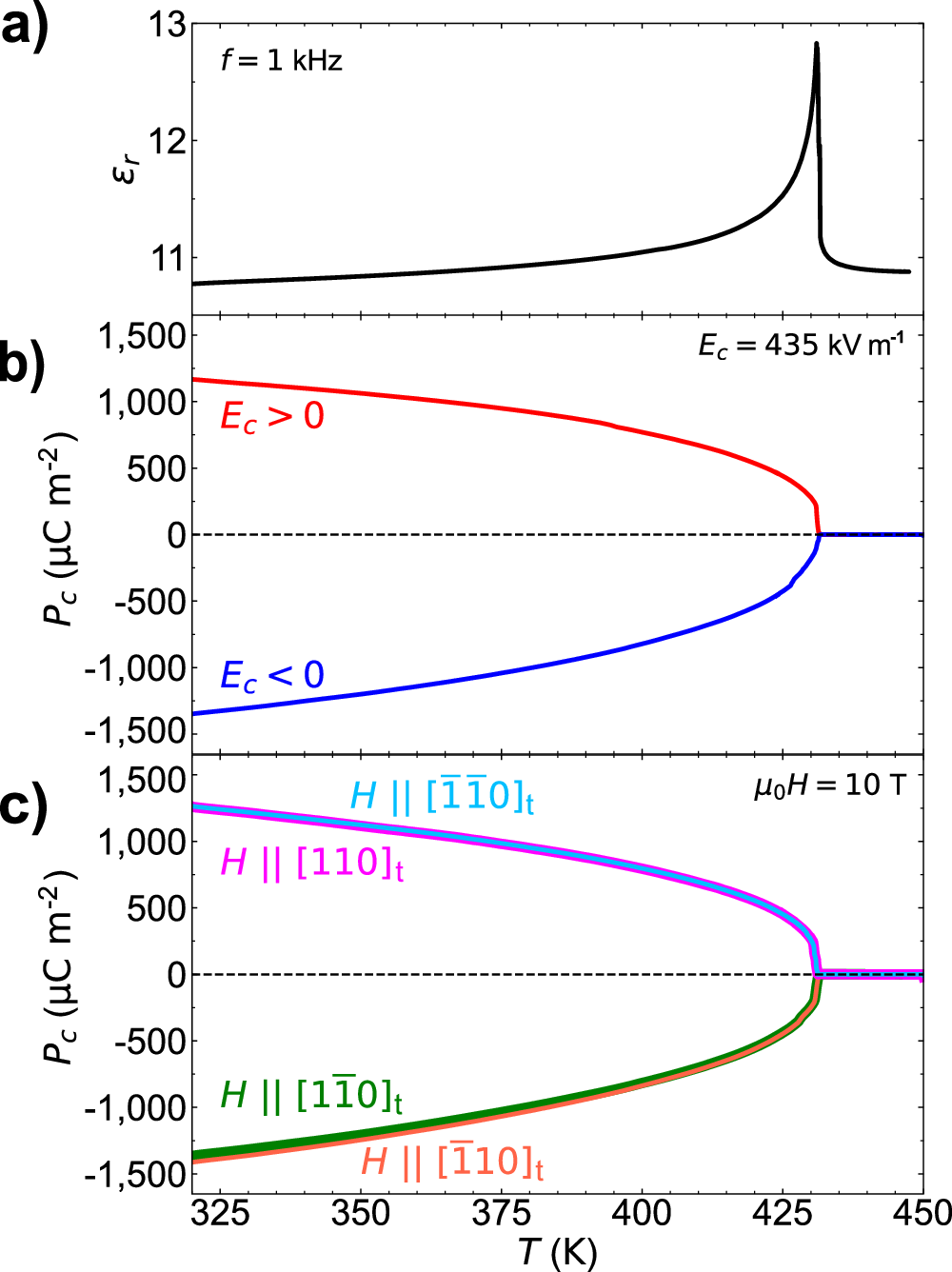
Fig. 2: Magnetically induced polarization in magnetic fields.

a Temperature dependence of relative dielectric constant at μ0H = 0 T. b Temperature dependence of the electric polarization at μ0H = 0 T measured on warming runs. Before the measurement, we cooled the sample from 450 K to 320 K in electric fields Ec = ±435 kV m−1. c Temperature dependence of the electric polarization measured on warming runs in the absence of any external field after cooling the sample down to 320 K applying magnetic fields ∣μ0H∣ = 10 T with various directions.