Abstract
Piezoelectric energy harvesting, i.e. the interconversion of electrical and mechanical energy, has the potential to revolutionise how we generate sustainable power for electronic devices. Currently the majority of research into maximising the electrical output of piezoelectrics focuses on the material itself i.e. modulating the electromechanical properties via stoichiometry, crystal engineering, deposition technique, etc. Here we take a different approach, demonstrating that for direct force harvesting the base layer onto which piezoelectrics are mounted has a huge impact on the voltage output of commercial piezoelectric transducers. We almost triple the open-circuit voltage output of a small piezoelectric array from 2.8 to 7.5 Volts by changing the flexibility of the material they are adhered to. As well as conventional base layer materials we use a variety of 3D-printed geometries, which offer a low-cost and efficient method for controlling the dynamics of a piezoelectric-based interface. The goal is that by demonstrating this phenomenon using widely used lead-based piezoelectrics, that it can be utilised for increasing the power output of sustainable alternatives.

Similar content being viewed by others
Introduction
As technology advances, everyday objects- from home appliances to vehicles- are becoming increasingly connected, with the number of portable devices increasing rapidly. Reports indicate that the consumer electronics market will grow by a compound annual growth rate (CAGR) of 7.63% from 2024 to 20321. The ability of these devices to connect and communicate data wirelessly is creating a wealth of opportunity in the field of sensors, wireless technology and big data2,3,4. More devices will continue to be employed on the internet of things (IoT), and powering these devices will pose a greater challenge as traditional fossil-fuel resources are at the edge of depletion and are playing a crucial part in increasing global warming5.
Sustainable energy harvesting technologies offer an ideal solution for powering consumer electronics and can significantly reduce the dependency on conventional resources if scaled to mass production. Likewise, kinetic energy from human motion is one of the greenest and most sustainable resources available to harness power via the piezoelectric effect. Harnessing the energy from pedestrian traffic using piezoelectric transducers has gained significant attention in the last decade to power electronics5,6,7,8,9.
At present piezoelectric energy harvesting floors exist in several forms and harvest energy via the interconversion of mechanical and electrical energy. The floor can be a paving slab, a smart pedestrian track for the public to charge their portable devices, or in any publicly accessible form to drive a desired electronic device. There are several considerations to navigate when designing a piezoelectric harvesting floor (PHF), a major challenges of which is to ensure efficient energy conversion. The PHF is completely dependent upon human traffic and this input is periodic in nature. So, to optimize the energy conversion researchers have used various engineering and material science techniques to achieve optimum power generation.
Using a novel piezoelectric material system of 0.72Pb (Zr0.47Ti0.53)O3-0.28Pb[(Zn0.45Ni0.55)1/3Nb2/3]O3 + x mol% CuO (PZNxC), Kim10 created a piezoelectric energy harvesting floor that could power a wireless sensor node. The study demonstrated a peak output voltage and current of 42 V and 11 µA when a person stepped on the floor tile. Puscasu and colleagues11 constructed a floor structure with a bistable piezoelectric energy harvesting system and positioned it beneath a stair nosing to drive the embedded lighting. However, the two PHFs mentioned above share the same limitations: the stepping force is not applied uniformly to the piezoelectric units in each structure. When the structure is compressed, the piezoelectric elements farthest from the foot will experience less stress than the elements directly beneath the foot. The displacement of the piezoelectric materials plays a crucial role in optimizing the voltage generation capabilities of the PHF.
Optimizing the energy harvesting efficiency of a PHF is largely dependent on the structural arrangement and how the base layer behaves when the force is applied12,13,14,15,16,17. The displacement and stress distribution on the piezoelectric components are strongly influenced by the choice of base layer material. It is essential to use specially built structures or flexible foundation layers that ensure balanced stress distribution to obtain optimal energy output. Several researchers have studied such force amplification mechanisms and demonstrated improved energy harvesting performance from PHFs12,13,14. Ming12 used a force amplification method using mechanical linkages with double layered structures and connecting rods to optimize power generation. The Lead Zirconium Titanate (PZT) beams were placed in between the double layered structures with springs to amplify the applied force. In this way the PZT beams were displacing at maximum amplitude to generate optimized power. Similarly, Matthew13 and Phonexai17 also demonstrate the importance of uniform stress distribution using special structures for maximizing the output. The above-mentioned structures do amplify the output but introduce more complexity in the system and increase the cost factor.
Debashish15 used a wooden base layer- a homogenous material offering very low flexibility and negligible displacement to the piezoelectric materials, resulting in lower output voltages. The authors then embedded rubber strips to each PZT transducer to lower the mechanical damping due to the base layer and improved the voltage generation. Similarly, Muhammad18 used a homogenous base which was very rigid and able to only generate a maximum of 46 V from over fifty PZT discs. The base provided no flexibility and very low force distribution to the transducers to displace and generate the electrical output.
These conventional base layer materials generally have uniform properties in all directions and lack the flexibility and intricate architecture to manipulate waves. Their mechanical deformation is a function of the bulk material properties. 3D printing allows us to produce meta-materials, which have complex internal structures that dictate their mechanical properties. By varying infill strategy and infill density, the mechanical properties of the bulk material can be altered. Rebenaque and González-Requena19 in 2019 reported how infill density affects flexural resistance, where higher densities resulted in greater stiffness. Thus, by altering these infill parameters through 3D printing, it is possible to control the substrate stiffness for optimum piezoelectric voltage generation.
Considering the above-mentioned research gaps, there is a necessity to explore the base layers options for PHF which offers the balance between rigidity, structural integrity, and flexibility. By optimizing the displacement of piezoelectric energy harvesters, these alternative structures could generate higher voltages than conventional homogeneous base layers, offering a more cost-effective and simplified approach to energy harvesting infrastructure.
This paper offers a thorough examination of a variety of base layers that could be used for PHFs. Based on the flexibility and stress distribution characteristics of our chosen homogenous bulk base layers: PE foam, polycarbonate sheets and acrylic sheets, as well as 3D printed materials like thermoplastic polyurethane (TPU) with non-homogenous printed structures and infill %, the performance of these tiles is assessed. Thorough analysis and comparison of the different variables allows us to determine the optimal base layer design for a piezoelectric harvesting floor. Our future can be more ecological and energy-efficient if we continue to explore and innovate in energy harvesting devices and infrastructures in this manner. Crucially, our methodology highlights the variability of the mechanical inputs from pedestrian foot traffic, allowing us to define an electrical output spectrum for each base-layer material over many periodic measurements.
