Abstract
Many governments and non-state actors have pledged to achieve net-zero greenhouse gas emissions, raising questions about the feasibility of these decarbonization goals. The existing literature, however, mostly relied on technoeconomic assessments and lack broad contextual considerations such as national conditions and local sociocultural characteristics. Here, we present a framework for assessing perceived feasibility and multi-dimensional barriers for net-zero transition that can complement existing methods of technoeconomic traditions. We applied this framework to the Japanese net-zero goal by surveying more than 100 experts from diverse fields with a shared national context. Most of the experts supported the desirability of the net-zero goal and chose a probability of 33–66% for its feasibility. However, the distribution of feasibility assessments differs between groups of integrated assessment modelers and the Intergovernmental Panel on Climate Change authors and other researchers, suggesting opportunities for further exploration within and between communities. Identified barriers reflect a unique national condition of Japan and include the limitations of national strategies and clean energy supply. The present framework can be extended to non-experts, data-scarce geographies and sectors.
Similar content being viewed by others
Introduction
Since the publication of the Intergovernmental Panel on Climate Change (IPCC) Special Report on Global Warming of 1.5 °C (SR15)1, global efforts for climate change mitigation have accelerated, with many nations and commercial sectors pledging toward net-zero emissions. Currently, more than 70 nations have a net-zero pledge, covering 76% of global greenhouse gas emissions2. Such rapid mitigation commitment involves significant changes across all sectors, and therefore, there is increasing interest in the feasibility of such drastic transition of the sociotechnical system to net-zero. Feasibility is framed as a binary issue often in the public sphere, and pundits and stakeholders alike continue to debate whether various pathways for net-zero and the net-zero targets themselves are feasible or not (see refs. 3,4,5,6 for examples).
Feasibility is not a new concept in academia and has been treated in a non-binary or probabilistic manner. It is a key concept in political science and political philosophy7,8,9, and the concept has been applied to the issues surrounding climate change (e.g., ref. 10,11). In fact, the IPCC SR15 conducted an initial feasibility assessment for both mitigation and adaptation options12. Option-level analysis has subsequently been expanded13 and included in the latest 6th IPCC reports from both Working Groups II14 and III15, as well as the work of Steg et al.16. (see Table 1). Others have also debated the feasibility of renewable energy expansion17, coal phase-out18,19, and green hydrogen expansion20. As for the feasibility assessment for the entire socioeconomic system, the integrated assessment models (IAMs) community has contributed detailed techno-economical constraints to reveal the mitigation pathways toward long-term climate goals21,22,23. A new study went beyond analyses of a few options and analyzed feasibility of scenarios of the whole power-system transition with high coal dependence in South Korea24.
Substantial advancement notwithstanding, there are issues that still need addressing. First, despite the efforts to include sociopolitical considerations, the assessments of feasibility and barriers in the literature are still largely informed by technoeconomic analysis, especially at the system level. For example, out of 23 subindicators the ref. 22 considered, the “governance level” was the only institutional factor that was taken into account. Energy demand reductions and land cover changes were used as proxies for sociocultural factors. The existing approaches do not fully consider the wide range of relevant, disciplinary perspectives, such as the complexity of social realities, the process of climate policy implementation, and behaviors of local actors25,26,27.
There are known limitations to IAM scenarios and related research. They have consistently underestimated the speed of innovation in solar photovoltaics, wind power, and batteries28,29,30,31,32,33,34 because of their weakness in dealing with complex interactions between technoeconomic and sociopolitical factors. Broader perspectives33,35,36,37,38,39 and concepts38,40 can help overcome these limitations in feasibility assessment. Such a critical approach is vitally needed in light of the performative role of future scenarios36,41,42,43. In other words, more efforts are needed to ensure robustness and quality of feasibility assessment, not only by examining causal relationships11 but also by incorporating diverse perspectives including sociopolitical factors25,44,45,46,47,48,49.
Second, the discussion on feasibility should not be separated from that on desirability, as they are interrelated in a complex manner. Renewable energy advocates tend to argue that the 100% renewable energy system is not only desirable but also feasible50,51. Degrowth proponents contend that it contributes to more equitable and inclusive well-being across regions and the policy is more feasible than alternative policy pathways52,53. Considering experts’ psychological biases about long-term futures54, it would be prudent to examine the relationship between desirability and feasibility more explicitly and how it varies across communities and disciplines.
