducting species are almost exclusively ionic.
Thermal stability
The thermal stability was determined using thermogravimetric analysis (TGA) and mass spectrometry (MS). Thermal decomposition of as-prepared Mg(BH4)2·1.47NH3 occurs with onset at Tonset ∼ 100 °C (see Supplementary Fig. 6), which is lower than the previously reported Tonset value for Mg(BH4)2·1.5NH3 (∼120 °C)13. This difference could be attributed to the lower heating rate of 2 °C/min compared to 5 °C/min in previous work. The thermal decomposition profiles of the confined samples exhibit a high thermal stability of more than 100 °C, see Supplementary Fig. 6. The mass loss of as prepared Mg(BH4)2·1.47NH3 in the temperature range of 100 to 190 °C is 4.6 wt%, while the mass loss of the confined samples ranges from 1.86 to 2.60 wt%, increasing with the Mg(BH4)2·1.47NH3 content in the sample. The different H2-release temperature between Mg(BH4)2·1.47NH3 and the confined samples (see Supplementary Fig. 6) could be an effect of nanoconfinement. Only hydrogen gas is observed by mass spectrometry, which suggests hydrogen elimination via di-hydrogen bonds in the solid-state.
Conclusions
Nanoconfinement of Mg(BH4)2·1.47NH3 in the porous scaffold SBA-15 was achieved through melt infiltration with different degrees of pore filling, i.e., 100, 200 and 300%. Initially all pore fillings resulted in the complete stabilization of eutectic molten Mg(BH4)2·NH3−Mg(BH4)2·2NH3, i.e., Mg(BH4)2·1.5NH3, with a small excess of Mg(BH4)2·NH3. After 5 months of storage, some recrystallization of Mg(BH4)2·NH3 and Mg(BH4)2·2NH3 was observed for MI100, whereas only minor amounts of Mg(BH4)2·NH3 was observed for MI200 and MI300. Solid-state 11B NMR results indicate that the melt infiltrated composite Mg(BH4)2·1.47NH3 has higher boron dynamics as compared to the pristine crystalline samples, evidenced by narrower resonances. This was also reflected in the conductivity, where all samples reveal lower activation energies. MI100 displayed a decreased conductivity upon heat treatment, which is assigned to further infiltration of Mg(BH4)2·1.47NH3, thereby disrupting the Mg2+ conduction path across particles within the sample. The sample with 200 % pore filling (MI200) has the best performance, as illustrated by the high Mg2+ ionic conductivity of 9.1 × 10−6 to 2.7 × 10−4 S cm−1, and low activation energy of 0.69 eV in the temperature range of 32 to 80 °C. Furthermore, it displays a low electronic conductivity of σe = 7.93 × 10−11 S cm−1. Decreasing the SBA-15 content further, results in an inability to suppress recrystallization of Mg(BH4)2·1.47NH3 upon further thermal treatment. Finally, the confined samples revealed a high thermal stability up to ∼100 °C. Cyclic voltammetry experiments shows that nanoconfined Mg(BH4)2·1.5NH3 in mesoporous silicate scaffolds has a similar electrochemical stability of 1.2 V vs. Mg/Mg2+ as compared to composites created by confinement with dense metal oxide nanoparticles, i.e., MgO and Al2O3, limited by the oxidative stability of the BH4− anion13,26,33. In this work we use a lower amount of inert, insulating additive, e.g., MI200 consists of 45 wt% silicate and 55 wt% electrolyte. For comparison, the MgO and Al2O3 based composites use 75 and 67 wt%, respectively, for the optimized compositions13,26. An advantage of the magnesium borohydride based electrolytes is the stability towards a magnesium metal anode, the high ionic transport number and extremely low electronic conductivity. Moreover, it is compatible with low potential cathodes such as transition metal sulfides, which is demonstrated by the inorganic solid-state battery cell, Mg∣SE∣MgxTiS2, for SE = Mg(BH4)2 ∙ 1.6NH3-MgO(75 wt%) or Mg(BH4)2 ∙ 1.5THF-MgO(75 wt%)17,34.