Results and discussion
Overall, this study shows that there is a clear relationship between waveform characteristics such as open circuit voltages and the base layer flexibility, as demonstrated via the voltage outputs below. Firstly, the more flexible base layers—PETG, PE foam, and the meta-materials (3D printed structures)—showed more distinct waveforms with larger peak-to-peak voltages (V pk-pk), larger amplitudes (Vo) and greater root mean square voltages (V rms). Greater PZT displacement during mechanical loading is made possible by flexible base layers, and this increases the strain that the piezoelectric material experiences, which increases voltage generation. On the other hand, the homogenous base layers- polycarbonate and acrylic sheets- showed a less noticeable waveform with a lower voltage from peak to peak. The PC sheet permitted some PZT movement, resulting in a waveform with an intermediate voltage amplitude. The 3D printed Thermoplastic Polyurethane (TPU) structures showed promising results and verifies the applicability of flexible 3D printed materials for energy harvesting architectures. The breakdown of the analysis is now discussed.
Voltage measurements from homogeneous base layers
Single PZT measurements
Polycarbonate sheet
For a single PZT component, the PC sheet—which is known for its rigidity and durability—produced an average voltage output of 3.4 V ± 0.5 V (Vo) under typical walking conditions. Because the material is stiff, there is only a limited amount of mechanical displacement that can be experienced by the piezoelectric sensor. The PZTs have pressure sensitive attributes, and for the piezoelectric harvesting floor, the spikes can vary (keeping body weight constant). Considering this, the open circuit voltages were tested using an oscilloscope over 35 trials using a body weight of 62 kg on each base layer. This methodology facilitates a more comprehensive examination of the PZT’s efficacy, considering the inherent oscillations in its voltage output during multiple trials and which allows us to take statistical averages over a wide range of voltage fluctuations on every base layer. The PC sheet voltage metrics are shown in Table 1 for a walking stimulus, which simulated a representative human gait and step frequency.
Acrylic sheet
Testing using an acrylic sheet as the foundation layer showed that it performed similarly to a polycarbonate sheet. A single PZT element produced an average of 2.8 ± 0.7 V (Vo) under normal walking stimulus over 35 trials. Table 1 shows the various impact tests on the single PZT and the resulting voltage metrics. Compared to the PC, the acrylic sheet produced a lower average voltage suggesting a direct relationship between the elastic properties and the output voltages. This relationship will be further explored in later sections.
PE foam & PETG
The PE Foam and PETG base layers, known for their higher flexibility compared to PC and acrylic, yielded the highest voltage outputs from the homogeneous materials for the different stimuli. The single PZT on PE Foam produced an average voltage of 4.1 ± 1 V, while PETG yielded considerable voltage of 4.2 ± 0.9 V (average open circuit) under walking stimulus over 35 trials. The PETG sheet demonstrated notably higher voltage outputs as compared to PC and Acrylic sheet. Although the foam’s compressibility allowed for good displacement under walking forces, its low stiffness limits the direct strain transfer to the PZT elements. The single PZT voltage metrics are shown in Table 1. The PETG and foam negative peaks were the highest observed, which are critical in the later stages of PHF construction (optimizing circuit design and storage strategies).
Voltage measurements for three PZTs in a series combination
The final set of experiments for the homogenous base layers consisted of testing 3 PZTs in a series combination to observe the voltage metrics. An oscilloscope was connected to record the voltage profiles for all base layers including peak-to-peak voltage (V pk-pk), root mean square voltage (Vrms), and voltage (Vo). Under consistent testing conditions, the PETG outperformed all the homogeneous base layers, generating a massive average of 10.5 ± 2 V (Vo) with the highest peak to peak voltages of 50 V shown in Fig. 1a. PE foam harvested an average voltage of 8.6 ± 1.7 V (Vo) as shown in Fig. 1b, which is the second highest response across the homogenous base layers despite having very low structural integrity.
Waveform showing the open circuit voltages for three PZTs connected in a series combination mounted on a PETG and b PE Foam.
The negative peaks reached over 25 V while testing the PZTs on both layers (PETG and PE Foam) as shown in the above figure, boosting the root mean square voltages. A similar trend was observed when testing a single PZT on these base layers- overall peak to peak voltages were highest for the acrylic and polycarbonate sheet. These negative spikes provide information to optimize the circuits and capture energy from both positive and negative peaks.
On the other hand, while testing the 3 PZT combination on acrylic and polycarbonate layers, reduced voltage outputs were obtained. The acrylic sheet produced an average of 6.3 ± 1.3 V (Vo) as shown in Fig. 2a, across numerous trials, with lower peak to peak and Vrms voltages compared to the other homogenous base layers. The acrylic base layer produced the lowest voltage metrics of all whilst also having the highest Young’s Modulus. Similarly, the polycarbonate sheet produced a reliable open-circuit voltage of 7.5 V (Vo) across repeated trials as shown in Fig. 2b. The peak-to-peak voltages are moderate compared to PETG and PE foam but greater than that harvested on the acrylic substrate.
Waveform showing the open circuit voltages for a three PZT Series Combination mounted on a acrylic sheet and b polycarbonate sheet.
The patterns of voltage generation observed over repeated mechanical input are linked with the mechanical properties of the underlying materials, especially their Young’s modulus values. The PETG sheet’s reliably exceptional performance (10.5 ± 2 V) indicates that its mechanical stiffness and flexibility traits could facilitate optimal stress transfer to the PZT elements under dynamic loading conditions. Interestingly, the PE foam, although it has a considerably lower structural integrity than the rigid polymer sheets, exhibited relatively high voltage generation (8.5 ± 20% V), indicating that elements beyond material stiffness, like impact absorption and force distribution properties, are essential for energy harvesting efficiency. The reduced voltage output noted with the acrylic sheet (6.3 ± 1.3 V) in contrast to polycarbonate (7.5 ± 1.6 V) across various trials offers strong support for the connection between base material characteristics and piezoelectric energy conversion effectiveness.
The fundamental mechanism underlying enhanced piezoelectric output in PZT systems with low Young’s modulus substrates can be attributed to optimal strain transfer and mechanical impedance matching. When a PZT element is mounted on a compliant substrate, the substrate’s inherent ability to undergo larger deformation under applied forces creates an effective mechanical amplification system. This amplification occurs because the substrate, having a lower Young’s modulus (typically 0.01–0.03 GPa compared to PZT’s 50–100 GPa), experiences significant displacement under mechanical loading, thereby maximizing the strain transfer to the piezoelectric element. The enhanced strain transfer directly correlates with increased charge separation within the PZT structure, leading to higher voltage generation.