Third, in terms of geographic and systems resolution, various existing studies have focused on global (and regional) feasibility22,23 or option-level assessments13,14,15,20; however, because of the hybrid nature of the Paris Agreement55, the assessment of feasibility and barriers at the sub-global level is increasingly pertinent. Mitigation opportunities that require responses from diverse individuals, households, and organizations may have little chance of being implemented globally56. Realistic assessment requires a specific context, which is also true for scenario modeling57.
Herein we present a new framework for feasibility assessment. We apply it to the Japanese national net-zero transition based on a survey of experts from diverse fields to complement existing feasibility assessment frameworks. We address the following research questions:
-
(1)
How do experts perceive the feasibility and desirability of the net-zero transition? Are there any differences among different expert groups?
-
(2)
What are the barriers for transitioning to achieving national net-zero goals? How do experts assess the risks of each barrier?
Framework
Our framework is inspired by political feasibility8,9,10 and future cones58,59 (Fig. 1 and see Method for the details). Existing work16,22 notes “institutional” factors act as a constraint on many options and scenarios, justifying the use of political feasibility as a starting point.
Proposition 1: feasibility is probabilistic, not binary, and thus, can construct a cumulative density function (CDF) of a greenhouse gas (GHG) emission goal (right, schematic CDF) A. Proposition 2: the CDF is affected by many different barriers (or soft constraints) B. Proposition 3: individual experts perceive future development of climate-related variables with large uncertainties, as illustrated by the futures cones (left), and the CDF of a GHG emission goal (i.e., perceived feasibility) for individual experts can be partially differentiated but are interrelated with their preferable future (right) C. Proposition 4: perceived feasibility is a subjective / Bayesian probability. It, as well as desirability, can be different across individuals, and thus, employing experts from broader disciplines can contribute to more contextualized feasibility assessments D.
Feasibility is defined as an assessment of the extent to which a socially important goal (e.g., the net-zero goal) is achievable under various constraints in a particular spatiotemporal context, conditional upon attempts and efforts by actors, and can be expressed probabilistically. This definition attempts to combine common threads such as probabilistic nature and conditionalities in the literature, which is summarized in Table S1. It can be assessed by various means, including model-based scenario analysis, expert elicitation, historical analogs, etc., as summarized in Table 1. Here we use the term perceived feasibility to specifically indicate the perception of feasibility of an individual, be it an expert, ordinary citizen, or stakeholder. Perceived feasibility can be assessed by a survey, interview, or workshop, etc., in the form of subjective probability.
Hard constraints, such as geophysical limits, determine feasibility in a binary manner. The policy debate on climate change, however, hinges on soft constraints, such as economic, sociocultural, and institutional barriers, which make the achievement of a social goal less likely. Therefore, it is appropriate to conceptualize feasibility as a continuous and probabilistic variable, rather than a binary one. Note that feasibility is different from plausibility60,61. Our approach assesses how a preferable mitigation goal (desirable) could be more or less likely to occur (feasible), instead of being described as one future scenario that could happen (plausible).
These concepts can be integrated and represented as a cumulative distribution function (CDF) of achieving this goal (Fig. 1A) (a recent review11 also formulated feasibility in terms of a future cone). Since feasibility is malleable and dynamically influenced by a number of barriers (soft constraints)8,9,10, CDF could shift both upward and downward (Fig. 1B). While feasibility is a descriptive concept, desirability is defined as a normative assessment of a socially important goal. Future cones also provide a simple but effective distinction between feasibility (possible future) and desirability (preferable future). In principle, they can be assessed separately58,59, but perceived feasibility may correlate or interrelate with desirability owing to psychological biases (Fig. 1C). Additionally, as illustrated by Fig. 1D, perceived feasibility and desirability vary across individuals and disciplines. It is necessary to collect broad perspectives from many experts, for instance, to ascertain whether the perceived feasibility of the technoeconomic research community is similar to or different from that of other groups.
Application to Japan’s net-zero transition assessment
In the following section, we applied a national-scale feasibility assessment, by operationalizing the framework and conducting expert surveys, to Japan, whose energy transition has been relatively slow because of the setback after the 2011 Fukushima Daiichi nuclear accident and the slow expansion of renewables17,62. In late 2020, Prime Minister Yoshihide Suga pledged that Japan will achieve net-zero GHG emissions by 205063. However, there is a debate of the feasibility of this target. Also, surveys on the general public64, teenagers65, and companies66, revealed sizeable concerns about the feasibility of the net-zero goal. This motivates the present study on Japan.