Methods
Sample preparation
The synthesis of the Mg(BH4)2·1.47NH3 composite followed the procedure described in the literature13,35. Initially, Mg(BH4)2·6NH3 was synthesized by a gas-solid reaction between Mg(BH4)2 and dry ammonia gas. The Mg(BH4)2 powder was exposed to p(NH3) = 1 bar for 2 h at room temperature. The Mg(BH4)2·1.47NH3 composite was obtained by ball milling of Mg(BH4)2 and Mg(BH4)2·6NH3 in a 3:1 molar ratio using a Fritz pulverisette 6 with tungsten carbide (WC) vial and balls. A ball-to-powder weight ratio (BPR), effective milling time, and rotational speed of 30:1, 7 h, and 200 rpm, respectively, were used. As-received mesoporous silica SBA-15 (99.9%, Sigma Aldrich) was dried at 300 °C under dynamic vacuum, overnight, prior to use. As-prepared Mg(BH4)2·1.47NH3 composite and dried SBA-15 were mixed with different degrees of pore filling in a mortar for 10 min. The Mg(BH4)2·1.47NH3 composite was melt infiltrated into the pores of SBA-15 by heating of the mixtures to 110 °C (5 °C min−1) under a hydrogen pressure of p(H2) = 50 bar for 30 min to prevent any reaction between the composite and the SBA-15 scaffold. Melt infiltrated (MI) samples are denoted as MI100, MI200 and MI300, as a reference to their calculated degree of pore filling (see Table 1).
Characterization
Texture parameters of SBA-15 were investigated by N2 adsorption-desorption technique using a Quantachrome autosorb NOVA 2000 automated gas sorption system. The powder sample was degassed at 200 °C for SBA15 and 60 °C for confined samples, under vacuum for 20 h. Adsorption-desorption isotherms were studied in the pressure range of 0–1 p/p0 at 77 K. Data were analyzed by the t-plot method. The Brunauer–Emmett–Teller (BET) method was used to calculate the specific surface area36. The total pore volume was determined at a relative pressure p/p0 of ∼1. The pore size distribution was determined by means of the Barrett–Joyner–Halenda (BJH) method37.
Phase compositions of the samples were characterized by powder X-ray diffraction (PXD), using a Rigaku SMARTLAB diffractometer equipped with a rotating Cu anode (Cu Kα radiation, 2 kW, λ = 1.54056 Å). The powder samples were packed in 0.5 mm outer diameter borosilicate capillaries in an argon-filled glove box, sealed with glue, and transferred to the instrument without air exposure.
The structural refinement of the sample was carried out using the Fullprof software38. The background was described by linear interpolation between selected points, while pseudo-Voigt profile functions were used to fit the diffraction peaks.
Thermal decomposition behavior of the sample was characterized by thermogravimetric analysis (TGA) and differential scanning calorimetry (DSC) using a PerkinElmer STA 6000. The powder sample (∼3.5 mg) was loaded into a Al2O3 crucible and heated from 30 to 200 °C (ΔT/Δt = 2 °C min−1) in 30 mL min−1 Ar flow. The gases released from the sample were analyzed by mass spectrometry (MS), using a Hiden Analytical HPR-20 QMS sampling system.
Electrochemical impedance spectroscopy (EIS) data were collected using a BioLogic MTZ-35 impedance analyzer equipped with a high-temperature sample holder. The power sample was compacted at a mechanical pressure of 0.75 GPa for 5 min in an argon-filled glovebox, using a 5 mm diameter die set. Impedance data were measured in a frequency range from 107 to 1 Hz, with an amplitude of 10 mV, in the temperature range from RT to 80 °C. EIS data were analyzed with the software MT-Lab, and all activation energies were extracted from ln(σT) vs. T−1 plots of the data collected during the second heating cycle.
