Abstract
Azobenzenes are versatile photoswitches that garner interest in applications ranging from photobiology to energy storage. Despite their great potential, transforming azobenzene-based discoveries and proof-of-concept demonstrations from the lab to the market is highly challenging. Herein we give an overview of a journey that started from a discovery of hydroxyazobenzene’s humidity sensitive isomerisation kinetics, developed into commercialization efforts of azobenzene-containing thin film sensors for optical monitoring of the relative humidity of air, and arrives to the present work aiming for better design of such sensors by understanding the different factors affecting the humidity sensitivity. Our concept is based on thermal isomerisation kinetics of tautomerizable azobenzenes in polymer matrices which, using pre-defined calibration curves, can be converted to relative humidity at known temperature. We present a small library of tautomerizable azobenzenes exhibiting humidity sensitive isomerisation kinetics in hygroscopic polymer films. We also investigate how water absorption properties of the polymer used, and the isomerisation kinetics are linked and how the azobenzene content in the thin film affects both properties. Based on our findings we propose simple strategies for further development of azobenzene-based optical humidity sensors.
Similar content being viewed by others
Introduction
Molecules that can be reversibly photoswitched between two states with different physical or chemical properties have received great interest in the modern photonics era1,2. When incorporated into materials, the molecular photoswitches provide photocontrol over plethora of properties, ranging from phase transition temperatures3,4 and adhesion5 to refractive index control6,7 and surface topography8. They have therefore found uses in fields such as chemical biology and photopharmacology9,10,11,12,13, solar energy storage14,15,16, electronics and logic systems17,18, and photo-controlled catalysis19,20,21. Among the most important properties of a photoswitch are, e.g., the switching wavelength(s), stability of the different states, solubility, and photostability. The specific requirements posed to a molecular photoswitch vary greatly depending on the application in question. For example, photocontrolled drug release benefits from switching with NIR-light and high switching quantum yield22, while dynamic holography benefits from photostability and fast switching between the states23. The need to modify photoswitching properties for each application creates great demand for photoswitch engineering.
Azobenzenes are arguably the most widely studied class of photoswitches and have garnered a lot of attraction as the photoswitches of choice for many applications24,25,26. One reason for this is the large molecular-level motions azobenzenes undergo upon isomerisation between the stable trans isomer and meta-stable cis isomer, making azobenzene-containing materials rather unique for, e.g., photoalignment, photopatterning27,28, and macroscopic photoactuation29,30. The key to azobenzenes’ popularity lies in the modifiability of their photoswitching properties by substitution on the phenyl rings. For example, near-quantitative photoisomerisation to both directions can be obtained with visible light via ortho-substitution31,32, and protonation enables pushing the switching wavelength all the way to near infrared33. Also the stability of cis isomer can be controlled over wide range, from milliseconds to years, with different substitution strategies34,35, including the use of heteroaromatic azo-compounds36,37,38.
Apart from the molecular structure, environmental factors such as temperature, polarity39, concentration37,40, and pressure41 play an important role in dictating the isomerisation kinetics of azobenzenes. A prominent example of this is offered by hydroxyazobenzenes that have orders-of-magnitude difference in thermal isomerisation rate in polar vs. non-polar solvents34,36,42. Such environmental dependence offers a dynamic range for isomerisation kinetics, i.e., systematic change in the cis-lifetime upon changes in some environmental variable. An example of this is the pH-dependent thermal isomerisation rate of hydroxy- and aminoazobenzenes in aqueous solutions43. If incorporated into solid matrices, the dynamic isomerisation behavior offers interesting possibilities for applications, such as gated photoresponsive systems and lifetime-based sensing25.
In the scope of sensing, azobenzenes have been utilized as colorimetric sensors44,45,46,47 that are based on changes in absorption spectrum upon binding of an analyte to an azobenzene-based probe. To the best of our knowledge, the first and so far the only example of sensing based on isomerisation kinetics of azobenzene is optical humidity sensing in hydroxyazobenzene-containing polymer thin films, demonstrated by Poutanen et al. 48. Alike in solution42, the proposed mechanism for the humidity sensitivity in the polymer films was hydrogen bond-assisted azo–hydrazone tautomerism. Yet many important questions remain: How does the sensitivity of the method depend on the chemical structure of the (hydroxy)azobenzene or the polymer matrix used? Is the phenomenon unique to hydroxyazobenzenes? Are the sensors reliable over a long enough period to be commercially viable? Answering these questions will be critical in putting the proposed sensing concept into use in practical device applications.
Herein, we delve into the above questions and present a small library of tautomerizable azobenzenes exhibiting humidity-dependent thermal isomerisation rate in polymer thin films. We also study the dependency of the sensing performance and the water absorption characteristics of the polymer matrix the azobenzenes are incorporated into and show that the azobenzene content profoundly influences both the hydrophilicity of the polymer system as well as the humidity dependence of the thermal isomerisation rate. We also summarize our recent efforts aiming towards realization of a working humidity sensing device and preparing it for commercialization, a path during which the need for additional fundamental research became clear. Our results showcase strategies to modify and optimize the thermal-isomerisation-based humidity sensing concept, paving the way towards in-depth understanding, better sensors, and in longer term, hopefully, commercial device applications.
Results
Sensing concept
Determination of cis lifetime is straightforward for many azobenzene derivatives, thanks to the large differences in the absorption spectrum of the two isomers, as depicted by the diminished \(\pi -{\pi }^{* }\) absorption band upon trans–cis isomerisation shown in Fig. 1a. The isomerisation kinetics can therefore be determined by measuring the absorption at a fixed wavelength or wavelength range after photoexcitation. In solution the thermal relaxation normally follows first-order kinetics but in solid phase the molecular movements are more restricted, and a stretched exponential model is better capable of describing the thermal isomerisation kinetics49 (see “Methods” for further details).
a Changes in absorption spectrum of CN-OH in P4VP film in response to UV illumination (385 nm, ~300 mW · cm−2, 100 ms pulse) and the subsequent cis–trans thermal relaxation. b Scheme of the main pathways for cis–trans isomerisation of tautomerizable hydroxyazobenzene. c Effect of relative humidity on the thermal isomerisation kinetics of CN-OH in P4VP thin film at 22 °C, measured at 365 nm. Inset: comparison between the humidity dependency of thermal isomerisation rates, k, of CN-OH and 2PAP in P4VP at 22 °C.
Figure 1b illustrates how tautomerization from the azo to hydrazone form activates the fast rotational pathway for the cis–trans isomerisation50. The proposed mechanism for the humidity-dependent isomerisation kinetics in polymer films is that introduction of hydrogen-bonding species such as water molecules to the system pushes the azo–hydrazone equilibrium towards the hydrazone form and thus increases the thermal isomerisation rate. Figure 1c shows this humidity dependence for two hydroxyazobenzenes, 4-(4-ethylphenylazo)phenol) (2PAP), the hydroxyazobenzene used in the original demonstration by Poutanen et al.48, and 4’-cyano-4-hydroxyazobenzene (CN-OH). The isomerisation rate constants at different relative humidities in poly(4-vinylpyridine) thin films are presented in the inset of Fig. 1c, indicating exponential dependency and almost 6 orders of magnitude dynamic range when extrapolated to 0–100% RH. The constant υ describes the degree of humidity sensitivity at a given temperature through the relation
where \({k}_{0}\) is the rate constant at 0% RH. This indicates that 2PAP is slightly more sensitive to environmental humidity changes than CN-OH. However, it is also evident that thermal back relaxation of 2PAP is systematically slower than CN-OH, rendering it less practical from the perspective of device applications. For this reason, CN-OH was chosen over 2PAP as the workhorse molecule for the subsequent sensor development and the reference molecule for the present work.
