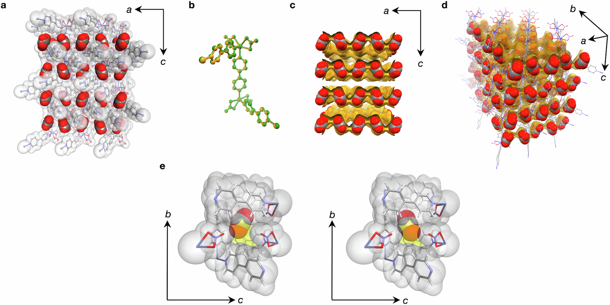
Fig. 5: Crystal structure of Co-TG in CO2-adsorbed state.

a View from the same as Fig. 4d. b Overlayed image of the fragments in the bilayer motif of the Co-TG framework, containing two crystallographic asymmetric units, with hydrogen atoms omitted. Green and yellow atoms correspond to the desolvated and CO2-adsorbed states, respectively. c The 1D corrugated pore and CO2 molecules accommodated in the 0D-like cavity. d Perspective view of the array of the 1D corrugated channels and the CO2 molecules accommodated in the 0D-like cavity. e Two configuration models of a CO2 molecule disordering in one of the 0D-like cavities with the surrounding atoms of the TG framework.