The efficiency of piezoelectric energy harvesting in such systems is further enhanced through multiple complementary mechanisms. First, the compliant substrate serves as an impedance matching layer, reducing mechanical energy reflection at interfaces and optimizing energy transfer to the PZT element. Second, the substrate’s deformability promotes beneficial bending and flexural modes, where the PZT experiences simultaneous compression and tension across its structure, amplifying charge generation compared to simple uniaxial compression. Additionally, while maximizing strain transfer, the compliant substrate also acts as a protective mechanism, absorbing excessive mechanical stress and preventing potential damage to the PZT element. This combination of enhanced strain transfer, optimized impedance matching, and protective characteristics makes low Young’s modulus substrates particularly advantageous for piezoelectric energy harvesting applications, especially under low-frequency excitation conditions typical in ambient energy harvesting scenarios.
Voltage analysis from heterogeneous base layers (3D-printed-structures)
Measurements using a single PZT
The first set of testing on the 3D-printed structures corresponded to the different infill % for the gyroid structure i.e. the voltage metrics for a single PZT for the various infill % (10, 20 and 30) using an oscilloscope and keeping all the parameters constant as in the homogenous layer experimental setups. After conducting 35 trials using the normalised walking frequency, the average open circuit voltage was found to be 5 ± 0.9 V, 6.5 ± 1.6 V, and 7 ± 1.1 V, respectively, across the different infill % 30, 20 and 10. From the voltage readings in Table 2, the highest peak to peak voltage was observed to be 16.8 V and 1150 mV was the highest root mean square voltage (RMS) recorded. Both the highest RMS and peak to peak voltage was harvested from the 10% infill. Observing the voltage metrics across the different infill % clearly shows an upward trend (inversely proportional to the infill %). The RMS voltage significantly increases when using the lowest infill %, as does the peak-to-peak voltage.
Following this, the open circuit voltage profile of the honeycomb structure using a single PZT was obtained for different TPU infill % (30, 20, and 10) while keeping all the experimental parameters as stated previously. We conducted numerous trials (Table 3) under walking frequency and the average open circuit voltages obtained were 6.1 ± 1.2 V, 6.5 ± 1.4 V, and 7.5 ± 1.9 V for 30, 20 and 10 infill %, respectively. Thus, the honeycomb structure surpasses the gyroid structure, with the higher voltage outputs indicating improved performance efficiency. The infill % and open circuit voltage demonstrates the same relationship as observed previously. The highest rms voltages were recorded on the lowest infill % substrates indicating that PZTs benefit from the increased deformation and can generate larger average voltage values. Table 3 shows representative trials of the 3 different infill % of the honeycomb structure.
In the final set of single PZT experiments, the rectilinear 3D printed structure called was put to the test across the three different infill %. The term rectilinear describes the structure of the printed piece, with straight and perpendicular lines. The experimental setup remains the same and walking stimulus was used to harvest voltage from the rectilinear structure. A single PZT disc yielded an average open circuit voltage of 4.5 ± 0.9 V, 6.4 ± 1.4 V and 7.2 ± 1.4 V across its different infill % of 30, 20 and 10, respectively. This again confirms the inverse proportionality between open circuit voltages and the infill %. The highest open circuit voltage was found to be 7.2 ± 1.4 V for the 10 % infill rectilinear base layer across numerous trials which is the second highest among the meta-materials studied in this research. The voltage metrics from representative trials of the rectilinear structure are shown in Table 4.
Voltage measurements for three PZTs in a series combination
In the final set of experiments for meta-materials (gyroid, honeycomb, and rectilinear), we connected three PZTs in series on each structure type across the different infill %. The goal was to examine the hypothesis that the relationship between voltages and the infill % remained the same for piezoelectric arrays. The other experimental parameters remained the same. Figure 3 shows the outputs of 15 trials across all the meta-materials.
Output voltages (Open circuit voltages (Vo) for three PZT discs connected in series on different structures with infill %; a gyroid Structure – 15 trials of each infill % 10, 20 and 30, respectively; b honeycomb Structure – 15 trials of each infill % 10, 20 and 30, respectively; and c rectilinear Structure – 15 trials of each infill % 10, 20 and 30, respectively.
The robustness of the voltage metrics has been enhanced by taking more trials in a controlled environment over 35 trials for each meta-material. The larger number of trials have facilitated clear trends and an accurate standard deviation. Figure 3 shows the outputs for 15 trials while the full datasets for all measurements in this work can be found in Supplementary Tables 1–13.
The highest average voltage was recorded on the 10% honeycomb structure which was 12.5 ± 2.6 V with the second highest being the rectilinear 10% at 11.3 V and the lowest open circuit average voltage among all the 10% infill base layers was recorded on the gyroid structure of 9.8 ± 1.9 V.
The honeycomb structure was the standout performer- all the infill% of honeycomb produced higher voltages compared to that of the other metamaterials. The Vo for honeycomb 10% varies from 7.8 V to 17.4 V, across all trials and recorded the largest peaks while 20% and 30% also generated higher voltages than the gyroid and rectilinear 20% and 30% infills. The previous pattern is consistent across the average voltages of different infill% i.e. as the infill% decreases the voltages increases.
Looking at the gyroid performance in Fig. 3a, (infill 10–30%), the voltages show the same trend as in the honeycomb. The gyroid structure with highest infill % shows a lower range of voltages (5.7–10.6 V) while the lowest infill% showed the highest voltage variation and highest average voltages (Vo). On the other hand, the rectilinear showed noticeable fluctuations across all the infill%, 10% infill generating consistently higher output voltages than the others. However, the highest voltages were generated by the honeycomb, with rectilinear being the second best; showing significant improvements in voltages suggesting a good force distribution capability as compared to the gyroid.
The high performance of the meta materials can be attributed to the unique flexibility and the design parameters, maximizing the mechanical displacement experienced by the PZT and leading to the highest voltage generation. The physical properties allow for optimal strain transfer to the PZT elements, maximizing the piezoelectric effect. This aligns with the concept that flexible materials allow for greater displacement during walking, which translates to higher voltage generation in the PZT element.
