Abstract
Reactions of the ternary components of Co2+ ion, 4,4′-bipyridine, and NO3− give several coordination polymers, which are often obtained in mixed phases. Herein, we explore the condition for the selective formation of Co-1D chain and Co-tongue-and-groove coordination polymers and find reversible interconversion pathways between them. The crystal structures of Co-tongue-and-groove in desolvated and two different CO2-adsorbed states show a one-dimensional corrugated channel with small windows through which CO2 is unlikely to pass. Nevertheless, a sufficient amount of CO2 is adsorbed at 195 K. The CO2 molecules are accommodated in the swollen cavity, forcing their way through the seemingly impermeable window of the channel, which we have named squeezing adsorption. The local motion of the ligand of the window frame plays an essential role in the guest permeation, which proves that the tongue-and-groove coordination polymers are essentially locally flexible porous frameworks.
Similar content being viewed by others
Introduction
The chemistry of coordination polymers (CPs) consisting of organic linkers began with copper(I). The first crystal structure of CP, [Cu(NC(C4H8)CN)2](NO3), was determined in 1959, in which the six-fold interpenetrated diamond network is cationic, and the counter anion NO3− occupies the voids in the structure for charge neutralization1. Subsequently, several Cu(I) CPs have been prepared with pre-organized topology2,3,4. These frameworks were still cationic, and their voids were occupied by the counter anions, which could not be removed from the framework. A two-dimensional (2D) honeycomb sheet of Cu(I) and pyrazine partially solved the problem of the unavailability of the internal space of CPs5. This framework is cationic with PF6− anion in the honeycomb voids, but the space is also filled by neutral acetone molecules, which can “move in and out” of the framework. Afterward, a Cu(I) and 4,4′-bipyridine (4,4′-bpy) six-fold interpenetrating cationic framework was synthesized, the voids of which were filled with NO3− anions and removable neutral H2O molecules6. The incorporated H2O molecules can be easily desorbed by heating. These results implied that the organic molecule-based CP or metal-organic frameworks (MOFs) can exhibit “zeolitic” behaviors.
Subsequently, it was increasingly recognized that it was essential to build a neutral framework to obtain an internal space acceptable to guests. This was achieved by incorporating anionic species into the framework as building blocks. There are two strategies: one is to utilize anionic organic ligands, e.g., carboxylates, and the other is to make inorganic counter anions coordinate to a metal ion to afford a neutral framework. An example of the former is [Zn(1,4-bdc)] (1,4-bdc = 1,4-benzenedicarboxylate), in which the homoleptic system leads to a porous framework7. The latter is the cobalt coordination polymer with a tongue-and-groove (TG) structure, [Co2(4,4′-bpy)3(NO3)4]8, denoted by Co-TG. They were shown to allow gas/vapor molecules to move in and out, which triggered the expansion of this research field. In particular, the use of 4,4′-bpy in constructing CPs with an inorganic anion has been studied intensively with great promise for providing structural diversity9,10,11, resulting in flexible frameworks as soft porous crystals12 that exhibit global lattice deformation accompanying guest accommodation, showing sigmoidal profiles in their adsorption isothrems13,14,15,16,17.
On the other hand, the heteroleptic reaction system of M/4,4′-bpy/NO3 (M = Co, Ni, Zn) affords various kinds of neutral CP frameworks with NO3− incorporated as a part of the framework. Their representative structures can be classified by the connection mode of 4′4-bpy and metal ion, (a) 1D chain (1DC) based on linear connection18,19, (b) ladder (LD)20,21,22,23,24,25,26,27, tongue-and-groove (TG)8,28,29,30,31,32 based on T-shape connection, and (c) 2D-grid (2DG) based on cross-connection33,34,35, as shown in Supplementary Fig. 1. The precise control of products from this reaction system has not been fully accomplished, often obtained as a mixture rather than a single phase. Therefore, a selective synthetic route in this reaction system has been desired.
The porosity of the tongue-and-groove structures was preserved even after desolvation29. The potential application as a gas adsorbent was first demonstrated by the high-pressure methane, oxygen, and nitrogen gas adsorption on [Co2(4,4′-bpy)3(NO3)4] (Co-TG) at room temperature8. However, the narrowest part of the 1D corrugated channel, i.e., the window, in the tongue-and-groove structure is smaller than most guest molecules (2.32 Å × 2.75 Å). Then, it was a mystery whether this tongue-and-groove CP structure could adsorb gas molecules (e.g., N2 at 77 K, CO2 at 195 K) even though it appeared to have no clear passages for pores for adsorption capacity30.
The impermeability for the narrow window would be true if the framework is rigid on the introduction of guest molecules. On the other hand, if the framework has a flexible moiety at the window rim, and it can undergo local dynamic motion, the window size can fluctuate, offering the guest molecules the temporal opportunity to pass through the window and diffuse throughout the framework. Here, we assume a corrugated 1D channel that consists of guest-accommodable cavities connected by narrower windows and classify the guest permeability according to the flexibility of the framework on the ratio of the guest diameter (Dg) to the window diameter (Dw), defined as R = Dg/Dw. (Fig. 1).
The diameters of the guest species and the window are represented as Dg and Dw, respectively. R is defined as the ratio of Dg to Dw. a For the rigid framework, permeability is simply distinguished depending on R. b For the flexible frameworks with the local motion of the window (b-1): when R≈1, the guest species can permeate and diffuse into the channel, and the rate of the diffusion is controlled by the local dynamic motion (DLDM) showing a mountain-shaped isobar profile to the temperature different for guest species; when R > 1, the guest can permeate the window locally and temporarily, and the adsorption gradually progresses one by one in a domain (squeezing), to show monotonous uptake in the isotherm. For the flexible frameworks with global lattice motion (b-2), the guest pressure induces a phase transition of concerted lattice deformation, where the adsorption energy can compensate for the lattice deformation, showing a sigmoidal adsorption isotherm with abrupt uptake.