The solid-state 11B MAS NMR spectra were recorded on a Varian Direct-Drive VNMRS-600 spectrometer (14.09 T) using a home-built CP/MAS NMR probe for 4 mm outer-diameter zirconia (PSZ) rotors. The spectra employed a spinning frequency of νR = 12.0 kHz, a 0.5 μs excitation pulse for a 11B rf field strength of γB1/2π = 68 kHz, 1H decoupling during acquisition (γB2/2π = 45 kHz), and a relaxation delay of 4 s. The experiments were performed at ambient temperature using airtight end-capped PSZ rotors packed with the samples in an argon-filled glovebox. Isotropic 11B chemical shifts are relative to neat F3B·O(CH2CH3). The spectra were acquired 5 months after the melt infiltration was conducted.
Cyclic voltammetry (CV) was recorded with a Biologic SP-300 in an in-house build PEEK cell with a diameter of 10.3 mm. Powder sample of MI200 ~0.03 g was pressed directly on a Mg-electrode in the PEEK cell at 354 MPa. The cell voltage ranged from −0.5 to 0.5 and −0.5 to 2.5 were applied to the Mo|MI200|Mg cell at T = 70 °C. A scan rate of 10 mVs−1 was used.
The electronic conductivity was determined by a chronoamperometry experiment. The cell assembly was similar to the CV experiment. A voltage of 0.5 V was applied to a symmetric cell using stainless steel (SS) blocking electrodes. The current response was monitored for 1 h at T = 70 °C with a Biologic SP-300 in an in-house built PEEK cell, and the steady state current was used to calculate the resistance using Ohms Law. Subsequently, the electronic conductivity was calculated using the equation σe = h/A ∙ R, where h and A is the height and area of the pellet, respectively, while R is the resistance.
Data availability
All data that support the findings of this study are presented in the manuscript and Supplementary Information or are available from the corresponding author upon request.
References
Zhan, Y., Zhang, W., Lei, B., Liu, H. & Li, W. Recent development of Mg ion solid electrolyte. Front. Chem. 8, 125 (2020).
Jaschin, P. W., Gao, Y., Li, Y. & Bo, S.-H. A materials perspective on magnesium-ion-based solid-state electrolytes. J. Mater. Chem. A 8, 2875–2897 (2020).
Patel, M. et al. Fundamentals, recent developments and prospects of lithium and non-lithium electrochemical rechargeable battery systems. J. Energy Chem. 81, 221–259 (2023).
Canepa, P. et al. High magnesium mobility in ternary spinel chalcogenides. Nat. Commun. 8, 1759 (2017).
Canepa, P., Sai Gautam, G., Broberg, D., Bo, S.-H. & Ceder, G. Role of point defects in spinel Mg chalcogenide conductors. Chem. Mater. 29, 9657–9667 (2017).
Wang, L.-P. et al. MgSc2Se4—a magnesium solid ionic conductor for all-solid-state Mg batteries? ChemSusChem 12, 2286–2293 (2019).
Kundu, S., Solomatin, N., Kraytsberg, A. & Ein-Eli, Y. MgSc2Se4 solid electrolyte for rechargeable Mg batteries: an electric field-assisted all-solid-state synthesis. Energy Technol. 10, 2200896 (2022).
Glaser, C. et al. To be or not to be—is MgSc2Se4 a Mg-ion solid electrolyte? Adv. Energy Mater. 13, 2301980 (2023).
Matsuo, M., Nakamori, Y., Orimo, S., Maekawa, H. & Takamura, H. Lithium superionic conduction in lithium borohydride accompanied by structural transition. Appl. Phys. Lett. 91, 224103 (2007).
Matsuo, M. et al. Sodium and magnesium ionic conduction in complex hydrides. J. Alloy. Compd. 580, S98–S101 (2013).
Kisu, K. et al. Magnesium borohydride ammonia borane as a magnesium ionic conductor. ACS Appl. Energy Mater. 3, 3174–3179 (2020).
Yan, Y. et al. The mechanism of Mg2+ conduction in ammine magnesium borohydride promoted by a neutral molecule. Phys. Chem. Chem. Phys. 22, 9204–9209 (2020).
Yan, Y. et al. Ammine magnesium borohydride nanocomposites for all-solid-state magnesium batteries. ACS Appl. Energy Mater. 3, 9264–9270 (2020).
