Fig. 3: The CW parameters of the MAPbX3 crystals.
From: Incipient ferroelectricity in methylammonium lead halide perovskites

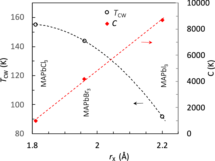
The dependences of TCW and C on the radius of anion, rx.
From: Incipient ferroelectricity in methylammonium lead halide perovskites

The dependences of TCW and C on the radius of anion, rx.