Indeed, several porous CPs (PCPs) or MOFs can take in guest molecules of which size is comparable with the narrow windows36,37,38,39,40. Herein, kinetic diffusion control can be utilized for efficient molecular separation depending on the temperature. This process is called “diffusion by local dynamic motion (DLDM)”39,40. This DLDM has been experimentally observed by solid-state 2H NMR for [Zn(5-Meip)(4,4′-bpy)] (5-Meip = 5-methylisophthalate) with a coordination interdigitated structure, in which the rotation of the 4,4′-bpy moiety induces the expansion of the pore41. If the size of the window is smaller than that of a guest molecule42 and the local dynamic motion of the window operates for guest diffusion, a molecule could permeate through the pores one by one, expanding the space around the window. Then we named such process as “squeezing” adsorption.
Thus, to further develop the chemistry of PCP/MOFs, it is essential to clarify the above-unresolved issues in gas adsorption processes of [Co2(4,4′-bpy)3(NO3)4]. Here, we have directly observed a series of the crystal structures of Co-TG, desolvated and gas-adsorbed states, and clarified how gases are incorporated into the pores. We have also identified which part undergoes local motion in the framework, induced by accommodation of the guest molecules, and revealed a vital role of the motion that enables the progress of adsorption through the narrow windows.
Results and discussion
Selective formation of Co-1DC/Co-TG and their interconversion
Single crystals of CPs from the M/4,4′-bpy/NO3 system can be obtained by diffusion of M(NO3)2 and 4,4′-bpy solutions in a glass tube. In the Co(NO3)2/4,4′-bpy reaction system, along with Co-TG, another type of crystal was generated in the same tube at the interface of the diffusion reaction. As described later, they were detected to be the cobalt coordination polymer with 1D chain structure, [Co(4,4′-bpy)(NO3)2(H2O)2]19, denoted by Co-1DC. The stoichiometric amount of 4,4′-bpy per Co ion is 1.5 in Co-LD and Co-TG structure, compared to 1.0 in the Co-1DC structure, which affected the selectivity of the product in the reaction system. The structures of the product also differ depending on the amount of water in the reaction system19. Therefore, the concentration ratio of Co(NO3)2·6H2O to 4,4′-bpy in solution is a principal factor for selectively obtaining a desired structure. By changing the mixing ratio, respective coordination polymer crystals of the corresponding composition ratio were synthesized and identified by powder X-ray diffraction (PXRD).
The light pink (Co-A) and dark pink (Co-B) crystalline powders were obtained under the reaction condition with a low (A) and high (B) ratio of 4,4′-bpy/Co, respectively. (See “Methods” section) Their PXRD patterns in Fig. 2a were distinct from each other. The XRD patterns of Co-A and Co-B agreed with the simulated patterns from the crystal structures of Co-1DC19 and Co-TG8, respectively, confirming that each form was produced as a single phase. The crystal of Co-TG was converted to Co-1DC in a few hours when exposed to water vapor, as shown in the PXRD patterns in Fig. 2b. Although Co-1DC was the most stable in the presence of water, the 1D chain structure can be immediately converted to the tongue-and-groove structure by immersion in a concentrated 4,4′-bpy/EtOH solution. (See “Methods” section) The changes in the PXRD patterns and the polymorphic transformation are shown in Fig. 2b, c. In summary, even using three components, it is possible to selectively obtain the desired CP crystals considering the above conditions, and interconversion is also possible. It was also observed that this porous Co-TG is easily transformed to Co-1DC by moisture absorption, but can be easily regenerated by reacting this Co-1DC with excess 4,4′-bpy.
Gas adsorption isotherms of Co-TG at low temperature
Gas and vapor adsorption isotherms of Co-TG were measured at room temperature8,32, but no gas adsorption experiments have been performed at low temperatures on samples with these structures. We measured nitrogen (N2) adsorption isotherms at 77 K and carbon dioxide (CO2) at 195 K for the well-characterized Co-TG sample. (Fig. 3a, b) Both are Type-I isotherms, and the steep uptakes in the low-pressure region indicate that uniform micropores are well developed in the crystal, and adsorption into these pores proceeds with a strong micropore-filling effect43. The saturated adsorption amounts of N2 and CO2 near relative pressure 1.0 were around 1.8 and 1.5 molecules per Co ion in the host framework. The BET-specific surface area was calculated from the N2 adsorption isotherms to be 4.0 × 102 m2 g−1, indicating that the sample has sufficient permanent porosity. Interestingly, the CO2 isotherm exhibited stepwise behavior, showing a plateau with up to 1.0 CO2 per Co ion in the low-pressure region, followed by a gradual uptake, and further abrupt uptake at relative pressure over 0.2. After the second plateau, it reached the final saturation. Ni-TG has been reported not to adsorb nitrogen at 77 K30. It is worth noting that Co-TG, which is isostructural with Ni-TG, showed significant adsorption capacity, as confirmed in the present study.
Co-1DC possesses no N2 and CO2 adsorption capacity in the desolvated state, as expected from the 1D chain structure19. (Fig. 3c, d) Thus, Co-1DC is a nonporous coordination polymer with no permanent porosity. We also observed an apparent decrease in the gas adsorption capacity of Co-TG when left in the air. This is due to the conversion of the TG structure to the nonporous 1DC structure by exposure to moisture in the air. As mentioned above, the degraded sample can be recovered by applying the 4,4′-bpy/EtOH solution.