The infill % plays a crucial role in maximizing the voltage output while keeping the thickness of the base layer constant. The lower infill% yielded the highest output voltages and provided the great balance between structural integrity and the flexibility. Meta-materials usually introduce a heterogeneity in overall structure which leads to altering the mechanical properties of the materials. By changing the infill % and the infill patterns we can vary the internal structure of the meta-materials which can lead to optimizing the PHF for real-world applications.
Voltage output under jogging frequency
The study of the voltage output under normal walking conditions across all base layers showed that the materials followed a trend depending upon their flexibility and structural integrity. The voltage output values increased significantly for all base layer materials as the frequencies changed from walking (1.0–2.0 Hz) to jogging (2.5–3.5 Hz). This pattern can be linked to jogging’s larger impact pressures and faster repetition rate, which cause the PZT elements to experience more mechanical stress and deformation.
The PETG and the meta-materials with different structures and infill % outperformed all the conventional base layers (PC, Acrylic sheet and foam) under higher frequencies. These materials’ improved flexibility and amplified pressure transmission capabilities enable the PZT discs to convert the energy more efficiently. Figure 4 shows the comparison of the energy generated while using the normal stepping frequency and jogging frequency. It is evident that increasing the stepping frequency causes the PZTs to experience more frequent forces, thus resulting in the higher voltage recorded. The higher stepping frequencies showed the similar pattern of higher voltage outputs as the substrate is changed from homogenous base layers to meta-materials.
Energy generated by an array of three PZTs in series combination using homogenous and meta-materials as base layers under different stepping frequencies.
Characterising the energy harvesting capabilities of meta-materials through compression testing
Compression testing was carried out using a Tinius Olsen Ultimate Testing Machine equipped with a 1 kN load cell. Samples were individually tested with a compression rate of 0.5 mm per minute, until a maximum compression extension of 2 mm was reached. The average stress-strain curves and their respective standard deviations are plotted in Fig. 5, while the bulk compressive modulus, calculated according to ISO 604, is presented in Table 5 for each infill type. At 10% infill, the honeycomb structure proves to be considerably stiffer than the gyroid and rectilinear structure. This trend continued for the 20% and 30% infill, while rectilinear infill proved to be stronger than gyroid. The highest bulk modulus calculated was for the 30% honeycomb infill, with a modulus of 12.84 MPa – which is 0.5 MPa below the manufacturer’s recorded modulus for 100% infill in the x-y direction.
The average compression stress-strain curves and standard deviations for a 10% infill TPU, b 20% infill TPU and c 30% infill TPU.
The above results show a correlation between the open circuited voltages tested across all layers and the elastic stiffness (Supplementary Note 1, Supplementary Fig. 1). As the homogeneous base layers with the highest Young's Modulus produced the lower voltages as anticipated and similar trend has been followed by the different meta-material as well. The experimental observation has been cross validated by characterization of the 3D printed substrates as shown in the above table. The lower stiffness materials when used as substrates yielded more energy, as they allow greater deformation under applied pressure leading to higher outputs.
Interestingly, the honeycomb structure performed better than both rectilinear and gyroid structures even though it had a greater effective Young’s Modulus. This seems to go against the general trend at first, but it can be explained by thorough mechanical analysis. Because of their biomimetic construction, which has developed naturally to offer the best possible balance between mechanical strength and weight, honeycomb structures function very well. In addition to maintaining structural integrity, the double-walled cell borders produce a mechanically beneficial stress distribution network that permits controlled, non-linear deformation patterns. Without sacrificing structural endurance during repeated loading cycles, this arrangement produces localized strain concentration zones that optimize mechanical energy transfer to the PZT elements.
Overall, all the meta materials printed outperformed the conventional base layers, showing superior structural properties and opened new avenues for the future research. The 3D printed materials give us the flexibility to design the PHF tile structures in a unique way, mitigate the needs of complex structures, and provides a cost-effective solution as well.
Charging characteristics of the capacitor using different base layers
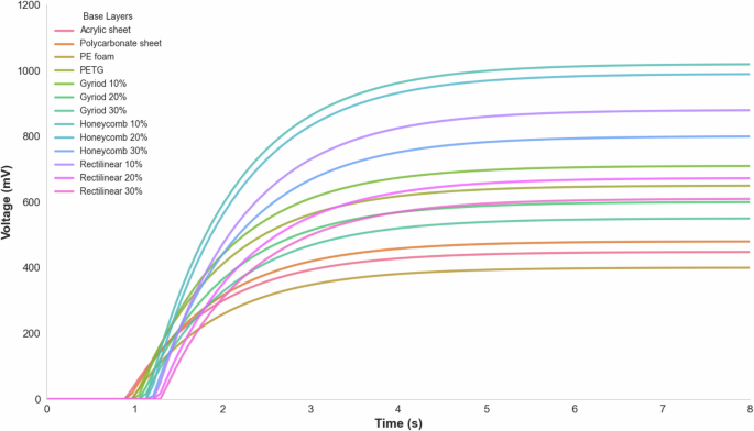
This work studied and analysed the voltage generation performance of PZT discs mounted on the different base layers (homogenous and meta-materials) under walking and jogging stimuli. As the results showed, the 3D printed structures repeatedly outperformed the conventional base layers and showed superior energy generation capabilities when used as base layers for piezoelectric harvesting floors. Following this, we explored the charging patterns for all the base layers using 2 PZTs glued to each layer and connected to 100uF capacitor. The walking stimulus was applied for 8 s in total and charging patterns were obtained using an oscilloscope across all trials. The highest performing structure (honeycomb) with its three infill% generated the highest curves (showing greater energy harnessing potential) followed by the gyroid and rectilinear as shown below. Figure 6 shows the charging pattern of 100uF capacitors connected to the coupled PZTs on all base layers.
The charging pattern of 100uF capacitor across all the homogenous and meta-materials used as base layers.
The homogeneous materials stored small amounts of energy in the given time. Notably, these conventional base layers demonstrated lower peaks as compared to the meta-materials, with PETG having the highest maximum (655 mV) among the homogenous materials, having also demonstrated improved energy harvesting performance. The below table shows the energy accumulated by two PZTs on each substrate using the 100uF capacitor for a window of eight seconds.
The stored energy for each base layer is shown in Table 6. As you can see from the table above, when 100uF capacitor was tested using PZTs across different base layers, the meta-materials remained the top performers. The trend is showing clear corelations with the young modulus values of the base layers as anticipated. The homogenous base layers stored small amount of energy over a period (8 s) with 10.04, 11.52, 7.78 and 21.28 μJ, respectively for acrylic, PC, PE foam and PETG. The honeycomb shows the superior characteristics as compared to other 3D printed materials storing good amount of energy (52.22 μJ) while rectilinear and gyroid showed the similar potential for the energy harvesting applications and stored nearly same energies.