From sensing concept to practical sensing device
Soon after presenting the idea of humidity sensing based on azobenzene isomerisation kinetics48, we shifted our focus to turning the concept into a practical device. Our aims were both technical and commercial. On the technical side, the goal was to produce a device that can demonstrate the functionality of the technology and to develop sensor materials that enable measurements over wide range of conditions. The commercial side focused on finding an entry market for the new technology and gathering input from possible users to steer the technical development.
The first working concept device capable of automatically measuring the isomerisation kinetics of azobenzene in thin films and harnessing it for continuous monitoring of ambient humidity is shown in Fig. 2a. The device was rather bulky, but capable of accurate humidity measurement in ambient conditions at least over a period of 6 weeks (Fig. 2b). We proceeded towards commercial preparations via refinement of the measuring device and sensor materials to the requirements of potential users. The current state of the technology is a handheld concept device capable of measuring isomerisation kinetics at multiple wavelengths using separate light sources (Fig. 2c) and sensor materials suitable for 50–90% relative humidity range around room temperature. The design principle focuses on simple usage and portability and the use of multiple sensor materials aims to provide higher accuracy or the possibility of expanding the suitable relative humidity range for measurements. Each fabricated sensor is usable for hundreds if not thousands of cycles (Supplementary Figs. S34–S36), but also the ease and cost of fabrication makes the sensors easily replaceable. Another point of consideration is the safety of the materials. Many azobenzenes are considered non-toxic and azobenzene-based materials have been utilized, e.g., as cell culture platforms51,52. As for polymers we chose ones widely considered non-hazardous and opted to use solvents that are considered relatively safe, such as ethanol and ethyl acetate, when possible.
a First-generation concept device with schematics of its working principle. b 6 weeks long experiment with the first-generation device continuously measuring ambient relative humidity. c Second-generation concept device capable of measuring with four wavelengths at the same time and a sticker type sensor-array with different hydroxyazobenzene-containing sensing materials. d 11 weeks long experiment with second-generation concept devices and sticker sensors measuring drying of concrete.
Even if the concept of using azobenzene isomerisation kinetics-based humidity sensing has now been shown to work, the technology has not yet reached commercial viability. The main technical reasons for this are inadequate accuracy of measurements and limited working range due to drastic changes in the measurement speed depending on the relative humidity. For a demonstration of the operationality of the sensor we looked for a high humidity environment where the relative humidity changes over time. For such purpose, freshly poured concrete casts proved very suitable, as the relative humidity needs the be monitored in the 100% to 85% RH range over prolonger time periods53. Drying concrete can also release volatile organic compounds54, making the environment quite harsh. We monitored the drying of fresh concrete casts with our sticker sensors and the 2nd-generation concept device for 11 weeks, as shown in Fig. 2d. The limited accuracy of our sensor is apparent compared to the industry standard reference device. The accuracy was within ±5% RH of the reference, but the difference between our two concept devices was at times rather large. Still, the sensors continued functioning reliably for the duration of the experiment despite the harsh conditions, showcasing their robustness, encouraging further development and optimization. As for the measurement speed, we consider cis lifetime in the range of 10 ms–10 s to be practical for humidity sensing purposes, allowing relatively fast measurements with simple optical detection schemes. The accuracy can be addressed by development of the measuring device and software, but the working range and measurement speed are determined by the sensor materials used. This demand for better understanding on how to control azobenzene isomerisation kinetics in polymer thin films inspired the work that is presented in the becoming sections.
Material design principles
The thermal cis–trans isomerisation rate of azobenzenes can be increased by appropriate modification of the azobenzene core, either by: (i) having strong electron donor–acceptor (D–A) configuration, typically in the 4, 4’ positions; (ii) having a structure capable of tautomerizing and partially breaking the N=N double bond; or (iii) combination of these features55. As already mentioned, hydroxyazobenzenes are capable for azo–hydrazone tautomerization, rendering the thermal isomerisation rate highly environment-sensitive, both in liquid phase42,43 and when incorporated into polymer matrix48,56. To verify the importance of tautomerization for the humidity sensitivity, the kinetics of 4-4’-dihydroxyazobenzene (OH-OH) and 3-3’-dihydroxyazobenzene (m-OH-m-OH), the latter being incapable of tautomerization, were compared. In terms of 4-hydroxyazobenzenes, we systematically varied the 4’-substituent’s electron affinity, providing a comparison between 2PAP, CN-OH, OH-OH, and 4-hydroxy-4’-dimethylamino-azobenzene (DMA-OH) (Fig. 3). Since the fastest isomerisation rates have been reported for heterocyclic azo-compounds36,38, we also included two heterocyclic hydroxyazobenzenes, 4-(Pyridin-4-yldiazenyl)phenol (Pyr-OH) and 4-[(4-hydroxyphenyl)diazenyl]-3,5-dimethylisoxazole (AIZ-OH), to our molecular library.
The selection of azobenzenes includes tautomerizable hydroxyazobenzenes, hydroxy-heteroazoarenes, and amino-azobanzenes, as well as nontautomerizable 3-3’-dihydroxyazobenzene (m-OH-m-OH). The polymers shown on the right were chosen to have a range of different water absorption characteristics.
Hydroxyazobenzenes are not the only molecules capable of azo–hydrazone tautomerization. For example phenylazoindoles with tautomerizable structures exhibit very fast and highly environmentally sensitive isomerisation rates38. Also 4-aminoazobenzenes support tautomerization, yielding, e.g., pH-sensitivity of thermal isomerisation rate with a wide dynamic range43. With molecules 4,4’-Diaminoazobenzene (NH2-NH2), Disperse Orange 3 (NO2-NH2), and 4’-dimethylamino-4-aminoazobenzene (DMA-NH2) we set to study if 4-aminoazobenzenes exhibit humidity sensitivity like 4-hydroxyazobenzenes. Like with hydroxyazobenzenes, 4’-substituents with varying electron affinity were included. Finally, in the series DMA-OH, DMA-NH2 and 4’-carboxy-4-dimethyl-aminoazobenzene (DMA-COOH), we compared hydroxy- amino- and carboxylic acid as the 4-substituent, also varying the position of the carboxylic acid moiety (DMA-COOH vs. 3-Carboxy-4’-dimethylaminoazobenzene (DMA-m-COOH)). All studied azobenzene structures are shown in Fig. 3.
Another plausible approach to controlling the humidity sensitivity of the thermal isomerisation rate is the hygroscopicity of the polymer matrix used. Therefore, we compared three polymers (Fig. 3) with distinct water absorption properties. Poly(methyl methacrylate) (PMMA) was chosen as a weakly hygroscopic polymer57, poly-4-vinylpyridine (P4VP) as a hygroscopic polymer58, and ethyl cellulose as polymer with moderate hygroscopicity yet distinctly non-linear water absorption isotherm59. Another important selection characteristics for the chosen polymers was the presence of polar groups that ensures sufficient miscibility with hydroxyazobenzenes through hydrogen bonding, allowing for the use of desired molar ratio (from 1:8 up to 1:1) between the azobenzenes and the polymers’ repeating units without phase separation. In the absence of such polar groups and using, e.g., polystyrene, this turned out to be impossible.