Crystal structure of Co-TG in the desolvated state
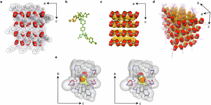
We performed X-ray diffraction experiments on the Co-TG single crystal in the desolvated and CO2-adsorbed states to obtain the crystal structures. Deep violet block crystals of Co-TG were prepared by diffusion-mixing of an acetone solution of Co(NO3)·6H2O and an ethanol solution of 4,4′-bpy. A single crystal of Co-TG was fixed on the inner wall of a glass capillary, and the crystal was desolvated by heating it at 333 K with nitrogen flow from the outside while evacuating the inside of the capillary. After cooling to 195 K, diffraction images were collected under vacuum conditions. The structure of the desolvated host framework, shown in Fig. 4, is almost identical to that of the as-synthesized form of Co-TG8, with tongue-and-groove bilayer units stacked in an interdigitating fashion (Fig. 4a, b), to form peapod-like corrugated 1D channels along the a-axis between the interdigitating bilayers. (Fig. 4c, d, e) The ample cavity space in this corrugated channel is formed by five 4,4′-bpy and four NO3− ligands, and the size is about 6.6 Å × 5.2 Å × 3.7 Å, enough to accommodate a small gas molecule. In the framework, one cavity is stoichiometrically equivalent to one Co ion. No significant residual electron density was observed in this space, indicating that the desolvation was completed (Fig. 4f). Each cavity is connected by a narrow window about 2.1 Å × 1.8 Å, making a corrugated 1D channel. The void volume ratio in this structure is 20.5% of the unit cell. This narrow window is framed by two 4,4′-bpy and two NO3− ions coordinated with the cobalt ion. (Fig. 4g) Since this window is smaller than the size of a typical gas molecule considering the van der Waals (vdW) model44, it is deemed impossible for a guest molecule to pass through the window if the structure is maintained rigid as is. Therefore, this one-dimensional pore system can be regarded as a one-dimensional array of zero-dimensional (0-D) spaces in terms of molecular adsorption and diffusion, which means that this structure seems not to be able to adsorb gases.
a Tongue-and-groove bilayer motif. b Interdigitating stack of the bilayer motif units. c Voids between the bilayer units expressed with the yellow contact surface. d 1D corrugated pore extended along the a-axis, and Co-TG framework drawn with space-filling van der Waals atomic model. e 1D corrugated pore extracted from Fig. 4d. f Pore structure viewed from the c-axis, shown with the framework atoms forming a 0D-like cavity. g Narrow window for the 0D-like cavity is shown as a yellow area with the surrounding atoms on the van der Waals surface.
Crystal structures of Co-TG in two different CO2-adsorbed states
At room temperature, 100 kPa of CO2 gas was introduced to the desolvated single crystal in the capillary. Immediately after cooling to 195 K to achieve the gas adsorption state, diffraction data was collected to obtain the crystal structure with CO2 molecules incorporated in the corrugated 1D channel. (Fig. 5a) The framework structure of Co-TG in the CO2-adsorbed state is almost the same as that in the desolvated form, as shown in their lattice parameters (Table S1) and the overlayed image of the fragments in the bilayer motif of the Co-TG framework, containing two crystallographic asymmetric units. (Fig. 5b) Compared to the desolvated structure, the distance between two adjacent TG bilayers increased slightly by about 0.15 Å. Consequently, the structure of the corrugated 1D channel is almost the same as that of the desolvated state, extending in the direction of the a-axis. The 0D-like cavity of 6.5 Å × 5.3 Å × 3.7 Å affords one accommodation site for a CO2 molecule. (Fig. 5c, d) In this measurement condition, a total of 0.4 CO2 molecules occupied each 0D-like void after the refinement of the occupancy of the CO2 molecule. The accommodated CO2 molecules were modeled with two disordered configurations. (Fig. 5e) In both configurations, the CO2 molecule does not have a specific interaction with any functional group of the framework, and it is stabilized mainly by dispersion forces from the surrounding surfaces. The shape of the narrow window is slightly deformed with the size of 1.7 Å × 1.7 Å, still significantly smaller than a CO2 molecule with the size of 5.36 Å × 3.40 Å × 3.40 Å, based on their vdW radius. (See Supplementary Fig. 2) Thus, the CO2 molecules are accommodated in the 0D-like cavity, individually isolated with no interaction between them.
a View from the same as Fig. 4d. b Overlayed image of the fragments in the bilayer motif of the Co-TG framework, containing two crystallographic asymmetric units, with hydrogen atoms omitted. Green and yellow atoms correspond to the desolvated and CO2-adsorbed states, respectively. c The 1D corrugated pore and CO2 molecules accommodated in the 0D-like cavity. d Perspective view of the array of the 1D corrugated channels and the CO2 molecules accommodated in the 0D-like cavity. e Two configuration models of a CO2 molecule disordering in one of the 0D-like cavities with the surrounding atoms of the TG framework.
This structure indicates that the CO2 molecules squeeze through the constricted passages. The crystal lattice parameters showed no significant change before and after adsorption. (Supplementary Table 1) This is likely due to the local dynamic motion of each framework component during the transient process between the initial and final equilibrium states, allowing CO2 to diffuse and pass through the window, i.e., the DLDM process40. The most likely mechanism is a dynamic expansion/contraction of the window induced by rotation of the 4,4′-bpy moiety and displacement of the NO3− ion, which is the component of the window frame, as shown in Fig. 5e. For the case of the 4,4′-bpy rotation in the framework, it was reported that the local dynamics are directly relevant to the actual adsorption behaviors, confirmed by solid-state NMR41.