The behaviour of the capacitor can be attributed to the fundamental relationship between charge, capacitance, and voltage (Q = CV). For a given amount of charge generated by the piezoelectric disc, smaller capacitors will exhibit a higher voltage. However, it’s important to note that while smaller capacitors reach higher voltages, they store less total energy due to their lower capacitance.
These findings will aid in the design of piezoelectric energy harvesting systems, an application that requires balancing parameters such as voltage levels, energy storage capacity, and the temporal features of the energy input to determine the size of the capacitor. Smaller capacitors will be more suited for applications that need higher voltages or faster response times. On the other hand, larger capacitors might be more appropriate for systems with constant energy input over time or for optimizing total energy storage.
Methods
Material properties of the PZTs
Lead zirconate titanate (PZT) is known for its exceptional piezoelectric properties20, and is widely used as both a sensor and actuator. PZT is a ceramic with an inorganic perovskite structure. Its high d33 response and dielectric constant make it standout piezoelectric material that is used in almost every electronics industry from medical devices to energy harvesting21. The significant response to mechanical changes ensures that even small movements create a substantial electrical response, showing this material’s efficiency in energy generation. It has been widely tested to harness energy from pedestrian movement effectively and research is ongoing to improve the material properties by using advanced additive manufacturing techniques10. The technical specifications of the PZT discs used in this research, purchased from RS Ireland, are listed in Table 7.
Consideration for the PHF design
Numerous studies have examined the effects of pedestrian walking characteristics (force of their footsteps) on PZT energy harvesting tiles. These attributes will be referred to as pedestrian parameters. Joo et al., for instance22 examined how PZT piezoelectric ceramics, which are incorporated into shoe insoles, can capture kinetic energy from human footsteps. In their investigation, they employed three pedestrian characteristics—body weight, gender, and walking speed—that affected the power produced by the ceramic. They concluded that higher electrical energy was produced by heavier bodies and quicker walking speeds.
In their investigation of the impact of footstep force and velocity on a piezoelectric disc’s output voltage, Kadhim et al.23 used a hydraulic pressing machine to simulate the force of a footstep and found that the output voltage was directly proportional to footstep force and velocity. Using a force sensor, Swain et al.24 assessed how three pedestrian parameters—walking speed, running speed, and incline walking—affect the impact force of their footsteps and found that the results followed the same pattern as those in ref. 24. The impact of human walking and running gait patterns on a magnetic levitation energy harvester’s output power was examined by Berdy et al.25, who found that quicker walking and running patterns resulted in higher output power.
We learned from research by Song et al.26 that the average walking speed was between 0.8 and 1.8 ms−1, and that the frequency of human footsteps was less than 2.0 Hz. Mohamad Ali et al.27 used computer software to analyse recorded video clips to investigate pedestrian walking speeds at shopping malls. Ishaque et al.28 talked about pedestrians’ preferred walking speeds and how they cross the street. Walking speed, the link between walking speed and flow density, pedestrian compliance with traffic signals, and pedestrian acceptance of a minimal spacing between them when crossing a road were all incorporated in their pedestrian model.
From the above literature it is evident that the output power is directly proportional to the body mass of the pedestrian stepping on the tiles and the stepping frequency (walking, jogging and running). In this research we have chosen the following parameters: the body weight of the pedestrian which is kept constants for all the experimental analysis (62 kg) and a pedestrian walking speed and jogging speed.
Walking: Humans typically walk at frequencies between 1.0 and 2.0 Hz. Tiles were exposed to regular, rhythmic pressure inputs throughout the walking tests, simulating the gait of a typical person weighing 62 kg. This helps to understand the performance of the tiles in typical pedestrian traffic scenarios, which is essential for urban deployment.
Jogging: Jogging raises the footfall frequency, which is typically between 2.5 and 3.5 Hz. Jogging causes a distinct stress pattern on the PZT tiles because of the increased impact forces and quicker repetition rate. Testing the tiles while jogging enables an assessment of how well they function under stronger and more frequent mechanical stimuli, which may be typical in some urban settings with heavy traffic or recreational areas.
An underlying hypothesis of this research is that the PHF’s open circuit output voltages would change in proportion to the impact force (human steps) due to the dynamic nature of the PZTs. This conclusion is drawn over the 30 voltage trials on PZTs across all the base layers keeping other parameters constant. This study’s primary goal was to determine whether and to what extent conventional (homogenous) base layers and 3D printed customizable base layers effects the voltage/output power generation while keeping the stepping force (human body of 62 kg) constant for the experiments performed in this manuscript. The goal was to give prospective users a trustworthy description of the non-uniform energy produced by the PHF using 3D printed substrates over the conventional ones.
Design of the energy harvesting tile using homogenous base layers
Polycarbonate sheet
The initial design comprised of a polycarbonate sheet with dimensions of 343 × 178 × 4 mm. This sheet served as a rigid base for the PZT discs; durability and impact resistance were the main consideration when using this material as base layer. The sheet offers negligible flexibility with a high stiffness value (Flexural modulus of 375,000 psi) and is a durable choice for PHFs used in extreme conditions. It can sustain severe loads without breaking due to its material composition29.
The rigidity of the polycarbonate provided a stable base in this work when tested for pedestrian power generation, but we hypothesized that its lack of flexibility might limit the displacement and, consequently, the power output of the PZT discs and the tile.
Acrylic sheet
Acrylic sheets, namely polymethyl methacrylate (PMMA), were chosen for their desirable material properties that make them ideal for many engineering applications30. It is a versatile and transparent plastic material and is lightweight and durable31.
One of the significant advantages of acrylic over other materials, such as glass or certain metals, is its lightweight nature. Acrylic sheets have a density of ~1.18 g/cm³, making them much lighter than glass (2.5 g/cm³) or metal alternatives (2.7 g/cm³ of Al). This reduced weight is beneficial for portable energy harvesting devices and installations where minimizing weight is critical for ease of installation and maintenance. Here, a sheet with dimensions of 203 × 178 × 4 mm was used as an alternative foundation layer for the PZT discs.