Amdisen, M. B., Grinderslev, J. B., Skov, L. N. & Jensen, T. R. Methylamine magnesium borohydrides as electrolytes for all-solid-state magnesium batteries. Chem. Mater. 35, 1440–1448 (2023).
Kristensen, L. G., Amdisen, M. B., Skov, L. N. & Jensen, T. R. Fast magnesium ion conducting isopropylamine magnesium borohydride enhanced by hydrophobic interactions. Phys. Chem. Chem. Phys. 24, 18185–18197 (2022).
Roedern, E., Kühnel, R.-S., Remhof, A. & Battaglia, C. Magnesium ethylenediamine borohydride as solid-state electrolyte for magnesium batteries. Sci. Rep. 7, 46189 (2017).
Skov, L. N., Grinderslev, J. B., Rosenkranz, A., Lee, Y.-S. & Jensen, T. R. Towards solid-state magnesium batteries: ligand-assisted superionic conductivity. Batter. Supercaps 5, e202200163 (2022).
Grinderslev, J. B. et al. New perspectives of functional metal borohydrides. J. Alloys Compd. 896, 163014 (2021).
Cuevas, F. et al. Metallic and complex hydride-based electrochemical storage of energy. Prog. Energy 4, 032001 (2022).
Kristensen, L. G., Grinderslev, J. B., Amdisen, M. B. & Jensen, T. R. Ligand substitution as a strategy to tailor cationic conductivity in all-solid-state batteries. Commun. Mater. 5, 1–7 (2024).
Berger, A., Ibrahim, A., Buckley, C. E. & Paskevicius, M. Divalent closo-monocarborane solvates for solid-state ionic conductors. Phys. Chem. Chem. Phys. 25, 5758–5775 (2023).
Kisu, K. et al. Fast divalent conduction in MB12H12·12H2O (M = Zn, Mg) complex hydrides: effects of rapid crystal water exchange and application for solid-state electrolytes. J. Mater. Chem. A 10, 24877–24887 (2022).
Campos dos Santos, E. et al. Explore the ionic conductivity trends on B12H12 divalent closo-type complex hydride electrolytes. Chem. Mater. 35, 5996–6004 (2023).
Palacin, M. R. et al. Roadmap on multivalent batteries. J. Phys. Energy 6, 031501 (2024).
Directorate-General for Internal Market, Industry, Entrepreneurship and SMEs (European Commission), Grohol, M. & Veeh, C. Study on the Critical Raw Materials for the EU 2023: Final Report. (Publications Office of the European Union, 2023).
Yan, Y. et al. Fast room-temperature Mg2+ conductivity in Mg(BH4)2·1.6NH3–Al2O3 nanocomposites. J. Phys. Chem. Lett. 13, 2211–2216 (2022).
Blanchard, D. et al. Nanoconfined LiBH4 as a fast lithium ion conductor. Adv. Funct. Mater. 25, 184–192 (2015).
Suwarno et al. Confinement effects for lithium borohydride: comparing silica and carbon scaffolds. J. Phys. Chem. C 121, 4197–4205 (2017).
Lambregts, S. F. H. et al. Phase behavior and ion dynamics of nanoconfined LiBH4 in silica. J. Phys. Chem. C 123, 25559–25569 (2019).
Choi, Y. S. et al. Enhanced Li ion conductivity in LiBH4–Al2O3 mixture via interface engineering. J. Phys. Chem. C 121, 26209–26215 (2017).
Choi, Y. S., Lee, Y.-S., Oh, K. H. & Cho, Y. W. Interface-enhanced Li ion conduction in a LiBH4–SiO2 solid electrolyte. Phys. Chem. Chem. Phys. 18, 22540–22547 (2016).
Zettl, R. et al. Combined effects of anion substitution and nanoconfinement on the ionic conductivity of Li-based complex hydrides. J. Phys. Chem. C 124, 2806–2816 (2020).
Wang, Q. et al. Oxygen vacancies boosted fast Mg2+ migration in solids at room temperature. Energy Storage Mater. 51, 630–637 (2022).