The activation energy for the channel deformation could be too large for a CO2 molecule to pass through this narrow window45. The CO2 molecule fits snugly into this flexible gate cavity and thus gains significant stabilization energy due to the effective adsorption potential from the surrounding surface. This is an enhanced micropore-filling effect43. This stabilization can fully compensate for the considerable deformation energy of the framework by the intruding CO2, and the equilibrium is expected to tend to a direction favorable for the adsorption state. Therefore, even channels with seemingly impassable narrow windows can achieve a state in which adsorption can proceed through the window if a locally deformable structure exists around it. The adsorption progression cannot be captured as a gated adsorption isotherm of the sigmoidal curve, as it does not involve a global concerted deformation in the lattice scale but shows adsorption behavior as if it were an open rigid structure. Thus, we observed the guest molecules behave like they permeate the window smaller than their sizes as a final equilibrium state. Though we can directly see only the initial and final state with X-ray diffraction, dynamic local displacement of the window must be involved during the non-equilibrium, transition states. In other words, this structural-chemical observation has exemplified the mystery of guest adsorption in soft porous crystals with narrow pore windows, and Co-TG is a good example.
With the CO2 accommodation mode of one molecule in one cavity, the adsorption amount is to be saturated up to 1.0 per one Co ion, which coincides with the behavior of the CO2 isotherm, showing an inflection point around 1.0 molecules per Co. Furthermore, the abrupt CO2 uptake emerges and the isotherm reaches accurate saturation in the higher-pressure region with an amount of more than 1.0 per Co ion. This indicates that a new adsorption phase occurs in the region, whose crystal structure is obtained as a fully saturated state. By waiting longer for the desolvated crystals to reach equilibrium in 100 kPa of CO2 at 195 K, diffraction data for a different CO2-adsorbed phase were obtained from those described earlier. Figure 6a shows the second CO2-adsorbed structure of Co-TG. The basic structure of interdigitating stacking of the Tongue-and-Groove bilayers is retained, as indicated in Fig. 6b, with a slight increase by 0.1 Å of the bilayer-bilayer distance compared to the desolvated structure. The crystal system was transformed by symmetry degradation from orthorhombic to monoclinic. Two types of corrugated 1D pores, “separated pore” and “fused pore” were observed. (Fig. 6c) The separated pore is the same as the desolvated and the CO2-adsorbed structures described above, where one 0D-like cavity can separately accommodate one CO2 molecule. The window size between the two cavities was much narrower than the above-described ones (0.7 Å × 0.4 Å). In the fused pore, two 0D-like cavities were fused into one larger cavity, accommodating three CO2 molecules, hence 1.5 CO2 per Co ion, as shown in Fig. 6d. The window separating the fused voids is 0.8 Å × 0.9 Å, smaller than the desolvated framework’s window. The fused window was expanded to 2.8 Å × 2.5 Å, where the peripheral part of the oxygen atom of one of the accommodated CO2 is tightly fitted. The three CO2 molecules can interact with one another in the fused void. These increased interactions result in gaining more stabilization energy over the barrier of framework deformation, leading to the phase transition at a specific relative pressure of CO2 (>0.2). The void volume was 21.7% of the unit cell volume, a little expanded than that in the desolvated structure.
a View from the same as Fig. 4d. b Overlayed image of the fragments in the bilayer motif of Co-TG framework, containing two crystallographic asymmetric units, with hydrogen atoms omitted. Green and pink atoms correspond to the desolvated and CO2-saturated states, respectively. Yellow ellipsoid indicates the 4,4′-bpy moiety with a smaller torsion angle. c Two 1D corrugated pores running along the b-axis. d Fused voids in the 1D corrugated channel, containing three CO2 molecules for each. e CO2 accommodated in the framework of Co-TG. Yellow-colored 4,4′-bpy moieties have smaller torsion angles, affording extra space in the pore space. f Alignment pattern of the two different 1D corrugated pores, viewed from the b-axis. One-third of all the pores are of the separated voids.
By closely examining the overlayed image, Fig. 6b, we found a significant difference in the torsion angle of the pyridyl rings of a 4,4′-bpy moiety between the desolvated and CO2-saturated states. Figure 6e shows the CO2-saturated Co-TG structure from a different viewpoint, in which the 4,4′-bpy moieties located between the fused pore have smaller torsion angle of 13.47°, while the others are in the range of 29–38°. This substantial torsion angle change, i.e., rotation of the pyridyl ring moiety, affords extra space in the 1D corrugated pore, expanding the fused windows and shrinking the separating windows. The separated and fused pores in the crystal structure are aligned in the pattern within the ac-plane as shown in Fig. 6f, and the ratio of them is 1:2. They can accommodate 1.0 and 1.5 CO2 molecule per one Co ion, respectively, when they are in full occupancy in the cavities. Thus, the saturated amount in this adsorption mode is calculated to be 1.33 CO2 per one Co ion, which corresponds to the saturation amount in the adsorption isotherm (Fig. 3).
The fusion of the voids resulted mainly from the rotational displacement of the pyridyl rings in 4,4′-bpy, spreading throughout the crystal. Thus, this adsorption process can be categorized as induced by the global lattice deformation, which shows a sigmoidal uptake adsorption profile around a relative pressure of 0.2. Considering this kind of fixed rotational deformation of local moiety in the framework, the Co-TG framework has a certain degree of freedom of dynamic rotational motion in a 4,4′-bpy moiety forming the window, in the desolvated and the first CO2-adsorbed states. This rotational displacement can promote the adsorption with the squeezing process.
Summary of the stepwise CO2 adsorption on Co-TG
Summarizing the discussion of the stepwise adsorption isotherms and the crystal structures in each CO2 uptake mode in the previous sections, we can reasonably explain the structural mechanism of the CO2 adsorption process of Co-TG in all the range of the relative pressure at 195 K, shown in Fig. 7. The CO2 adsorption isotherm of Co-TG at 195 K showed a steep uptake in low-pressure region and a temporary saturation behavior at an adsorption amount of 1.0 CO2 per one Co ion. Afterward, it showed a gradual increase, and then an abrupt uptake at a specific relative pressure to reach the final saturation in the higher-pressure region.
