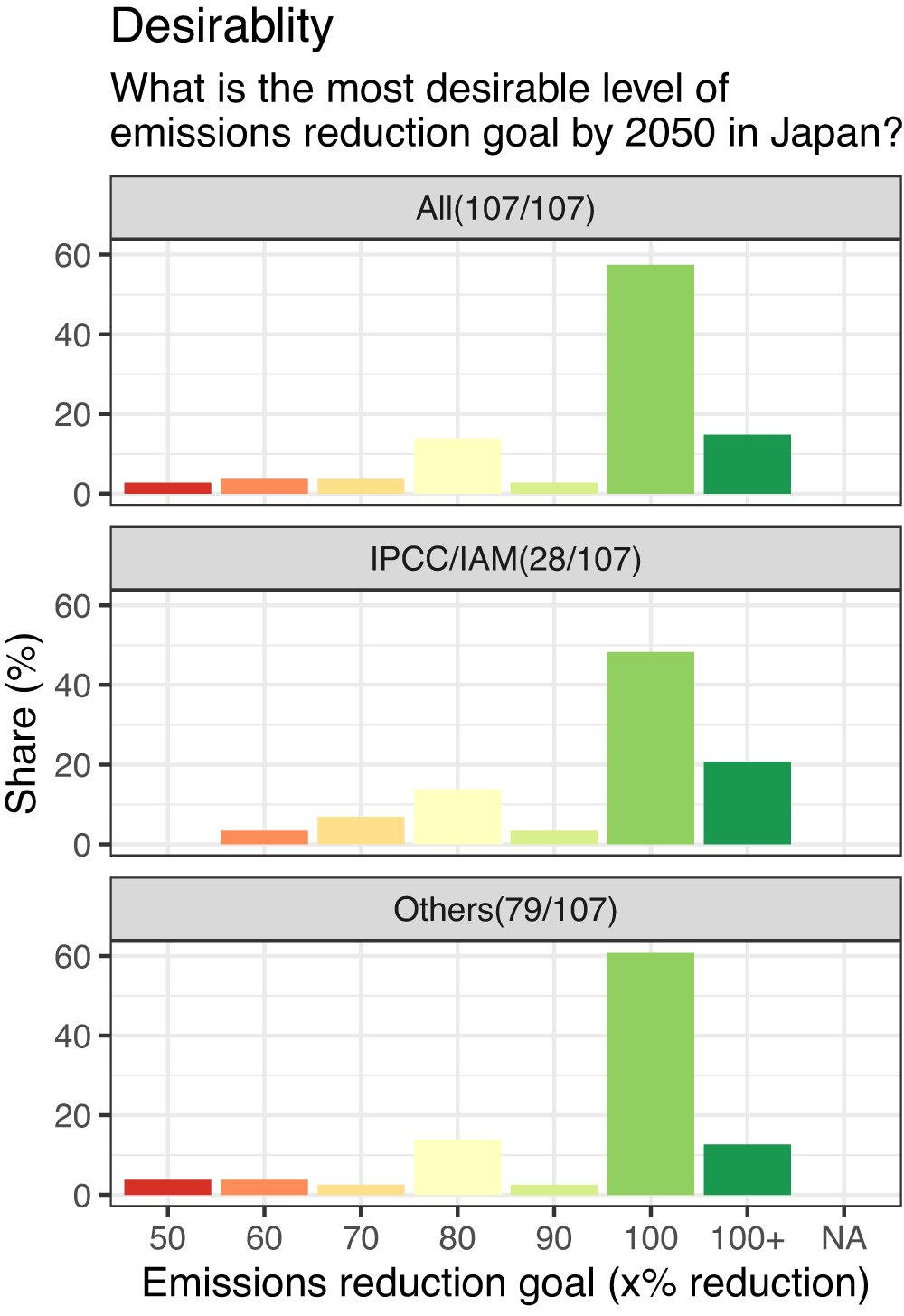
Fig. 2: Desirability of long-term national climate goals by type of experts (all, IPCC or IAM-related, and others, from top to bottom) as described by responses to a single-choice question.
From: Perceived feasibility and potential barriers of a net-zero system transition among Japanese experts

Most experts agree that the national climate goal of achieving a 100% emission reduction by 2050 is desirable, while quite a few experts agree on the desirability of 80% or 110% emission reduction. The sample size is given in the subtitle of each panel.