Polyethylene foam (PE foam)
Another homogenous base layer tested was polyethylene (PE) foam, known for its excellent cushioning properties, light weight and durability32. It is also resistant to moisture, which would result in piezoelectric tiles that can be integrated to harsh environments. The PE foam can be compared to spring-enhanced energy harvesting structures; they both offer similar flexibility, and researchers have demonstrated the efficacy of unique structures using springs to amplify the force and provide space for the piezoelectric materials to displace, so they can generate more output12,13,15,17. The compressive behaviour of foam ensures even stress distribution and more flexibility than spring-loaded bases with a significant damping factor.
The PE foam used in this research was of 203 × 203 × 4 mm dimensions. This substrate allowed the maximum displacement to the PZT discs, and this layer can be sandwiched with acrylic sheet or the PC sheets to making a durable setup. They both can be used for protecting the PZT discs while providing enough rigidity to the base and avoid any wear and tear in harsh environments.
Polyethylene terephthalate glycol (PETG)
Polyethylene Terephthalate Glycol (PETG) is another foundation layer tested in this work for the PZT energy harvesting system- a thermoplastic polyester known for its strength, flexibility, and chemical resistance33. For this application, a PETG sheet with dimensions of 216 × 216 × 4 mm was chosen since it provided a small but sturdy base for the piezoelectric components.
PETG has a preferrable molecular structure to regular PET, that contains a modified ethylene glycol group, which makes PETG more tough and flexible. It is suitable for operation in every climate because of its ability to maintain structural integrity over a wide range of temperatures33.
When stress is applied, the material’s inherent flexibility—which is shown by a flexural modulus that usually ranges from 2100 to 2400 MPa—allows for the best possible strain transfer to the PZT discs. This characteristic should result in effective energy conversion and durability during repeated loading cycles when paired with PETG’s high impact strength.
Design of non-homogenous 3D printed materials
Thermoplastic polyurethane (TPU)
Thermoplastic Polyurethane, or TPU is a hyper-elastic polymer which is readily 3D printable using fused deposition modelling 3D printing technology34. This material offers excellent flexibility, while controlling the infill properties can yield excellent control of the bulk material’s flexural rigidity34. This should allow the PZT discs to move to their maximum displacement when stress is applied, which can improve energy conversion efficiency.
TPU sample design
To investigate the effect of infill pattern and infill percentage on PZT performance, an experiment was conducted which varied the infill patterns and percentages of 3D printed substrates. Three infill patterns and three infill density percentage were selected, resulting in nine combinations as highlighted in Table 8. Initially substrate characterisation was performed on cylindrical coupons 15 mm in diameter and 4 mm thick, which was followed by PZT characterisation on substrates of dimensions 80 × 80 × 4 mm. 3D models of the characterisation coupons and bulk substrate were designed on SolidWorks V2023, prior to being sliced using a Prusa Slicer V2.7.4, where the infill patterns and densities were controlled. The TPU used in this study was Raise3D Premium White TPU with a shore hardness of 95 A, while all specimens were printed on a stock Prusa Mini+ FDM 3D Printer with a 0.4 mm nozzle diameter.
For the substrate characterisation compression tests, four identical coupons were 3D printed for the 10% infill specimens, while three identical coupons were printed for each of the 20% and 30% infills, resulting in 30 compression test coupons. For the bulk substrate samples, one for each sample type were 3D printed, resulting in nine specimens. All specimens used in this study were 3D printed with a 0.2 mm layer height and consisted of four fully solid rectilinear layers deposited in a 0°/90° repeated order. The substrate characterisation specimens were 3D printed without external shells walls, while a three-shell design was used for external walls of the bulk substrate samples used for PZT evaluation.
A schematic of the bulk substrate sample design is shown in Fig. 7 from Prusa Slicer 2.7.4, and Fig. 8 shows the various 3D printed images of the bulk substrates used in this research that includes 10% and 20% infill of all structures (gyroid, honeycomb and rectilinear). The nozzle temperature was set to 235 °C, while the bed temperature was set to 50 °C.
Images from Prusa Slicer 2.7.4 illustrating TPU infill for a 10% gyroid, b 10% honeycomb, c 10% rectilinear and d 30% rectilinear.
Image of a 10% gyroid substrate and b 20% gyroid substrate. c 10% honeycomb substrate, d 20% honeycomb substrate, e 10% rectilinear substrate and f 20% rectilinear substrate.
With its highly controlled internal structure, this use of 3D-printed TPU as a foundation layer offers a new class of piezoelectric energy harvesting infrastructures and may provide better performance than conventional rigid or semi-rigid base materials. Table 9 provides the standard material parameters for the homogenous and meta-materials used in this research as a base layer.
Figure 8 shows some of the heterogenous (3D printed) base layers used in this work. Figure 8a, b shows gyroid structures with 10% and 20% infill, respectively. The gyroid shape mimics the periodic wave-like pattern without sharp edges. It offers the required balance of the structural integrity and flexibility. Both infill% structures have the same dimensions but the sample with 20% infill appears denser with reduced void spaces. This is also true for the rectilinear and honeycomb structures.
The honeycomb structures have a regular hexagonal pattern. Figure 8c, d shows the 10% and 20% honeycomb samples. Under heavy mechanical loading, the honeycomb structure can easily maintain it shape and provides more mechanical resistance than other structures as every hexagonal block is double guarded by the nearest hexagonal block walls, as also shown in the Fig. 7b.
Tile assembly
For all base layers, we started with a single PZT bonded with epoxy onto the substrate. A thin layer of epoxy was used, with the goal of reducing vibrational/mechanical damping. Uneven bonding can introduce damping into the system. After securely bonding the individual PZT onto every base layer, an oscilloscope was connected to measure output voltages. This procedure was repeated for all the four (4) homogenous and nine (9) 3D printed base layers.
In the second set of experiments, 3 PZTs were glued to the base layers as shown in the Fig. 9 (homogenous substrates) and Fig. 10 (3D printed pieces) in the same manner as before. The 3 PZTs were attached linearly so they experience the same footstep pressure (strain) by the pedestrian while walking and jogging.
Images showing a 3 PZT discs bonded to the Polycarbonate Sheet connected in series, b the 3 PZT discs attached to the Acrylic Sheet connected in series, c the 3 PZT discs attached to the PE Foam connected in series, d the 3 PZT discs attached to the PETG connected in series.
Image showing a 3 PZTs attached in series combination on to the gyroid structure (30% infill) and b 3 PZTs attached in a series combination on to the rectilinear structure (30 infill%).