The adsorption isotherm is reproduced from Fig. 3b. The pore structures and CO2 filling modes in the respective processes (initial activated state, post-squeezing pseudo-saturation state, and saturation state after phase transition) are depicted.
Under the synthetic conditions in this work, Co-TG crystallized with the synthetic solvent EtOH, which was entirely removed by vacuum heating and maintained the framework’s tongue-and-groove interdigitating stacking. The crystal structure of the desolvated Co-TG was determined by X-ray diffraction, where 1D corrugated pore channels were formed between the bilayers, which consist of cavities slightly larger than a CO2 molecule connected by a window smaller in diameter than a CO2 molecule. Considering only the relationship between the sizes of the static window and CO2 molecule, it would appear that there is no diffusion path for adsorption progression and, therefore, no permanent porosity.
However, in spite of the small pore structure, type-I adsorption behavior was observed, and a crystal structure was obtained in which CO2 was accommodated in the 0D-like cavity. These observations reveal that the 1D corrugated pore has a dynamically deforming pathway that cannot be directly captured by the X-ray diffraction method, which observes the temporal averaged state of gas adsorption. In fact, from the fully saturated structure in Fig. 6, there is a degree of freedom in the torsion angle between the two pyridyl moieties of 4,4′-bpy molecules of the window frame. Although this torsion angle is fixed in the desolvated state, the CO2 molecules induce the local motion of the framework moieties, to allow the CO2 molecules to “squeeze” through the 1D corrugated channel. Since the adsorption potential in the void is strongly enhanced by the surroundings, it is energetically most stable when the 0D-like cavities are filled as much as possible, even if it looks difficult for a CO2 molecule to pass through the window in the host crystal structure. Co-TG showed the first plateau when it adsorbs one CO2 molecule per cavity, maintaining almost the same structure as the desolvated state. As the CO2 gas pressure further increased, a gradual uptake was observed in the isotherm. This uptake is because the pores are partially fused to accommodate three CO2 molecules in one fused cavity in some domains of a particle. However, there is not enough stabilization energy gain to cause a global deformation of the entire lattice.
Then, at a threshold relative pressure of 0.2, the total amount of host-host and host-guest interaction exceeds the activation energy of the global lattice deformation to cause the phase transition. This global lattice deformation creates an extra permanent pore space that can accommodate additional CO2, resulting in the second abrupt uptake with a sigmoidal profile in the isotherm. After this phase transition, the fused and separated pore spaces generated with the 2:1 ratio in the framework are almost filled and have reached the final saturated state.
In summary, in the initial stage, the isotherm reached a pseudo-saturation state through the squeezing adsorption, where one CO2 was in one 0D-like cavity, i.e., one Co ion. Then, it reached the final saturation state after the abrupt uptake, accompanied by a phase transition of global deformation of the 4,4′-bpy torsion propagating throughout the entire crystal lattice, with the final amount of 1.33 CO2 per one Co ion. Thus, we have discovered a unique aspect of Co-TG: it is inherently structurally flexible, exhibiting the two types of adsorption behaviors in one framework: by squeezing permeation and global lattice deformation. In both of the processes, the local motion promotes diffusion though it is not apparent when observing equilibrium states only. Co-TG exhibited sharp and stepwise uptake behaviors, and after narrow window permeation, the pore structure is supported and fixed by the guest molecules.
Conclusions
In this study, we investigated the selective preparation of a coordination polymer framework consisting of Co ion, 4,4′-bpy, and NO3, and their gas adsorption properties. We succeeded in selectively producing bulk samples with 1D chain (Co-1DC) and tongue-and-groove (Co-TG) structures and found that the reversible interconversion of these structures is possible. The Co-TG bulk samples obtained as a single phase showed Type-I adsorption isotherms at low-temperature conditions (N2 at 77 K and CO2 at 195 K), demonstrating that Co-TG showed permanent porosity.
A local deformable structure allowed the fluctuation of this narrow window size, which allowed the CO2 molecule to pass through the window. Thus, a CO2-adsorbed state was observed in the crystal structure as the pseudo-saturated state. Applying more CO2 pressure, Co-TG exhibits another abrupt CO2 uptake with a phase transition of the crystal accompanied by a global lattice deformation.
Soft porous crystals include deformation of the network structure throughout the crystal (global dynamics) and movement of the structural components without changing the overall framework (local dynamics). Local deformations often neither synchronize the global deformation system nor give a sigmoidal adsorption isotherm. This is typically the case, as found in the first uptake in the CO2 adsorption isotherm. After the pseudo-saturation promoted by the local dynamic diffusion, Co-TG exhibited the second uptake induced by the global framework deformation of the crystal, affording cooperativity in the guest adsorption. Co-TG is one of the first to show gas adsorption in the PCPs/MOFs family, and herein, it is demonstrated to possess local and global structural flexibility in a single framework. It is namely classified as a soft porous crystal. In other words, MOF/PCPs are unique materials with dynamic pores, distinguishing them from conventional porous materials.
Methods
Sample preparation
Single crystals
Co(NO3)2·6H2O (0.82 g, 2.8 mmol) was dissolved in 50 ml of acetone/CHCl3 (90/10) mixed solvent (56 mM). 4,4′-bpy (0.68 g, 4.4 mmol) was dissolved in 50 ml of ethanol (87 mM). The ratio of the concentration of these solutions, [bpy]/[M], was about 1.58, expecting the ratio in the tongue-and-groove structure. In a straight glass tube with the size of inner diameter 7 mm and length of 20 mm, these solutions were layered in the following order from the bottom; 2 ml of Co(NO3)2·6H2O solution, 1 ml of ethanol with 2% CHCl3 as a diffusion buffer, and 2 ml of 4,4′-bpy/EtOH solution. The solutions diffused in the glass tubes, to give crystals grown at the interface of the solutions in a couple of weeks, enough large for the x-ray diffraction image collection.