The effect of molecular structure
First, to confirm that azo–hydrazone -tautomerization is required for the humidity sensitivity of hydroxyazobenzenes, we studied the isomerisation kinetics in the tautomerizable OH-OH and non-tautomerizable m-OH-m-OH at low and high humidities. As shown in Fig. 4a, the thermal isomerisation rate for m-OH-m-OH is extremely low (the cis lifetime of m-OH-m-OH in P4VP matrix at 22 °C is ca. 5 h), and no humidity dependency can be observed. In contrast OH-OH exhibits much faster, and highly humidity-dependent, thermal back isomerisation. This confirms that for hydroxyazobenzenes the ability to tautomerize to hydrazone form is crucial for humidity sensitive isomerisation kinetics.
a Thermal isomerisation kinetics of OH-OH and m-OH–m-OH at low (30 %) and high (75 %) relative humidities. Humidity-dependent thermal isomerisation rates, k, of (b) azo derivatives bearing 4-hydroxy group, (c) 4-aminoazobenzenes (CN-OH has been added to the graph for comparison purposes), and (d) 4-dimethylaminoazobenzenes with varying substituents. All molecules were studied in P4VP thin films using a molar ratio of 1:8. The wavelength at which absorbance was monitored, \({\lambda }_{\det }\), for m-OH-m-OH was 365 nm and for other azobenzenes is shown in Table 1.
As shown in Fig. 4b, all 4-hydroxyazobenzenes, irrespective of the para substituent, exhibit very strong humidity sensitivity in the thermal isomerisation rate with dynamic ranges of 4–6 orders of magnitude, being in principle all suitable for humidity sensing purposes. However, the para substitution or heteroaromaticity significantly affect the isomerisation rate at any given RH, for example at 50% RH DMA-OH has a cis lifetime of 120 s while for Pyr-OH it is only 670 ms. Having a strong electron donor in 4’-position makes the isomerisation slower and having an electron acceptor makes it faster. Regarding the heteroarenes, AIZ-OH behaves similarly as the other hydroxyazobenzenes while Pyr-OH is notably faster across the whole RH range with slightly weaker humidity sensitivity.
We next proceeded to study the humidity sensitivity of aminoazobenzenes (Fig. 4c). Albeit being somewhat humidity sensitive (dynamic range of two orders of magnitude or less), it is clear that the 4-hydroxyazobenzenes are superior compared to 4-aminoazobenzenes in terms of their humidity sensitivity. To illustrate this, the humidity dependent isomerisation kinetics of CN-OH is also presented in Fig. 4c. Like for hydroxyazobenzenes, the D–A configuration (NO2-NH2) significantly increases the rate of isomerisation but does not significantly affect the humidity sensitivity.
Figure 4d presents the humidity sensitivity of 4-dimethylaminoazobenzenes with hydroxy-, amino-, and carboxylic acid as para substituents. The DMA-NH2 and DMA-OH have comparable humidity sensitivity to other 4-amino- and 4-hydroxyazobenzenes, respectively, which demonstrates that 4-hydroxy substitution dominates over 4-amino substitution in boosting the humidity sensitivity. Interestingly, COOH substitution renders the isomerisation rate even more humidity sensitive than the 4-hydroxy substitution, with υ values of 0.155 and 0.152 for DMA-COOH and DMA-m-COOH, respectively. Furthermore, and unlike for hydroxy substitution, the humidity sensitivity of COOH-substituted dimethylaminoazobenzenes is not affected by the position of the carboxylic acid substituent, with DMA-COOH and DMA-m-COOH showing similar humidity dependencies. This is surprising since we had expected to see similar humidity sensitivity to other 4-aminoazobenzenes since the carboxylic acid itself is unable to facilitate tautomerization.
Table 1 gives a summary of the humidity sensitive kinetics of the molecules used in this study, with cis lifetime τ at 50% RH and 22 °C as well as in dry tetrahydrofuran (THF) giving an idea of the relative speed of isomerisation, sample-related constant υ describing the strength of humidity sensitivity, and the dynamic range giving the estimated limits of τ over the whole RH range at 22 °C. The wavelength of highest absorbance λmax is also given for each sample. For absorbance spectra and humidity dependency data with error bars for each compound see Supplementary Note 1, Supplementary Figs. S37–S47.
To further explain some of the trends observed in cis lifetime and humidity sensitivity the inversion and rotational isomerisation via hydrazone pathways were studied computationally by density functional theory (DFT) calculations in THF. The energies of the cis-azo and cis-hydrazone tautomers of 4-hydroxy- and 4-aminoazobenzenes without carboxylic acid substituents were calculated and major differences in their behavior were observed. For 4-hydroxyazobenzenes the cis-hydrazone tautomers have only slightly higher energy (1–2.5 kcal · mol−1) than the corresponding cis-azo tautomers indicating easy tautomerization even at room temperature. In comparison, 4-aminoazobenzenes have much higher energy gap between the cis-tautomers (9.9–13.2 kcal · mol−1), making tautomerization much less likely.
The transition state energies of the rotation around the N-N bond for the hydrazone tautomers were also calculated, as we assumed fast isomerisation through this pathway. The transition states are only 1.3–7.4 kcal · mol−1 higher in energy than the corresponding cis-hydrazones for 4-hydroxy- and 4-aminoazobenzenes, which supports our assumption. Furthermore, the hydrazone transition state energies agree with the observed isomerisation rates, with low energy corresponding to generally faster isomerisation. Finally, the transition state energies for cis-trans isomerisation via inversion were calculated and based on the results the studied azobenzenes can be divided into two groups, with CN-OH, Pyr-OH and NO2-NH2 having a significantly lower inversion energy (20.7–22.7 kcal · mol−1) compared to the others (29.1–32.0 kcal · mol−1). This also agrees quite well with our observations since low inversion energy indicates faster thermal isomerisation even in absence of water. Together these results imply that the humidity sensitivity is governed by the affinity to tautomerize to hydrazone, while the general rate of isomerisation is governed by the transition state energies. The tautomerization and transition states for which the calculations were done are illustrated in Fig. 1b for 4-hydroxyazobenzene and the calculated energies for each azobenzene are shown in Fig. 5, as well as listed in Supplementary Table S3.
Energies, ΔE, of cis-hydrazone and isomerisation transition states via different pathways compared to cis-azobenzene in THF, calculated using DFT.
Based on our experimental observations and computational studies we propose that the humidity sensitivity of cis lifetime is not simply due to hydrogen bonding but rather is caused by proton transfer to one of the nitrogens forming the azo bond which pushes the equilibrium towards hydrazone, allowing for fast rotational isomerisation. This proton transfer is in turn promoted by the presence of water. This would explain why also carboxylic acid in the meta position is able to introduce high humidity sensitivity to azobenzene with tautomerizable DMA-substituent, even though the hydrogen donor and tautomerizable structure are not the same.