Skov, L. N., Grinderslev, J. B. & Jensen, T. R. Layered titanium sulfide cathode for all-solid-state magnesium batteries. Batter. Supercaps 6, e202300185 (2023).
Filinchuk, Y. et al. Porous and dense magnesium borohydride frameworks: synthesis, stability, and reversible absorption of guest species. Angew. Chem. Int. Ed. 50, 11162–11166 (2011).
Brunauer, S., Emmett, P. H. & Teller, E. Adsorption of gases in multimolecular layers. J. Am. Chem. Soc. 60, 309–319 (1938).
Barrett, E. P., Joyner, L. G. & Halenda, P. P. The determination of pore volume and area distributions in porous substances. I. Computations from nitrogen isotherms. J. Am. Chem. Soc. 73, 373–380 (1951).
Rodríguez-Carvajal, J. Recent advances in magnetic structure determination by neutron powder diffraction. Phys. B Condens. Matter 192, 55–69 (1993).
Acknowledgements
The Royal Golden Jubilee Ph.D. program, Thailand (grant: PHD/0183/2559) is thanked for funding of a PhD stipend for P.D. Mohammad Aref Hasen Mamakhel is thanked for his contributions to the BET analysis. The independent research fund Denmark for technology and production is thanked for funding of SOS-MagBat (grant: 9041-00226B) and CaMBat (grant: DFF-0217-00327B). The work was supported by the Danish Research Council for Nature and Universe (Danscatt). Affiliation with the Center for Integrated Materials Research (iMAT) at Aarhus University is gratefully acknowledged. The work was supported by Thailand Science Research and Innovation (TSRI), Suranaree University of Technology (SUT), National Science, Research and Innovation Fund (NSRF) (grant: FF2567-NRIIS number 4693199), and NSRF via the Program Management Unit for Human Resources & Institutional Development, Research and Innovation (PMU-B) (grant: B13F660067).
Author information
Authors and Affiliations
Contributions
Palmarin Dansirima (synthesis, characterization, and writing), Lasse G. Kristensen (characterization and writing), Jakob B. Grinderslev (synthesis, characterization, and writing), Jørgen Skibsted (NMR characterization and writing), Rapee Utke (funding, supervision, and writing) and Torben R. Jensen (funding, supervision, and writing).
Corresponding author
Ethics declarations
Competing interests
T.R.J. is a Guest Editor for Communications Materials and was not involved in the editorial review, or the decision to publish, this article. All other authors have no competing interests to declare.
Peer review
Peer review information
Communications Materials thanks the anonymous reviewers for their contribution to the peer review of this work. Primary Handling Editor: Jet-Sing Lee. A peer review file is available.
Additional information
Publisher’s note Springer Nature remains neutral with regard to jurisdictional claims in published maps and institutional affiliations.
Supplementary information
Rights and permissions
Open Access This article is licensed under a Creative Commons Attribution-NonCommercial-NoDerivatives 4.0 International License, which permits any non-commercial use, sharing, distribution and reproduction in any medium or format, as long as you give appropriate credit to the original author(s) and the source, provide a link to the Creative Commons licence, and indicate if you modified the licensed material. You do not have permission under this licence to share adapted material derived from this article or parts of it. The images or other third party material in this article are included in the article’s Creative Commons licence, unless indicated otherwise in a credit line to the material. If material is not included in the article’s Creative Commons licence and your intended use is not permitted by statutory regulation or exceeds the permitted use, you will need to obtain permission directly from the copyright holder. To view a copy of this licence, visit http://creativecommons.org/licenses/by-nc-nd/4.0/.
About this article
Cite this article
Dansirima, P., Kristensen, L.G., Grinderslev, J.B. et al. Nanoconfinement of an ammine magnesium borohydride composite electrolyte in a mesoporous silica scaffold. Commun Mater 5, 160 (2024). https://doi.org/10.1038/s43246-024-00601-5
Received:
Accepted:
Published:
Version of record:
DOI: https://doi.org/10.1038/s43246-024-00601-5