We developed a survey instrument, starting from asking the desirability/feasibility of achieving carbon neutrality or deep mitigation (>80% emission reduction), the previous NDC (80%), and the lower goals in Japan. List of barriers were inspired by the IPCC six-dimension framework of feasibility assessment. Specifically, the questions on barriers that affect feasibility were tailored to the unique Japanese context, including geophysical and environmental (e.g., relatively smaller potentials of variable renewables67,68,69,70), technological (e.g., slower rate of renewable diffusion71,72), sociocultural (e.g., relatively smaller climate movement in the past73,74 and opposition to nuclear power75), institutional (e.g., lack of full-fledged emissions trading76 and continued support for coal77,78), and economic dimensions (e.g., higher costs of renewables)79,80 (though dimensions are only heuristic frameworks and each barrier is relevant to multiple dimensions). The risk of each barrier is determined by its probability (of acting as/becoming a barrier) and impact (on hindering the feasibility of achieving carbon neutrality), following a similar style of risk perception assessment or expert elicitation81,82,83 (see Method).
The resulting questionnaire survey (see Supplementary Data 1 and 2) was conducted from October 2021 to March 2022 in an online interview format with over 100 experts in Japan from a variety of fields, including climate science, political economy, engineering, integrated assessment, and impact analysis (Tables S3 and S4). We identified experts from three databases with a query keyword “climate change mitigation”: (1) IPCC author list, (2) the Web of Science, and (3) Kakenhi, a national funding scheme run by the Japan Society for the Promotion of Science (JSPS). 63.7 % of the invited experts participated in the survey.
Results
Desirability and feasibility
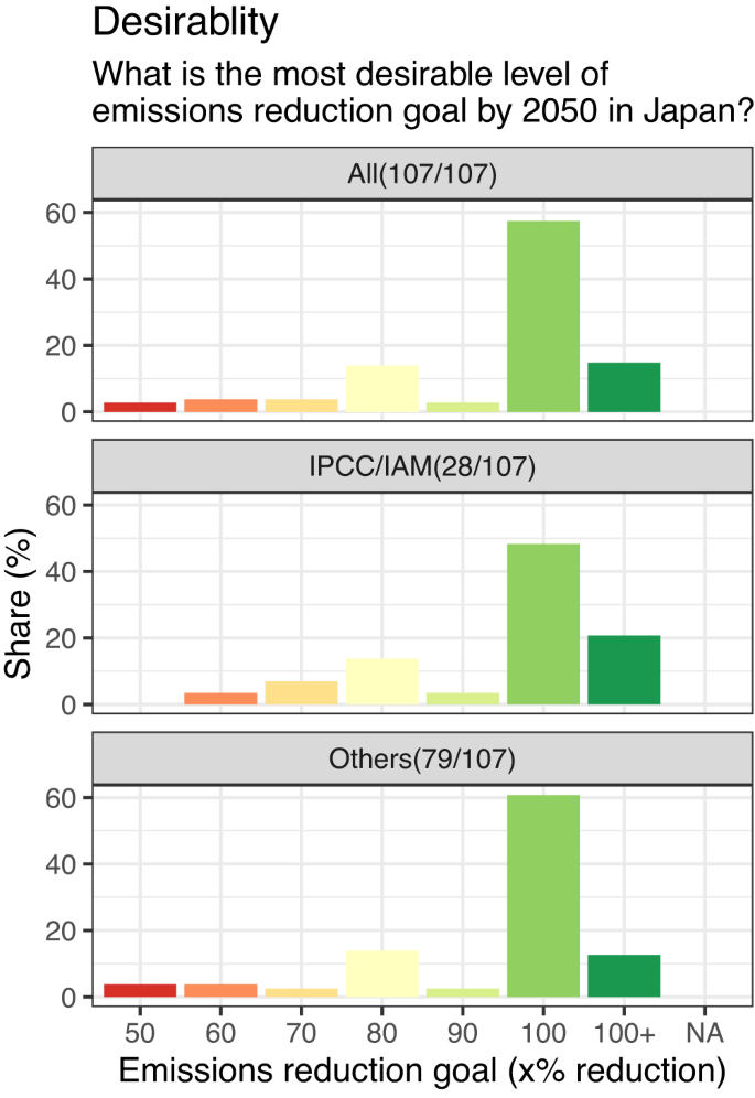
The surveyed respondents demonstrated similar assessments of the desirability of the climate goal (Fig. 2). More than half of the respondents mentioned that a 100% emission reduction (the current policy goal) is desirable; 80% reduction (the previous goal) and 110% reduction goals come close. Given the huge influence of the IPCC authors and IAM research strands in policymaking, it would be prudent to check for differences in desirability between the researchers who are IPCC authors or in the IAM community and others. There is no statistically significant (Chi-squire test, p value = 0.7037) difference between respondent groups (IPCC/IAM vs others). Quite a few experts agree that even a 110% emission reduction is desirable (more than 20% in the IPCC/IAM group), which may be required in the case of equitable burden sharing of carbon dioxide removal84,85. In terms of how the responses are related to expert groups, affiliation has some effect; the share of the 80% reduction choice is higher for the non-academic experts than those from the academia. Experience and discipline are not a major factor (Figure S1).
