Fig. 3: Structural and magnetic parameters.
From: Disorder-induced universality and scaling in hole-doped iron-based superconductors

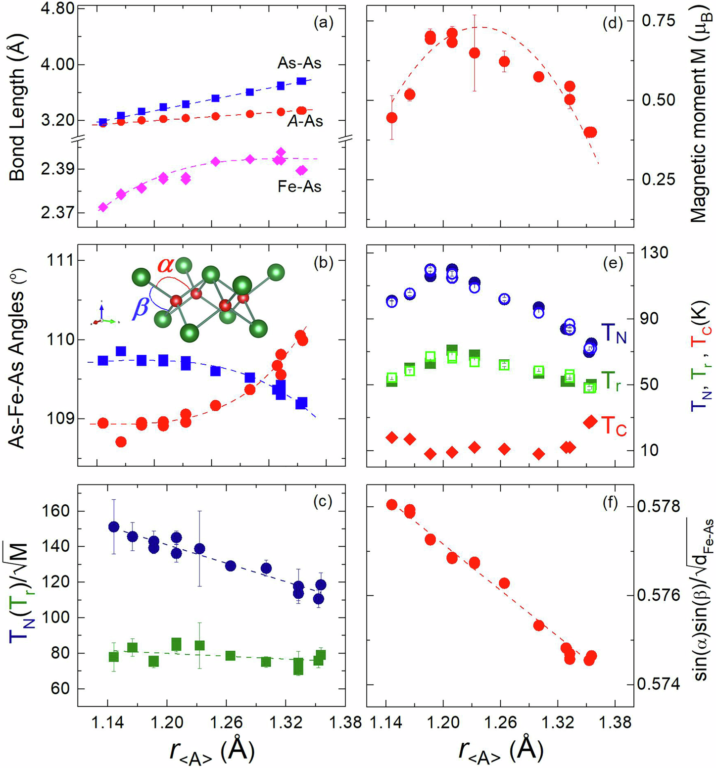
Bond-length (a), bond-angles (b), and refined magnetic moment (d) for all the \({C}_{4M}^{{c}\max }\) samples at 10 K. Linear scaling between \(\frac{{T}_{{{{\rm{N}}}}}}{\sqrt{M}}\) and \(\frac{{T}_{{{{\rm{r}}}}}}{\sqrt{M}}\) and \({r}_{ < A > }\) (c) and between the bond-angles and bond-length and \({r}_{ < A > }\) (f). e Magnetic and superconducting transition temperatures. Observed (closed symbols) values of TN and Tr are compared with those calculated by the scaling function (Eq. 1) (open symbols). Error bars are smaller than the symbol size, if not clearly visible.