Likewise, 3 PZTs were glued to all nine-3D printed base layers i.e. 10%, 20% and 30% infill of gyroid, honeycomb and rectilinear structures. Figure 4 shows the 3 PZTs connected in a series combination and glued to the 30% gyroid structure and 30% Rectilinear structure for representative purposes.
Electrical connections of PZT Arrays
All three transducers (PZTs) were connected in series, with the positive terminal of one PZT attached to the negative terminal of the next. The same wiring connection was repeated for all the base layers (homogenous & heterogeneous) to optimize the voltage outputs, as in series combination the total voltage is the sum of the voltages from each individual source. After making the electrical connections, the PZT series was attached to the oscilloscope for electrical testing. The experimental setup used for all the homogenous base layers is shown in below Fig. 11.
Experimental Setup for the Homogenous base layers (a) shows the spot for the PZTs and (b) show the markings for the footsteps.
Figure 12 shows the experimental setup used for the 3D printed base layers. All the heterogeneous layers were tested in a similar way and placed in the middle withing the small blue box. While the area for the footstep is also marked to have consistency across all the trials. The PZTs were connected in the series combination across all the trials and then connected to the oscilloscope for the voltage testing.
Experimental Setup for the Heterogenous (3D Printed structures) base layers (a) shows the spot for the PZTs and (b) show the markings for the footsteps.
Electrical circuit design
To analyse the performance of various base layers for our PZT energy harvesting tile, a simple electrical circuit design was used. The conversion of the PZT discs’ AC (alternating current) output into a useable DC (direct current) format is utilized for any low-voltage portable electronics. A bridge rectifier circuit serves as the foundation of the circuit. This readily available rectifier converts the AC voltage produced by the PZT discs into DC voltage, which is necessary for powering a variety of electronic devices. Capacitors are added for energy storage after rectification. In this research we used low value capacitors to smoothen the waveform and store more charge. The most suitable capacitors (tantalum and ceramic) struck a balance between quick charging and steady DC output voltage maintenance.
Conclusions
The research was conducted to determine the compatibility of different base layers for PHFs to mitigate the need for complex force amplification structures. This study demonstrates how crucial base layer material choice is for maximising the efficiency of piezoelectric energy harvesting systems. The differences in voltage output that are seen between the evaluated materials—from flexible TPU structures to stiff acrylic sheets—highlight the significance of mechanical attributes like elasticity, stiffness, and strain transfer efficiency in maximizing energy conversion. Notably, the ability of additive manufacturing techniques to modify base layer properties for improved piezoelectric energy harvesting is shown by the greater performance of different structures of 3D-printed TPU which can yield average voltages of up to 7.5 ± 1.9 V for a single piezoelectric sensor under simulated pedestrian foot traffic. These open circuit voltages were amplified from 2.8 V to 7.5 V by changing the base layer from the rigid acrylic sheet, which offered zero flexibility and low strain transfer efficiency to the different 3D printed structures.
The findings show a distinct trend: materials like PETG, and TPU-structures with different geometries and infill % (thickness remained constant), which have a suitable ratio of flexibility to structural integrity, perform noticeably better in voltage generation than more rigid alternatives. Their enhanced capacity to transmit mechanical strain to the PZT elements under typical walking conditions is the mechanism for this behaviour. Furthermore, new avenues for material design and optimization in energy harvesting infrastructures are opened by the high voltage outputs of the 3D printed structures. In all cases, as the infill% of printed structures went up, the harvested energy decreased for the same base layer dimensions. This study also cross-validated the results whereby the number of sensors on each base layer was increased to observe the output voltage trends going from a single PZT to a 3-PZT array, giving systematic analysis on the voltage output spectrum for the conventional (homogenous) and 3D printed base layers (heterogeneous) and their strain distribution capabilities.
The relationship between the energy accumulated using a 100uF capacitor and the base layer material highlighted the favourable performance metrics of meta-materials. The PZT elements on meta-materials performed consistently because of the flexibility and durability provided by the different 3D-printed structures. The scalability of 3D printing with TPU and similar materials can be explored in future research, as well as customized base layers for large scale energy harvesting using sustainable piezoelectric materials.
Data availability
All data presented in this study, along with the necessary resources to reproduce the findings, are included in the main text and supplementary information.
References
Report. https://www.linkedin.com/pulse/consumer-electronics-market-size-trends-exploring-projected-wvxzf/; https://www.linkedin.com/pulse/consumer-electronics-market-size-trends-exploring-projected-wvxzf/ (2024).
Zaslavsky, A., Perera, C. & Georgakopoulos, D. Sensing as a service and big data. Preprint at https://arxiv.org/abs/1301.0159 (2013).
Ge, M., Bangui, H. & Buhnova, B. Big data for internet of things: a survey. Fut. Gener. Comput. Syst. 87, 601–614 (2018).
Kopetz, H. & Steiner, W. Internet of things. In Real-time systems: design principles for distributed embedded applications, 325–341 (Springer, 2022).
Choi, Y.-M., Lee, M. G. & Jeon, Y. Wearable biomechanical energy harvesting technologies. Energies 10, 1483 (2017).
Shi, H., Liu, Z. & Mei, X. Overview of human walking induced energy harvesting technologies and its possibility for walking robotics. Energies 13, 86 (2019).
Kumar, D. & Chaturvedi, P. Piezoelectric energy harvesting from vibration induced deformation of floor tiles. In Sixth National Power Electronics Conference (NPEC, 2013).
Mariotti, C., Orecchini, G., Virili, M., Alimenti, F. & Roselli, L. Wireless localization in buildings by smart tiles. In 2012 IEEE Workshop on Environmental Energy and Structural Monitoring Systems (EESMS), 7–11 (IEEE, 2012).
Kamal, P. N. M. & Buniyamin, N. Using piezoelectric elements as footsteps energy harvester: an investigation. In 2018 IEEE 8th International Conference on System Engineering and Technology (ICSET) 1–6 (IEEE, 2018).
Kim, K.-B. et al. Optimized composite piezoelectric energy harvesting floor tile for smart home energy management. Energy Convers. Manag. 171, 31–37 (2018).
Puscasu, O. et al. Powering lights with piezoelectric energy-harvesting floors. energy Technol. 6, 906–916 (2018).
Wang, H. & Guan, Z. Study of a piezoelectric energy harvesting floor structure with force amplification mechanism. Energies 12, 3516 (2019).
Evans, M., Tang, L., Tao, K. & Aw, K. Design and optimisation of an underfloor energy harvesting system. Sensors and actuators A: physical, 285, 613–622 2019.