We surveyed the feasibility for different emission reduction goals, ranging from the previous government target (80% reduction) to the current target (100% reduction) to a more ambitious one (110% reduction). According to the results from all of the respondents, as the goals became more ambitious, the frequency distribution naturally shifted toward the direction of lower feasibility (Fig. 3). The mode value of net-zero feasibility was neutral (33–66%), but the overall frequency distribution was skewed toward pessimism.
There was a difference in perceived feasibility between the IPCC/IAM group and the rest of the experts (Fig. 3). For the 80% reduction goal, the IPCC/IAM group answered a higher feasibility probability than the others. For the net-zero goal, the response distribution of the IPCC/IAM group is broad while that for the other group is concentrated in the 33-66% choice.
Regardless of grouping, the largest number of respondents chose ≤10% for 110% emission reduction. All experts clearly recognized the difficulty of achieving more than a 100% emission reduction (higher red bars under feasibility110 in Fig. 3).
As for expert characteristics (experience, affiliation, and discipline), there is a broad agreement across those characteristics, but some nuanced differences can be identified. For instance, the largest share of the academic experts chose a 33-66% probability for the net-zero feasibility, whereas the largest group of experts outside the academia chose a <= 10% probability for the net-zero goal. (Figure S1).
Regarding the relationship between feasibility and desirability, Fig. 4 presents how the perceived feasibility varies with the level of desirability (rows) and emission reduction target (columns). A weak correlation was observed between feasibility and desirability in the minds of respondents (the Spearman’s rank order correlation coefficients between desirability and feasibility were 0.40, 0.44, 0.38, and 0.29 for reductions (%) of 80, 90, 100, and 110, respectively). Respondents who preferred less than 100% emission reduction goals were relatively pessimistic about ambitious reduction goals. Some respondents desiring for more than 100% emission reduction tended to choose a higher feasibility for 100% or 110% emission reduction.
Barriers
We explored the factors that determine the perceived feasibility of a net-zero transition. Based on convenience sampling expert interviews and a literature review, 22 factors were carefully extracted as potential barriers toward the net-zero transition in Japan (see Method; for a full list of barrier descriptions, see Table S2). These factors were constructed by considering six dimensions of the IPCC feasibility assessment (geophysical, environmental-ecological, technological, economic, socio-cultural, and institutional dimensions) and their cross-disciplinary issues and multiple actors (e.g., governments, businesses, and citizens). Figure 5 displays the mean values of the perceived impacts and probability of potential barriers by type and actor and Fig. 6 shows the risk (impact multiplied by probability) of each potential barrier.
Each risk is a multiplication of the perceived impact by the perceived probability. The jittered points represent individual answers whereas the boxplots reveal the summary distributions. Each box represents the 25 percentile, 50 percentile (median) (vertical line in the box), and 75 percentile of risk for each potential barrier. The lines can extend to 1.5 times the interquartile range beyond either the 25 percentile or 75th percentile values. The color of the box represents our own assessment of the relative difficulty of including each factor in quantitative modeling assessments.