Bulk powders
Co-A: Co(NO3)2·6H2O (1.46 g, 5.0 mmol) was dissolved in 50 ml of acetone (100 mM). 4,4′-bpy (0.66 g, 4.2 mmol) was dissolved in 200 ml of ethanol (21 mM). The 4,4′-bpy/ethanol solution was slowly added dropwise to the Co(NO3)2·6H2O/acetone solution. (Concentration ratio [bpy]/[Co] = 0.21) The precipitate immediately appeared and was filtrated, washed with EtOH and H2O several times, and dried in a vacuum at room temperature. Elemental analysis: calculated for [Co(4,4′-bpy)(NO3)2(H2O)2]·(H2O), C 30.54 %, H 3.59 %, N 14.25 %; observed C 30.92 %, H 3.77 %, N 13.89 %.
Co-B: Co(NO3)2·6H2O (1.46 g, 5.0 mmol) was dissolved in 200 ml of acetone (25 mM). 4,4′-bpy (1.32 g, 8.4 mmol) was dissolved in 50 ml of ethanol (170 mM). The Co(NO3)2·6H2O/acetone solution was slowly added dropwise to the 4,4′-bpy/ethanol solution. (Concentration ratio [bpy]/[Co] = 6.7) The precipitate immediately appeared and was filtrated and dried in a vacuum at room temperature. Elemental analysis for [Co2(4,4′-bpy)3(NO3)4]·(H2O): calculated C 42.26 %, H 3.08 %, N 16.43 %; observed C 42.17 %, H 3.05 %, N 16.57%.
Immersion in 4,4′-bpy/EtOH solution for regeneration of the TG structures
50 mg of Co-A sample was taken in a glass vial, to which 4,4′-bpy/EtOH solution (20 mg/1 ml) was added. The vial was capped and left overnight at room temperature. The sample was washed with EtOH three times in the vial and was subject to the PXRD measurements. Elemental analysis for [Co2(4,4′-bpy)3(NO3)4]·(H2O)2: calculated C 41.39 %, H 3.25 %, N 16.09 %; observed C 41.58 %, H 3.17 %, N 16.18 %.
Single crystal structural determination
X-ray diffraction images were collected by Rigaku XtaLAB P200 system with Mo Kα radiation (λ = 0.71075 Å) of the VariMax optical system under nitrogen flow cooling at 195 K. For Co-TG in the desolvated and CO2-loaded states, a suitable single crystal was fixed on the inner wall of a borosilicate glass capillary, of which open end is connected to the gas/vacuum control line. The structures were solved by direct methods (SHELXT) for the structure, and refined by full-matrix least-squares techniques against F2 (SHELXL). The non-hydrogen atoms were refined anisotropically. Hydrogen atoms were placed using AFIX instructions.
Drawing model
To discuss the sizes of the pore window and guest CO2 molecules, we employed the van der Waals (vdW) radii model44, which is set by default in the CCDC Mercury software (https://www.ccdc.cam.ac.uk/solutions/software/mercury/) and displayed in its “space-fill” display style. This vdW model is broadly adopted to simulate CO2 adsorption behaviors in micropore of PCP/MOF materials, providing rational physicochemical insights46,47,48. The size of a CO2 molecule is described in Supplementary Fig. 2, defining the peripheral part to be embedded in a narrow window of the fused pore, and its passage-determining dimension of 3.40 Å which corresponds to the diameter of a carbon atom.
Data availability
The data are available from the corresponding authors upon reasonable request.
References
Kinoshita, Y., Matsubara, I., Higuchi, T. & Saito, Y. The crystal structure of bis(adiponitrilo)copper(I) nitrate. Bull. Chem. Soc. Jpn. 32, 1221–1226 (1959).
Blount, J. F., Freeman, H. C., Hemmerich, P. & Sigwart, C. The crystal structure of bis(succinodinitrile)copper(I) perchlorate. Acta Crystallogr. B Struct. Crystallogr. Cryst. Chem. 25, 1518–1524 (1969).
Hoskins, B. F. & Robson, R. Infinite polymeric frameworks consisting of three dimensionally linked rod-like segments. J. Am. Chem. Soc. 111, 5962–5964 (1989).
Robson, R. The historical development of the concepts underlying the design and construction of targeted coordination polymers/MOFs: a personal account. Chem. Rec. 24, e202400038 (2024).
Kitagawa, S., Munakata, M. & Tanimura, T. Synthesis of the novel infinite-sheet and -chain copper(I) complex polymers {[Cu(C4H4N2)3/2(CH3CN)](PF)6)·0.5C3H6O}∞ and {[Cu2(C8H12N2)3](ClO4)2}∞ and their X-ray crystal structures. Inorg. Chem. 31, 1714–1717 (1992).
Yaghi, O. M. & Li, H. Hydrothermal synthesis of a metal-organic framework containing large rectangular channels. J. Am. Chem. Soc. 117, 10401–10402 (1995).
Li, H., Eddaoudi, M., Groy, T. L. & Yaghi, O. M. Establishing microporosity in open metal-organic frameworks: Gas sorption isotherms for Zn(BDC) (BDC = 1,4-benzenedicarboxylate). J. Am. Chem. Soc. 120, 8571–8572 (1998).
Kondo, M., Yoshitomi, T., Matsuzaka, H., Kitagawa, S. & Seki, K. Three‐dimensional framework with channeling cavities for small molecules: {[M2(4,4′‐bpy)3(NO3)4]·xH2O}n (M = Co, Ni, Zn). Angew. Chem. Int. Ed. 36, 1725–1727 (1997).