Yingyong, P., Thainiramit, P., Jayasvasti, S., Thanach-Issarasak, N. & Isarakorn, D. Evaluation of harvesting energy from pedestrians using piezoelectric floor tile energy harvester. Sens. Actuators A Phys. 331, 113035 (2021).
Karmakar, D., Majumdar, K., Pal, M., Roy, P. K. & Machavarapu, S. Energy harvesting from pedestrian movement using piezoelectric material. Mater. Today. Proc. 57, 391–397 (2022).
Malki, Z. et al. Pedestrian crossing system for the mechanical energy harvesting using piezoelectric materials. In IOP conference series: materials science and engineering, 948, 012030 (IOP Publishing, 2020).
Kuang, Y., Daniels, A. & Zhu, M. A sandwiched piezoelectric transducer with flex end-caps for energy harvesting in large force environments. J. Phys. D Appl. Phys. 50, 345501 (2017).
Usaid, M. et al. Design of sustainable pedestrian power generator using Piezo electric sensors. Indian J. Sci. Technol. 13, 2956–2961 (2020).
Rebenaque, A. G. & González-Requena, I. Study of bending test of specimens obtained through FDM processes of additive manufacturing. Proc. Manuf. 41, 859–866 (2019).
Kimura, M., Ando, A. Maurya, D. & Priya, S. Lead zirconate titanate-based piezoceramics. In Advanced piezoelectric materials, 95–126 (Elsevier, 2017).
Bowen, C., Kim, H. A., Weaver, P. & Dunn, S. Piezoelectric and ferroelectric materials and structures for energy harvesting applications. Energy Environ. Sci. 7, 25–44 (2014).
Teh, J. A. & Dahari, Z. Investigation of human kinetic energy harvesting from human foot strike. J. Engineering Sci. 14, 1–14 2018.
Abdal-Kadhim, A. M., Leong, K. S. & Tee, L. K. Impact based piezoelectric energy harvesting: effect of single step’s force and velocity. J. Telecommun. Electron. Comput. Eng. (JTEC 8, 125–129 (2016).
Swain, D. P., Kelleran, K. J., Graves, M. S. & Morrison, S. Impact forces of walking and running at the same intensity. J. Strength Cond. Res. 30, 1042–1049 (2016).
Berdy, D., Valentino, D. & Peroulis, D. Kinetic energy harvesting from human walking and running using a magnetic levitation energy harvester. Sens. Actuators A Phys. 222, 262–271 (2015).
Song, S. & Geyer, H. Regulating speed and generating large speed transitions in a neuromuscular human walking model. In 2012 IEEE International Conference on Robotics and Automation, 511–516 (IEEE, 2012).
Ali, M. F. M., Abustan, M. S. & Talib, S. H. A. A case study of Malaysian pedestrian walking speed at shopping malls in Kuala Lumpur, Malaysia using human behaviour simulator (HBS). Int. J. Integrated Eng. 11, 1–2 (2019).
Ishaque, M. M. & Noland, R. B. Behavioural issues in pedestrian speed choice and street crossing behaviour: a review. Transp. Rev. 28, 61–85 (2008).
PC datasheet: https://laminatedplastics.com/polycarbonate.pdf.
Ali, U., Karim, K. J. B. A. & Buang, N. A. A review of the properties and applications of poly (methyl methacrylate)(PMMA). Polym. Rev. 55, 678–705 (2015).
Piedmont. Plastics. Fabrication Tips & Techniques https://www.piedmontplastics.com/resources/literatures/acrylic-sheetfabrication-guide?srsltid=AfmBOorinx2mM3628wgXvAZrxcUaCe_wTkbi3kukfzxuMvAtUo9LIc-4
PE foam. https://www.aikolon.fi/en/products/volume-plastics/pe-foam.
PETG. https://www.iemai3d.com/wp-content/uploads/2021/03/PETG_TDS_EN.pdf.
TPU. https://www.raise3d.com/products/raise3d-premium-tpu-95a-filament/ (2025).
PZT datasheet. https://ie.rs-online.com/web/p/piezo-buzzers/1710886?gb=s.
Acyrlic datasheet. https://xometry.eu/wp-content/uploads/2020/11/datasheet-acrylic_3.pdf.
Acknowledgements
S.G., and M.U.M. are funded by the European Union under ERC Starting Grant no. 101039636. S.G. would like to acknowledge funding from Science Foundation Ireland under grant number 21/PATH-S/9737. The authors acknowledge funding from the University of Limerick Citizen’s Assembly via UL Engage.
Author information
Authors and Affiliations
Contributions
M.U.M. designed and carried out the electrical measurements and lead the writing of the paper. E.H. designed and printed the substrates and measured the mechanical properties. S.G. supervised the work. All authors conceptualised the project, and contributed to the visualisation, writing, and analysis in the manuscript.
Corresponding author
Ethics declarations
Competing interests
The authors declare no competing interests.
Peer review
Peer review information
Communications Materials thanks the anonymous reviewers for their contribution to the peer review of this work. Primary Handling Editors: Jet-Sing Lee.
Additional information
Publisher’s note Springer Nature remains neutral with regard to jurisdictional claims in published maps and institutional affiliations.
Supplementary information
Rights and permissions
Open Access This article is licensed under a Creative Commons Attribution-NonCommercial-NoDerivatives 4.0 International License, which permits any non-commercial use, sharing, distribution and reproduction in any medium or format, as long as you give appropriate credit to the original author(s) and the source, provide a link to the Creative Commons licence, and indicate if you modified the licensed material. You do not have permission under this licence to share adapted material derived from this article or parts of it. The images or other third party material in this article are included in the article’s Creative Commons licence, unless indicated otherwise in a credit line to the material. If material is not included in the article’s Creative Commons licence and your intended use is not permitted by statutory regulation or exceeds the permitted use, you will need to obtain permission directly from the copyright holder. To view a copy of this licence, visit http://creativecommons.org/licenses/by-nc-nd/4.0/.
About this article
Cite this article
Memon, M.U., Hinchy, E.P. & Guerin, S. Maximizing the voltage output of piezoelectric arrays via base layer compatibility. Commun Mater 6, 134 (2025). https://doi.org/10.1038/s43246-025-00854-8
Received:
Accepted:
Published:
Version of record:
DOI: https://doi.org/10.1038/s43246-025-00854-8