The effect of polymer matrix
The azobenzene molecules embedded in a polymer film are not directly in contact with air. Thus, the relative humidity of air and the cis lifetime are bound together through the water absorption properties of the polymer film. The polymer first used to demonstrate systematic humidity dependency of isomerisation rate, P4VP, is a logical choice as it is (i) hygroscopic58 and therefore water content in the polymer is expected to rise rapidly with increasing air humidity and (ii) it is able to form supramolecular complexes with molecules containing hydrogen-bond-donating groups such as hydroxyazobenzenes, which supports high azobenzene loading without phase separation60,61. For our interests it is important to compare polymers with distinctly different water absorption characteristics to see how they translate to humidity sensitivity of thermal isomerisation.
We chose PMMA as a polymer with low water absorption and quite linear water absorption isotherm57 and ethyl cellulose (EC) as a polymer known to be hygroscopic, yet with distinctly non-linear absorption isotherm59. The water absorption isotherms of spin coated thin films of the three polymers were determined using a quartz crystal microbalance with dissipation (QCM-D) at 23 °C. The humidity sensitivity of CN-OH isomerisation kinetics was then investigated in these polymers using 1:8 molar ratio between CN-OH and polymer repeat units, which equates to 21−22 wt% of CN-OH in P4VP and PMMA, and 10.7 wt% in EC. The CN-OH content was chosen so that CN-OH should not have too great of an impact on the water absorption properties of the films and to reduce the interactions between the azobenzene molecules, but to also keep the absorbance levels of the azobenzene high enough for accurate measurements.
The absorption isotherms for the polymers are shown in Fig. 6a. We found that at 94% RH PMMA absorbs 2 wt% and EC 6 wt% of water, in relatively good agreement with literature values of 2 wt%57 and 8 wt%59, respectively. The shapes of the isotherms are also in agreement with earlier findings with the isotherm for PMMA being almost linear and EC showing clearly superlinear behavior. For P4VP the amount of absorbed water at 94% RH was remarkably high, almost 23 wt%. The shape of the isotherm is quite linear up to 75% RH, from where the absorption accelerates a little. The humidity dependency of CN-OH isomerisation rate in the studied polymers is shown in Fig. 6b. Strong correlation was found between the humidity sensitivity and water absorption isotherms of pure polymers. The isomerisation rate in PMMA is much lower than in P4VP and EC and the humidity dependency is much weaker, as would be expected since there is less water in the film. The humidity dependency in EC has a similar shape to the water absorption isotherm of the polymer, with superlinear water absorption translating to faster than a simple exponential change in isomerisation rate. The isomerisation rates in EC are not much slower than in P4VP even though the amounts of water absorbed by the polymers are vastly different. A possible explanation for this is the presence of hydroxy groups in the EC itself. This could increase the rate regardless of water content as discussed in the case of azobenzene content.
a Water absorption isotherms of pure polymer films determined with QCM-D, expressed as wt% of water in the films (\({{\rm{water\; wt}}}. \% =\frac{{m}_{{{\rm{water}}}}}{{m}_{{{\rm{film}}}}}\cdot 100 \%\)) (b) Humidity dependency of isomerisation rate k of CN-OH in different polymer films.
For P4VP the used RH range has a linear absorption isotherm, which nicely translates to exponential isomerisation rate dependency. Unfortunately, our experiments were practically limited to relative humidities below 80%. Hence, we were unable to properly characterize the isomerisation kinetics in the superlinear regime of P4VP’s absorption isotherm, which could have given further confirmation on the relationship between the kinetics of azobenzene and water absorption characteristics of the polymer. In fact, the simple exponential humidity dependency observed with P4VP films might just be an artifact caused by too narrow RH range in the experiments. Upon close inspection, deviations from the exponential trend that suggest a faster dependency can be observed in samples containing DMA-NH2 and DMA-OH (Fig. 4) as well as 2PAP (Fig. 2). This means that the linear fits shown in the figures should only be used as a basis for comparison between the different molecules’ performance, rather than as projected performance at the extremes. Note, however, that as evident from Fig. 2d in monitoring the drying of concrete, the sensing concept is shown to work even at >90 RH% even if the sensing accuracy should be further improved.
Effect of azobenzene content
The phenol–pyridine hydrogen bonding between hydroxyazobenzenes and P4VP enable fabrication of temporally stable films with high optical quality and very high (up to equimolar ratio) azobenzene content61. Since the investigated azobenzenes are hydrophobic it is expected that high azobenzene content significantly decreases water absorption in the film. We studied this effect in P4VP films by systematically increasing the azobenzene content. Increasing the amount of azobenzene also makes interaction between azobenzene molecules more probable and can thus change the isomerisation kinetics62. We measured absorption isotherms and humidity sensitivity of isomerisation rate for three CN-OH/P4VP complexes with different CN-OH contents. The chosen complexes have 1:1, 1:4 and 1:8 molar ratio of CN-OH to P4VP monomeric units, equating to 67, 35 and 21 wt% of CN-OH, respectively.
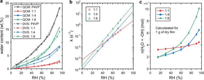
Like for pure polymers the water absorption isotherms were measured with QCM-D, but additionally verified via dynamic vapor sorption (DVS) measurements. Isotherms from both methods are shown in Fig. 7a. With QCM-D the absorbed water in the films at 94% RH and 23 °C for pure P4VP and the 1:8, 1:4 and 1:1 complexes were 22.7, 15.6, 8.5 and 2.9 wt%, respectively, showing how drastically the addition of less hygroscopic azobenzene reduces water absorption in the film. DVS results agree well with the QCM-D results with less than 2 wt% difference in absorbed water at the highest humidity for all samples. The dissipation measured by the QCM-D instrument gives information on the changes in mechanical properties of the film. The changes in dissipation measured in the films under study were not large (Supplementary Figs. S28–S33), but it increased slightly at highest humidities, meaning that the films become less rigid which in itself might also affect the isomerisation kinetics.
a Water absorption isotherms of P4VP films with varying CN-OH content, measured with QCM-D and DVS, expressed as wt% of water in the films (water wt.% = \(\frac{{m}_{{{\rm{water}}}}}{{m}_{{{\rm{film}}}}} \cdot 100\)%). b Humidity dependency of thermal isomerisation rate k in films with varying CN-OH content. c Calculation of total amount of water molecules and hydroxy groups, n(H2O + −OH), from azobenzenes in polymer films with different azobenzene content at different relative humidities. The amount of water was calculated from the data shown in Fig. 7a.
The humidity sensitivity of CN-OH’s isomerisation rate decreases with the increase in azobenzene content, as shown in Fig. 7b, which is expected since the amount of water absorbed by the film decreases. The υ-values, describing the humidity sensitivity, for the 1:1, 1:4 and 1:8 samples are 0.0825, 0.1213 and 0.1282, respectively. The difference between 1:4 and 1:8 samples is not large but clearly measurable, and the difference becomes more pronounced with the 1:1 sample. This can be rationalized by considering that less water is absorbed by the films with high azobenzene content, leading to lesser interactions between water and azobenzene molecules and thus reducing its effect on the isomerisation rate. Another noteworthy feature is that the 1:1 complex has faster isomerisation rate at low humidities than the samples with lower azobenzene content. This might be due to intermolecular interactions between the azobenzene molecules due to closer packing within the polymer film.