Noro, S., Kitagawa, S., Kondo, M. & Seki, K. A new, methane adsorbent, porous coordination polymer [{CuSiF6(4,4’-bipyridine)2}n]. Angew. Chem. Int. Ed. 39, 2081–2084 (2000).
Noro, S. et al. Framework engineering by anions and porous functionalities of Cu(II)/4,4’-bpy coordination polymers. J. Am. Chem. Soc. 124, 2568–2583 (2002).
Kondo, M. et al. Microporous materials constructed from the interpenetrated coordination networks. Structures and methane adsorption properties. Chem. Mater. 12, 1288–1299 (2000).
Horike, S., Shimomura, S. & Kitagawa, S. Soft porous crystals. Nat. Chem. 1, 695–704 (2009).
Li, D. & Kaneko, K. Hydrogen bond-regulated microporous nature of copper complex-assembled microcrystals. Chem. Phys. Lett. 335, 50–56 (2001).
Kitaura, R., Seki, K., Akiyama, G. & Kitagawa, S. Porous coordination‐polymer crystals with gated channels specific for supercritical gases. Angew. Chem. Int. Ed. 42, 428–431 (2003).
Matsuda, R. et al. Guest shape-responsive fitting of porous coordination polymer with shrinkable framework. J. Am. Chem. Soc. 126, 14063–14070 (2004).
Kondo, A. et al. Novel expansion/shrinkage modulation of 2D layered MOF triggered by clathrate formation with CO2 molecules. Nano Lett. 6, 2581–2584 (2006).
Horike, S., Tanaka, D., Nakagawa, K. & Kitagawa, S. Selective guest sorption in an interdigitated porous framework with hydrophobic pore surfaces. Chem. Commun. 32, 3395–3397 (2007).
Xiong, R. G., Lewandowski, B. J. & Huang, S. D. Crystal structure of diaqua-4,4’-bipyridinezinc nitrate Zn(4,4’-bipy)(H2O)2(NO3)2: a one-dimensional coordination polymer. Z. Krist. N. Cryst. Struct. 214, 461–462 (1999).
Mauger-Sonnek, K., Streicher, L. K., Lamp, O. P., Ellern, A. & Weeks, C. L. Structure control and sorption properties of porous coordination polymers prepared from M(NO3)2 and 4,4′-bipyridine (M = Co2+, Ni2+). Inorg. Chim. Acta 418, 73–83 (2014).
Losier, P. & Zaworotko, M. J. A noninterpenetrated molecular ladder with hydrophobic cavities. Angew. Chem. Int. Ed. 35, 2779–2782 (1996).
Fletcher, A. J., Cussen, E. J., Bradshaw, D., Rosseinsky, M. J. & Thomas, K. M. Adsorption of gases and vapors on nanoporous Ni2(4,4’-Bipyridine)3(NO3)4 metal−organic framework materials templated with methanol and ethanol: structural effects in adsorption kinetics. J. Am. Chem. Soc. 126, 9750–9759 (2004).
Felloni, M. et al. Supramolecular interactions in 4,4′-Bipyridine cobalt(II) nitrate networks. J. Supramol. Chem. 2, 163–174 (2002).
Rajak, R., Saraf, M., Mohammad, A. & Mobin, S. M. Design and construction of a ferrocene based inclined polycatenated Co-MOF for supercapacitor and dye adsorption applications. J. Mater. Chem. A 5, 17998–18011 (2017).
Wagner, B. D., McManus, G. J., Moulton, B. & Zaworotko, M. J. Exciplex fluorescence of {[Zn(bipy)1.5(NO3)2}]·CH3OH·0.5pyrene}n: a coordination polymer containing intercalated pyrene molecules (bipy = 4,4′-bipyridine). Chem. Commun. 5, 2176–2177 (2002).
Aly, A. A. M., Rüffer, T. & Lang, H. Molecular solid state structure of [{Zn(bipy)1.5(NO3)2}(CHCl3)2]n (bipy = 4,4’-Bipyridine). Anal. Sci. X-ray Struct. Anal. Online 23, X55–X56 (2007).
Alghool, S. & Slebodnick, C. One dimensional structure of Zn(II) metal organic framework (MOF) assembled rapidly at room temperature: structural, thermal study, and luminescent properties. J. Inorg. Organomet. Polym. Mater. 24, 644–651 (2014).
Moulton, B., Rather, E. B. & Zaworotko, M. J. Interpenetration of covalent and noncovalent networks in the crystal structures of {[M(4,4′-bipyridine)2(NO3)2]·2p-nitroaniline}n where M=Co, 1, Ni, 2, Zn, 3. Cryst. Eng. 4, 309–317 (2001).
Nicole Power, K., Hennigar, T. L. & Zaworotko, M. J. Crystal structure of the coordination polymer [Co(bipy)1.5(NO3)2]·CS2 (bipy=4,4′-bipyridine), a new motif for a network sustained by ‘T-shape’ building blocks. N. J. Chem. 22, 177–181 (1998).
Kepert, C. J. & Rosseinsky, M. J. Zeolite-like crystal structure of an empty microporous molecular framework. Chem. Commun. 536, 375–376 (1999).
Fletcher, A. J. et al. Adsorption dynamics of gases and vapors on the nanoporous metal organic framework material Ni2(4,4’-Bipyridine)3(NO3)4: guest modification of host sorption behavior. J. Am. Chem. Soc. 123, 10001–10011 (2001).
Cussen, E. J., Claridge, J. B., Rosseinsky, M. J. & Kepert, C. J. Flexible sorption and transformation behavior in a microporous metal-organic framework. J. Am. Chem. Soc. 124, 9574–9581 (2002).
