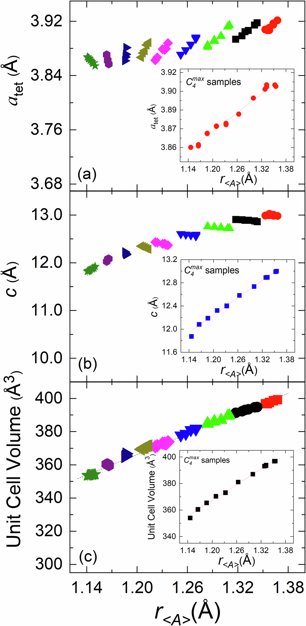
Fig. 2: Lattice parameters.
From: Disorder-induced universality and scaling in hole-doped iron-based superconductors

Lattice parameters (a, b) and unit cell volume (c), at 10 K, of all samples as a function of average A-site ionic radius \({r}_{ < A > }\). Inset: Lattice parameters, unit cell volume, and select bond lengths for samples exhibiting maximum transition temperatures to the \({C}_{4M}^{c}\) magnetic state. Orthorhombic a and b lattice parameters were transformed to tetragonal-equivalent lattice parameter atet using the relationship: \({a}_{{tet}}=\scriptstyle\sqrt{\left({a}^{2}+{b}^{2}\right)}/2\). Error bars are smaller than the symbol size.