The effect of azobenzene content on the isomerisation kinetics in Fig. 7b is clear but the exact mechanism needs further analysis. We give a possible qualitative explanation with an assumption that each water molecule and hydroxy group in the azobenzenes affect the isomerisation kinetics in the same way. The number of hydroxy groups stays the same regardless of the water content in the film. Thus, high azobenzene content increases the isomerisation rate at low humidities. On the other hand, high azobenzene content decreases the amount of water absorbed by the film and thus diminishes its effect on the isomerisation rate. In Fig. 7c the total amount of water molecules and hydroxy groups from azobenzene molecules, n(H2O + -OH), in complexes with different azobenzene content at different relative humidities has been calculated from the absorption isotherms in Fig. 7a. This means that at low humidities the high-azobenzene-content films have more hydroxy groups that might assist tautomerization, but at high humidities, due to the reduced water absorption, the total amount of the tautomerization-assisting species is lower than in low-azobenzene-content films. This qualitatively explains the observed changes in isomerisation rate, offering one potential contributing factor to the complex dependencies observed. Yet more detailed analysis would be needed for quantitative understanding.
Discussion
We have investigated humidity-dependent isomerisation kinetics of azobenzenes in polymer thin films and present three simple strategies to control it: the choice of azobenzene, the choice of polymer matrix, and the azobenzene content in the polymer matrix. Based on detailed structure–property studies and DFT calculations we propose that rotational isomerisation due to azo–hydrazone -tautomerization, which in turn is promoted by the presence of water, is the key to the humidity-dependent isomerisation kinetics. The role of the polymer matrix is to control the amount of water that can interact with the azobenzene. The amount of azobenzene in the polymer changes the water absorption characteristics of the film while also affecting the intermolecular interactions between the azobenzene molecules that can also have an effect on the isomerisation kinetics. Both the choice of azobenzene and the polymer matrix are critical for dictating the humidity sensitivity of the isomerisation kinetics. The azobenzene content, in turn, can be used to fine tune the sensitivity and absorption characteristics of the sensing layer. Better understanding of the underlying mechanisms of humidity sensitivity of the isomerisation kinetics will however help with the design of new sensor materials.
The azobenzene structure is the core of the humidity sensing concept. From the results presented in this work certain aspects affecting the humidity sensitivity of thermal isomerisation can be observed. First, to have humidity sensitivity in the first place a tautomerizable molecular structure is needed, as demonstrated by the lack of humidity sensitivity in m-OH-m-OH. While 4-aminoazobenzenes exhibit some humidity sensitivity it is much weaker than for 4-hydroxyazobenzenes or azobenzene carboxylic acids with dimethylamino substitution. By comparing the experimental and computational results, one can conclude that the highest humidity sensitivity is observed for compounds which can easily tautomerize to hydrazones, but do not easily isomerise via inversion, therefore preferring rotational isomerisation via hydrazone. It is also possible to control the isomerisation rate irrespective of humidity by D–A substitution and heteroaromaticity while maintaining the humidity sensitivity.
The choice of polymer matrix is as important as the azobenzene choice when considering the sensing performance since the polymer mediates the interaction between the azobenzene and the environment. Two main aspects to consider when choosing a polymer for senor materials are the water absorption characteristics and interactions with the azobenzene. The water absorption characteristics of the polymer directly affects the dynamic range of isomerisation rate by dictating how much water there is to interact with the azobenzenes. Our results suggest that with linear water absorption isotherm, the dependency between thermal isomerisation rate and relative humidity is exponential, while superlinear isotherm leads to deviations from this simple dependency.
The choice of azobenzene content in the film allows for fine tuning of the sensing performance. However, the challenge with this strategy becomes a balancing act between the desired sensitivity and stability of the films, as phase separation becomes more prominent when the amount of azobenzene is increased. This is clearly seen in films imaged with polarized optical microscope (Supplementary Fig. S15), with 1:8 CN-OH/P4VP showing practically no phase separation a year after fabrication and 1:1 film showing significant aggregation of CN-OH after only 4 months. Nevertheless, specific non-covalent interactions such as phenol–pyridine hydrogen bonding between the azobenzenes and the polymer matrix enable to significantly increase the azobenzene concentration, allowing the use of thinner sensing layers with shorter equilibration time.
In summary, there is no single material that ticks all the boxes for humidity sensing purposes. Rather, when designing a new sensor material, one must consider what is the most important characteristic it must fulfill (accuracy, speed, humidity range, longevity, …). The choice of azobenzene dictates the speed, accuracy and working range of the sensor. For accurate sensors 4-hydroxyazobenzenes and tautomerizable azobenzene carboxylic acids are good choices, but they yield slow measurements at low relative humidities. For fast measurements over wide RH range, at the expense of accuracy, 4-aminoazobenzenes with strong D–A configuration would be a decent choice, although they might be more prone to phase separation due to strong dipolar interactions between the azobenzene molecules. The polymer material is also a crucial when considering the speed and accuracy of the. For accurate sensors a polymer that absorbs significant amounts of water and preferably with linear water absorption isotherm, is optimal. P4VP fulfills these requirements rather well. Materials that absorb even more water could still allow for wider working ranges for fast measurements, but one must keep in mind that introduction of large amounts of water might have unforeseen effects on the thermal isomerisation kinetics. Also, absorption and desorption of water should be fast in an ideal sensor material to avoid hysteresis. For longevity of the sensors the choice of azobenzene and polymer material should be made so that the two materials bind together via relatively strong intermolecular forces such as hydrogen bonds. With the chosen materials the sensing performance can then be tweaked by the azobenzene content, with low content giving more accuracy in exchange of speed at low humidities and vice versa with high content. The azobenzene content also plays a significant role in the longevity, since large amount of azobenzene can lead to faster phase separation through stronger interactions between azobenzene molecules. The strategies we have presented here are simple yet crucial to understand for effectively transitioning our sensing technology into practical applications.
Methods
Materials
4-cyano-4’-hydroxyazobenzene (CN-OH, >95% purity) was bought from OTAVA chemicals, 4-hydroxy-4’-dimethylamino-azobenzene (DMA-OH, >98.0% purity), 4’-carboxy-4-dimethyl-aminoazobenzene (DMA-COOH, >97.0% purity), 4,4’-dihydroxyazobenzene (OH-OH) and 4’-dimethylamino-4-aminoazobenzene (DMA-NH2) from TCI, Disperse Orange 3 (NO2-NH2, dye content 90%) from Sigma-Aldrich, and 4,4’-Diaminoazobenzene (NH2-NH2, 95% purity) from Alfa Aesar. All compounds were used as received without further purification.
Synthesis of 4-[(4-hydroxyphenyl)diazenyl]-3,5-dimethylisoxazole (AIZ-OH) was adapted from a published route63 (Supplementary Methods, Synthesis 1), 3-3’-dihydroxyazobenzene was synthesized by homocoupling of TBDMS-protected 3-Hydroxyaniline (Supplementary Methods, Synthesis 2), 3-Carboxy-4’-dimethylaminoazobenzene (DMA-m-COOH)64 (Supplementary Methods, Synthesis 3), 4-(Pyridin-4-yldiazenyl)-phenol (Pyr-OH)65 (Supplementary Methods, Synthesis 4), and 4-(4-Ethylphenylazo)phenol (2PAP)66 (Supplementary Methods, Synthesis 5) were synthesized according to published procedures. The structures and purity of the synthesized compounds were verified by NMR spectroscopy (JNM-ECZR 500, JEOL) and mass spectrometry (JMS-T100LP AccuTOF LC-plus 4G, JEOL) (Supplementary Figs. S1–S14).