Halder, G. J. & Kepert, C. J. In situ single-crystal X-ray diffraction studies of desorption and sorption in a flexible nanoporous molecular framework material. J. Am. Chem. Soc. 127, 7891–7900 (2005).
Biradha, K. et al. Interpenetrating covalent and noncovalent nets in the crystal structures of [M(4,4′-bipyridine)2(NO3)2]·3C10H8 (M = Co, Ni). Cryst. Eng. 2, 37–45 (1999).
Biradha, K., Mondal, A., Moulton, B. & Zaworotko, M. J. Coexisting covalent and non-covalent planar networks in the crystal structures of {[M(bipy)2(NO3)2]·arene}n (M = Ni, 1; Co, 2; arene = chlorobenzene, o-dichlorobenzene, benzene, nitrobenzene, toluene or anisole). J. Chem. Soc. Dalton Trans. 2, 3837–3844 (2000).
Subramanian, S. & Zaworotko, M. J. Porous solids by design: [Zn(4,4′‐bpy)2(SiF6)]n·x DMF, a single framework octahedral coordination polymer with large square channels. Angew. Chem. Int. Ed. 34, 2127–2129 (1995).
Zhao, X. et al. Hysteretic adsorption and desorption of hydrogen by nanoporous metal-organic frameworks. Science 306, 1012–1015 (2004).
Zhang, J. P. & Chen, X. M. Optimized acetylene/carbon dioxide sorption in a dynamic porous crystal. J. Am. Chem. Soc. 131, 5516–5521 (2009).
Ma, Y. et al. A convenient strategy for designing a soft nanospace: an atomic exchange in a ligand with isostructural frameworks. J. Am. Chem. Soc. 137, 15825–15832 (2015).
Gu, C. et al. Design and control of gas diffusion process in a nanoporous soft crystal. Science 363, 387–391 (2019).
Su, Y. et al. Separating water isotopologues using diffusion-regulatory porous materials. Nature 611, 289–294 (2022).
Inukai, M. et al. Storage of CO2 into porous coordination polymer controlled by molecular rotor dynamics. Angew. Chem. Int. Ed. 57, 8687–8690 (2018).
Webster, C. E., Drago, R. S. & Zerner, M. C. Molecular dimensions for adsorptives. J. Am. Chem. Soc. 120, 5509–5516 (1998).
Everett, D. H. & Powl, J. C. Adsorption in slit-like and cylindrical micropores in the Henry’s law region. A model for the microporosity of carbons. J. Chem. Soc. Faraday Trans. 1 72, 619–636 (1976).
Bondi, A. van der Waals Volumes and Radii. J. Phys. Chem. 68, 441–451 (1964).
Shimada, T. et al. Long time CO2 storage under ambient conditions in isolated voids of a porous coordination network facilitated by the “magic door” mechanism. Adv. Sci. 2307417, 2–7 (2023).
Yazaydin, A. O. et al. Screening of metal-organic frameworks for carbon dioxide capture from flue gas using a combined experimental and modeling approach. J. Am. Chem. Soc. 131, 18198–18199 (2009).
Lin, L. C. & Snurr, R. Q. Computational screening of metal–organic frameworks for CO2 capture and methane storage. J. Phys. Chem. C 115, 4498–4505 (2011).
Düren, T., Millange, F., Férey, G., Walton, K. S. & Snurr, R. Q. Calculating geometric surface areas as a characterization tool for metal-organic frameworks. J. Phys. Chem. C 111, 15350–15356 (2007).
Acknowledgements
This work was supported by JSPS KAKENHI Grant-in-Aid for Scientific Research (S) (22H05005), (B) (23H01975), and (C) (22K05128), and by the Masuya Memorial Basic Research Foundation. We thank to Dr. Genki Toyooka (Atomis Inc.) for the advice on the preparation of the CPs.
Author information
Authors and Affiliations
Contributions
S.K. conceived and directed the project. H.S. prepared the CPs and characterized them. K.O. carried out single crystal X-ray diffraction experiments and analyses. All the authors discussed the results, wrote and reviewed the manuscript.
Corresponding authors
Ethics declarations
Competing interests
The authors declare no competing interests.
Peer review
Peer review information
Communications Materials thanks the anonymous reviewers for their contribution to the peer review of this work. Primary Handling Editors: Jet-Sing Lee.
Additional information
Publisher’s note Springer Nature remains neutral with regard to jurisdictional claims in published maps and institutional affiliations.
Supplementary information
Rights and permissions
Open Access This article is licensed under a Creative Commons Attribution-NonCommercial-NoDerivatives 4.0 International License, which permits any non-commercial use, sharing, distribution and reproduction in any medium or format, as long as you give appropriate credit to the original author(s) and the source, provide a link to the Creative Commons licence, and indicate if you modified the licensed material. You do not have permission under this licence to share adapted material derived from this article or parts of it. The images or other third party material in this article are included in the article’s Creative Commons licence, unless indicated otherwise in a credit line to the material. If material is not included in the article’s Creative Commons licence and your intended use is not permitted by statutory regulation or exceeds the permitted use, you will need to obtain permission directly from the copyright holder. To view a copy of this licence, visit http://creativecommons.org/licenses/by-nc-nd/4.0/.
About this article
Cite this article
Sakamoto, H., Otake, Ki. & Kitagawa, S. Progressive gas adsorption squeezing through the narrow channel of a soft porous crystal of [Co2(4,4′-bipyridine)3(NO3)4]. Commun Mater 5, 171 (2024). https://doi.org/10.1038/s43246-024-00609-x
Received:
Accepted:
Published:
Version of record:
DOI: https://doi.org/10.1038/s43246-024-00609-x