P4VP (avg. Mw = 60,000 g · mol−1), polystyrene (avg Mw = 350,000 g·mol−1), PMMA (avg Mw = 280,000 g·mol−1) and ethyl cellulose (48.0–49.5% (w/w) ethoxyl basis) were bought from Sigma-Aldrich and used as received. Ethanol (Etax A, ≥96.1 V-%), ethyl acetate (≥99.5%), and dimethylformamide (DMF, ≥99.8%) were purchased form Anora, Honeywell, and Sigma-Aldrich, respectively.
Film fabrication
Thin film samples were prepared by first dissolving polymer and azobenzene in either ethanol, ethyl acetate, DMF, a mixture of ethanol and DMF, or a mixture of ethanol and ethyl acetate in desired molar ratios (Supplementary Table S1 for details). For Ethyl Cellulose (EC) films the ratio was fixed to have one azo molecule per 8 hydroxy groups in the polymer. Films were then spin coated (WS-650MZ-23NPPB, Laurell Technologies) on clean glass substrates at 1000 rpm for 40 s and left to dry on a 60 °C hot plate for 5–10 min. Films fabricated from pure DMF solution were kept under vacuum at 40 °C overnight to evaporated excess solvent. Film thicknesses were measured for a few samples with atomic force microscope (Dimension Icon, Bruker) and were found to be around 150–300 nm (Supplementary Figs. S24–S27).
Absorption and thermal isomerisation measurements
The absorption spectra of the films were measured in ambient conditions right after fabrication (Cary 60 UV–vis, Agilent Technologies). The kinetics of the thermal back relaxation was measured inside a humidity-controlled chamber (LTS420 with RH95 relative humidity controller, Linkam Scientific Instruments) using a deuterium-halogen light source (DH-2000 BAL, Ocean Optics) for monitoring light and a fiber-optic spectrometer (AvaSpec-ULS2048L, Avantes) for detection. Neutral density filters (Thorlabs) were used as needed to avoid detector saturation and narrow band pass filters (Thorlabs) to limit monitoring wavelengths close to the absorption maximum of the π–π* band. Photoexcitation was done with short 100 ms pulses from led light source with selectable wavelength (Lumen 1600-LED, Prior Scientific) using wavelengths slightly longer than the absorption maximum of the π–π* band (Supplementary Table S1). The thermal isomerisation typically follows first-order kinetics in solution, but in solid phase the Kohlrausch−Williams−Watts function, which is a stretched exponential function, is better able to describe the kinetics with a single rate constant and a stretching term:
where A0 is absorbance right after illumination, A∞ is absorbance of the fully relaxed state, k is the isomerisation rate constant and β is the exponential stretching term49.
Lifetimes for most of the azobenzenes were also measured in THF and lifetime for CN-OH was measured also THF with added water. Solution measurements were done with Cary 60 UV–vis (Agilent Technologies) spectrophotometer and Lumen 1600-LED (Prior Scientific) light source for the photoexcitation. For further details and results see Supplementary Methods, Supplementary Table S2 and Supplementary Figs. S16–S23.
Computational studies
The molecular geometry optimizations and energy calculations were performed at the wB97X/def2-TZVP level of theory using ORCA 5.0.4. Frequency calculations were performed for all optimized geometries at the same level of theory to ensure that the obtained geometries were true minimum energy geometries (i.e., no imaginary frequencies). The conductor-like polarizable continuum method (CPCM) was used to account for solvent effects.
Water absorption isotherms
Water absorption isotherms were measured using quartz crystal microbalance with dissipation (QCM-D) (Q-Sense E4, Biolin Scientific) equipped with a humidity module (QHM 401, Biolin Scientific). Films for QCM-D were directly deposited on gold coated sensors (QSX 301, Biolin Scientific), using a spin coater (WS-650SX-6NPP/LITE, Laurell Technologies). QCM-D measurements were done at 23 °C. Humidity inside the chamber was controlled with flow of saturated salt solution, with a water vapor permeable membrane separating the solution from the sensor. More information on the used salt solutions and QCM-D data analysis are found in Supplementary Methods, Supplementary Table S4 and Supplementary Figs. S28–S33. Absorption isotherms were also measured with dynamic vapor sorption technique (DVS Adventure, Surface Measurement Systems) to verify accuracy. The instrument requires milligrams of the film for accurate measurements, which meant that multiple films had to be scraped off the glass substrate to fit enough of it in the sample holder. In DVS experiments the relative humidity was increased from 0 to 95% in 5–15% steps and each humidity was held for 12 h. DVS measurements were done at 20 °C for pure P4VP and at 23 °C for other samples.
Data availability
The raw experimental data and analyzed data collected and used in this work, as well as custom MATLAB-code used for calculating the rate constants of thermal cis-trans isomerisation have been archived in Zenodo67.
References
Goulet-Hanssens, A., Eisenreich, F. & Hecht, S. Enlightening materials with photoswitches. Adv. Mater. 32, 1905966 (2020).
Pianowski, Z. L. Recent implementations of molecular photoswitches into smart materials and biological systems. Chem. Eur. J. 25, 5128–5144 (2019).
Li, X. et al. A photoinduced reversible phase transition in a dipeptide supramolecular assembly. Angew. Chem. Int. Ed. 57, 1903–1907 (2018).
Xu, W., Sun, S. & Wu, S. Photoinduced reversible solid-to-liquid transitions for photoswitchable materials. Angew. Chem. Int. Ed. 58, 9712–9740 (2019).
Takashima, Y. et al. Supramolecular adhesives to hard surfaces: adhesion between host hydrogels and guest glass substrates through molecular recognition. Macromol. Rapid Commun. 35, 1646–1652 (2014).
Kim, M.-S., Maruyama, H., Kawai, T. & Irie, M. Refractive index changes of amorphous diarylethenes containing 2,4-diphenylphenyl substituents. Chem. Mater. 15, 4539–4543 (2003).
Kim, S.-H. et al. Photoinduced refractive index change of self-assembled spiroxazaine monolayer based on surface plasmon resonance. Dyes Pigments 46, 55–62 (2000).
Lee, S., Kang, H. S. & Park, J. Directional photofluidization lithography: micro/nanostructural evolution by photofluidic motions of azobenzene materials. Adv. Mater. 24, 2069–2103 (2012).
Velema, W. A., Szymanski, W. & Feringa, B. L. Photopharmacology: beyond proof of principle. J. Am. Chem. Soc. 136, 2178–2191 (2014).
Szymański, W., Beierle, J. M., Kistemaker, H. A. V., Velema, W. A. & Feringa, B. L. Reversible Photocontrol of biological systems by the incorporation of molecular photoswitches. Chem. Rev. 113, 6114–6178 (2013).
Fuchter, M. J. On the promise of photopharmacology using photoswitches: a medicinal chemist’s perspective. J. Med. Chem. 63, 11436–11447 (2020).
Cheng, H., Zhang, S., Qi, J., Liang, X. & Yoon, J. Advances in application of azobenzene as a trigger in biomedicine: molecular design and spontaneous assembly. Adv. Mater. 33, 2007290 (2021).
Zhu, J., Guo, T., Wang, Z. & Zhao, Y. Triggered azobenzene-based prodrugs and drug delivery systems. J. Controlled Release 345, 475–493 (2022).
Mansø, M. et al. Molecular solar thermal energy storage in photoswitch oligomers increases energy densities and storage times. Nat. Commun. 9, 1945 (2018).
Brummel, O. et al. Photochemical energy storage and electrochemically triggered energy release in the norbornadiene–quadricyclane system: UV photochemistry and IR spectroelectrochemistry in a combined experiment. J. Phys. Chem. Lett. 8, 2819–2825 (2017).
Wang, Z. et al. Demonstration of an azobenzene derivative based solar thermal energy storage system. J. Mater. Chem. A 7, 15042–15047 (2019).
Gemayel, M. E. et al. Optically switchable transistors by simple incorporation of photochromic systems into small-molecule semiconducting matrices. Nat. Commun. 6, 6330 (2015).
Dreos, A., Wang, Z., Tebikachew, B. E., Moth-Poulsen, K. & Andréasson, J. Three-input molecular keypad lock based on a norbornadiene–quadricyclane photoswitch. J. Phys. Chem. Lett. 9, 6174–6178 (2018).
Sugimoto, H., Kimura, T. & Inoue, S. Photoresponsive molecular switch to control chemical fixation of CO2. J. Am. Chem. Soc. 121, 2325–2326 (1999).
Sud, D., Norsten, T. B. & Branda, N. R. Photoswitching of stereoselectivity in catalysis using a copper dithienylethene complex. Angew. Chem. 117, 2055–2057 (2005).
Kravets, M., Flaibani, M., Szewczyk, M., Posocco, P. & Sashuk, V. Pursuing the complete OFF state in photoswitchable catalysis. ACS Catal. 13, 15967–15976 (2023).
Salkho, N. M., Awad, N. S., Pitt, W. G. & Husseini, G. A. Photo-induced drug release from polymeric micelles and liposomes: phototriggering mechanisms in drug delivery systems. Polymers 14, 1286 (2022).
Kobayashi, Y. & Abe, J. Real‐time dynamic hologram of a 3d object with fast photochromic molecules. Adv. Opt. Mater. 4, 1354–1357 (2016).
Russew, M. & Hecht, S. Photoswitches: from molecules to materials. Adv. Mater. 22, 3348–3360 (2010).
Fedele, C., Ruoko, T.-P., Kuntze, K., Virkki, M. & Priimagi, A. New tricks and emerging applications from contemporary azobenzene research. Photochem. Photobiol. Sci. 21, 1719–1734 (2022).
Younis, M. et al. Recent progress in azobenzene‐based supramolecular materials and applications. Chem. Rec. 23, e202300126 (2023).
Yin, K., Xiong, J., He, Z. & Wu, S.-T. Patterning liquid-crystal alignment for ultrathin flat optics. ACS Omega 5, 31485–31489 (2020).
Oscurato, S. L., Salvatore, M., Maddalena, P. & Ambrosio, A. From nanoscopic to macroscopic photo-driven motion in azobenzene-containing materials. Nanophotonics 7, 1387–1422 (2018).
Finkelmann, H., Nishikawa, E., Pereira, G. G. & Warner, M. A new opto-mechanical effect in solids. Phys. Rev. Lett. 87, 015501 (2001).
Pilz Da Cunha, M., Debije, M. G. & Schenning, A. P. H. J. Bioinspired light-driven soft robots based on liquid crystal polymers. Chem. Soc. Rev. 49, 6568–6578 (2020).
Bléger, D., Schwarz, J., Brouwer, A. M. & Hecht, S. o‑Fluoroazobenzenes as readily synthesized photoswitches offering nearly quantitative two-way isomerization with visible light. J. Am. Chem. Soc. 134, 20597–20600 (2012).
Samanta, S. et al. Photoswitching azo compounds in vivo with red light. J. Am. Chem. Soc. 135, 9777–9784 (2013).
Rickhoff, J. et al. Reversible, red-shifted photoisomerization in protonated azobenzenes. J. Org. Chem. 87, 10605–10612 (2022).
Garcia-Amorós, J., Sánchez-Ferrer, A., Massad, W. A., Nonell, S. & Velasco, D. Kinetic study of the fast thermal cis-to-trans isomerisation of para-, ortho- and polyhydroxyazobenzenes. Phys. Chem. Chem. Phys. 12, 13238 (2010).
Knie, C. et al. ortho -Fluoroazobenzenes: visible light switches with very long-lived Z isomers. Chem. - Eur. J. 20, 16492–16501 (2014).
Garcia-Amorós, J., Díaz-Lobo, M., Nonell, S. & Velasco, D. Fastest thermal isomerization of an azobenzene for nanosecond photoswitching applications under physiological conditions. Angew. Chem. Int. Ed. 51, 12820–12823 (2012).
Calbo, J. et al. Tuning azoheteroarene photoswitch performance through heteroaryl design. J. Am. Chem. Soc. 139, 1261–1274 (2017).
Simeth, N. A., Crespi, S., Fagnoni, M. & König, B. Tuning the thermal isomerization of phenylazoindole photoswitches from days to nanoseconds. J. Am. Chem. Soc. 140, 2940–2946 (2018).
Whitten, D. G., Wildes, P. D., Pacifici, J. G. & Irick, G. Solvent and substituent on the thermal isomerization of substituted azobenzenes. Flash spectroscopic study. J. Am. Chem. Soc. 93, 2004–2008 (1971).
Qian, H., Wang, Y.-Y., Guo, D.-S. & Aprahamian, I. Controlling the isomerization rate of an Azo-BF 2 switch using aggregation. J. Am. Chem. Soc. 139, 1037–1040 (2017).
Asano, T. & Okada, T. Thermal Z-E isomerization of azobenzenes. The pressure, solvent, and substituent effects. J. Org. Chem. 49, 4387–4391 (1984).
Kojima, M., Nebashi, S., Ogawa, K. & Kurita, N. Effect of solvent on cis -to- trans isomerization of 4‐hydroxyazobenzene aggregated through intermolecular hydrogen bonds. J. Phys. Org. Chem. 18, 994–1000 (2005).
Dunn, N. J., Humphries, W. H., Offenbacher, A. R., King, T. L. & Gray, J. A. pH-Dependent cis → trans Isomerization rates for azobenzene dyes in aqueous solution. J. Phys. Chem. A 113, 13144–13151 (2009).
Egawa, Y., Miki, R. & Seki, T. Colorimetric sugar sensing using boronic acid-substituted azobenzenes. Materials 7, 1201–1220 (2014).
Wang, Y.-T. et al. A colorimetric Pb2+ chemosensor: rapid naked-eye detection, high selectivity, theoretical insights, and applications. J. Photochem. Photobiol. Chem. 355, 101–108 (2018).
Singh, G., Raj, P., Singh, H. & Singh, N. Colorimetric detection and ratiometric quantification of mercury(ii) using azophenol dye: ‘dip & read’ based handheld prototype device development. J. Mater. Chem. C. 6, 12728–12738 (2018).
Gholami, M. D., Manzhos, S., Sonar, P., Ayoko, G. A. & Izake, E. L. Dual chemosensor for the rapid detection of mercury(ii) pollution and biothiols. Analyst 144, 4908–4916 (2019).
Poutanen, M., Ahmed, Z., Rautkari, L., Ikkala, O. & Priimagi, A. Thermal isomerization of hydroxyazobenzenes as a platform for vapor sensing. ACS Macro Lett. 7, 381–386 (2018).
Palmer, R. G., Stein, D. L., Abrahams, E. & Anderson, P. W. Models of hierarchically constrained dynamics for glassy relaxation. Phys. Rev. Lett. 53, 958–961 (1984).
Bandara, H. M. D. & Burdette, S. C. Photoisomerization in different classes of azobenzene. Chem. Soc. Rev. 41, 189–1825 (2012).
Chang, V. Y., Fedele, C., Priimagi, A., Shishido, A. & Barrett, C. J. Photoreversible soft azo dye materials: toward optical control of bio‐interfaces. Adv. Opt. Mater. 7, 1900091 (2019).
Fedele, C. et al. Azobenzene-based sinusoidal surface topography drives focal adhesion confinement and guides collective migration of epithelial cells. Sci. Rep. 10, 15329 (2020).
Sekki, P., Huttunen, P., Karvinen, T. & Vinha, J. Temperature dependence of concrete drying and a method for estimating the effect of temperature on the relative humidity in concrete pores. J. Build. Eng. 89, 109266 (2024).
Castagnoli, E. et al. Emissions of DEHP‐free PVC flooring. Indoor Air 29, 903–912 (2019).
García-Amorós, J. & Velasco, D. Recent advances towards azobenzene-based light-driven real-time information-transmitting materials. Beilstein J. Org. Chem. 8, 1003–1017 (2012).
Garcia-Amorós, J. & Velasco, D. Understanding the fast thermal isomerisation of azophenols in glassy and liquid-crystalline polymers. Phys. Chem. Chem. Phys. 16, 3108 (2014).
Roussis, P. P. Diffusion of water vapour in polymethyl methacrylate. J. Membr. Sci. 15, 141–155 (1983).
Rembaum, A., Gupta, A. & Volksen, W. Polyvinyl pyridine microspheres. (1980).
Wellons, J. D. & Stannett, V. Permeation, sorption, and diffusion of water in ethyl cellulose. J. Polym. Sci. [A1] 4, 593–602 (1966).
Priimagi, A. et al. Hydrogen-bonded polymer−azobenzene complexes: enhanced photoinduced birefringence with high temporal stability through interplay of intermolecular interactions. Chem. Mater. 20, 6358–6363 (2008).
Vapaavuori, J., Bazuin, C. G. & Priimagi, A. Supramolecular design principles for efficient photoresponsive polymer–azobenzene complexes. J. Mater. Chem. C. 6, 2168–2188 (2018).
Poutanen, M., Ikkala, O. & Priimagi, A. Structurally controlled dynamics in azobenzene-based supramolecular self-assemblies in solid state. Macromolecules 49, 4095–4101 (2016).
Kortekaas, L., Simke, J., Kurka, D. W. & Ravoo, B. J. Rapid photoswitching of low molecular weight arylazoisoxazole adhesives. ACS Appl. Mater. Interfaces 12, 32054–32060 (2020).
Basu Baul, T. S., Dutta, D., Duthie, A. & Guedes Da Silva, M. F. C. Perceptive variation of carboxylate ligand and probing the influence of substitution pattern on the structure of mono- and di-butylstannoxane complexes. Inorg. Chim. Acta 455, 627–637 (2017).
Lu, H., Wang, J. & Song, X. Supramolecular liquid crystals induced by intermolecular hydrogen bonding. Mol. Cryst. Liq. Cryst. 537, 93–102 (2011).
Suwanprasop, S., Suksorn, S., Nhujak, T., Roengsumran, S. & Petsom, A. Petroleum markers synthesized from n -alkylbenzene and aniline derivatives. Ind. Eng. Chem. Res. 42, 5054–5059 (2003).
Vesamäki, S., Virkki, M. & Priimägi, A. Strategies to control humidity sensitivity of azobenzene isomerisation kinetics in polymer thin films [Data set]. Zenodo https://doi.org/10.5281/ZENODO.12742425 (2024).
Acknowledgements
This work was started under ERC Proof of Concept -project OPTOSENSE (Project Number 789788) and continued with the help of Business Finland Research to Business funding (diary no. 42576/31/2020). S.V. gratefully acknowledges the Vilho, Yrjö and Kalle Väisälä Foundation of the Finnish Academy of Science and Letters for a grant for financial support. The work is conducted as part of the Center of Excellence programme Life-Inspired Hybrid Materials Research (LIBER; no. 346105 and 346107) and the Flagship programme on Photonics Research and Innovation (PREIN, no. 320165), both funded by Research Council of Finland. A.P. Acknowledges the financial support of the European Research Council (Consolidator Grant project MULTIMODAL, no. 101045223). This work made use of Aalto University Bioeconomy Facilities for the QCM-D measurements, for which the authors thank them. The authors are also grateful to Tampere Microscopy Center for providing facilities for atomic force microscopy and Matias Paatelainen for conducting the measurements, Petteri Huttunen for his help with DVS measurements, and Dr. Kim Kuntze and Prof. Tero-Petri Ruoko for insightful discussions.
Author information
Authors and Affiliations
Contributions
The present work was conceptualized by S.V., M.V., and A.P. Commercialization efforts and sensor development were done by S.V., J.P., M.V., and A.P. Characterization and analysis of isomerisation kinetics were carried out by S.V., and H.M. Synthesis and characterization of products were done by H.M. and R.N. A.S. performed the density functional theory calculations. S.V. measured the absorption isotherms with QCM-D under the instruction of N.R.E. and M.L. Supervision of the commercialization efforts and present work were done by M.V. and A.P. Original draft of the manuscript was prepared by S.V., M.V. and A.P. with all authors taking part in revision and editing.
Corresponding author
Ethics declarations
Competing interests
The authors declare no competing interests.
Peer review
Peer review information
Communications materials thanks Emad L. Izake, Manzar Abbas and the other, anonymous, reviewer(s) for their contribution to the peer review of this work. Primary Handling Editors: Jet-Sing Lee.
Additional information
Publisher’s note Springer Nature remains neutral with regard to jurisdictional claims in published maps and institutional affiliations.
Supplementary information
Rights and permissions
Open Access This article is licensed under a Creative Commons Attribution 4.0 International License, which permits use, sharing, adaptation, distribution and reproduction in any medium or format, as long as you give appropriate credit to the original author(s) and the source, provide a link to the Creative Commons licence, and indicate if changes were made. The images or other third party material in this article are included in the article’s Creative Commons licence, unless indicated otherwise in a credit line to the material. If material is not included in the article’s Creative Commons licence and your intended use is not permitted by statutory regulation or exceeds the permitted use, you will need to obtain permission directly from the copyright holder. To view a copy of this licence, visit http://creativecommons.org/licenses/by/4.0/.
About this article
Cite this article
Vesamäki, S., Meteling, H., Nasare, R. et al. Strategies to control humidity sensitivity of azobenzene isomerisation kinetics in polymer thin films. Commun Mater 5, 209 (2024). https://doi.org/10.1038/s43246-024-00642-w
Received:
Accepted:
Published:
Version of record:
DOI: https://doi.org/10.1038/s43246-024-00642-w