Although most of the means for the impact of the 22 barriers were higher than the median value of the options in the questionnaire (3), the means for the probabilities of the 22 barriers varied from approximately 25% to more than 75%. The probability means of all barriers showed a higher degree of dispersion than the impact means of the barriers in terms of the normalized standard deviation. Using the averages for each one of the 22 barriers as data points, we found that the mean probability = 0.5112, s.d. of probability = 0.2683 (52% of the mean), mean impact = 3.3721, and s.d. of impact = 1.0689 (31% of the mean). These results indicate that experts agree that at least 22 barriers extracted have non-negligible potential impacts toward a net-zero transition, but the probability of barriers occurring or continuing varied substantially by barrier. In addition, no natural clustering of barriers emerged in terms of types of barriers, actors, etc. Experts’ responses are broadly similar irrespective of their discipline (Fig. S2).
Nevertheless, the barriers that are identified as high-impact or highly probable reflect the unique condition of Japan. The issue which assessed to have the highest impact is the concern about an adequate supply of clean energy. Though it is technically possible to provide Japan with 100% renewable energy86, international comparisons67,68 and social considerations69,70 imply that it is more challenging for Japan to achieve such a goal than the United States or Europe. In fact, a high population density and geographical constraints of mountainous terrain make securing low-cost clean energy sources in a socially acceptable and sustainable manner a crucial issue. Despite a comparatively slow introduction of renewables, Japan has already seen some conflicts regarding local renewable energy development projects87. Reducing installation costs to international levels, investigating socially acceptable levels of renewable development69,88,89, and exploring clean energy imports90 remain as major issues. The lack of a national strategy, despite the government’s paper commitment to net zero, was assessed to have major impacts. This would give credence to, and support the prioritization of, proposals to renew the new decision-making framework that transcends the conventional rivalry between the economic and environmental ministries91,92.
Turning to probabilities, concern about nuclear energy was rated the highest. Since the Fukushima Daiichi nuclear power plant accident in 2011, public acceptance of nuclear power has remained at a low level93, and energy policy, including the level of nuclear power use, has been forced to change from what it was before 201194,95. Despite controversies surrounding nuclear power, the expert respondents from various disciplines flagged the concern about nuclear power as an important barrier, implying its potential role for decarbonization. Another issue which assessed to have relatively high probability was the lack of local capacity, although the Japanese government has been promoting specific policies to support local governments that are taking the lead in creating carbon-neutral local community, which is called “decarbonization-leading areas.”
Given that many feasibility assessments to date have been conducted by IAM researchers and those from related fields, it would be instructive to see how the ease of modeling affects feasibility assessment (Fig. 6). Among the 22 barriers, concerns over nuclear power generation, the lack of national strategies, and the lack of capacity of local actors come as the top three factors in terms of the median of risks. We, however, contend that these factors belong to the “harder-to-model” category. Unlike the economical or technological barriers that can be modeled with clear unit costs, these factors are difficult to incorporate in IAMs, and even when included, they are treated as parts of the exogenous scenario assumptions (e.g., the concern over nuclear power generation modeled as an scenario assumption where exogenous parameter nuclear capacity factor set as lower, instead of modeled with a whole endogenous mechanism explaining the interdependencies of social concern and energy market share change). This result underscores the importance of both quantitative and qualitative assessments of feasibility. (See Fig. S3 for risk assessment by respondent group.)
Discussion
There are certain differences between the proposed framework and those in the literature (e.g.16,17,22,). In terms of advantages, the proposed framework can enable pluralistic and inclusive assessments, involving experts from various disciplines. As argued by Geels et al.25. and others, net-zero transition necessitates insights and knowledge from numerous fields with differing epistemology and ontology. The present framework contributes to an “opening up37,93” of the multidisciplinary and interdisciplinary perspective on transition feasibility.
Our results also demonstrated that the proposed approach could reflect the unique national context. As the focus of mitigation shifts from the global debate to the national level, capturing nuances surrounding each country is increasingly critical. Given that all the surveyed experts shared a national context regarding the target country (i.e., Japan), we could go beyond generalized discussion and specify the barriers to enable a comparison among the barriers through quantifying the likelihood and impact of each barrier. The IPCC itself recognized context dependence as one of the limitations of their feasibility assessment15. In the present results, the barriers that were identified, such as the lack and limitations of the national strategy73,74 and the possible lack of clean energy supply67,68,69,70, are different from those often identified in the West.
An interesting extension of the present work is to repeat the survey over time. Expert responses could be biased because of availability or anchoring heuristics, e.g., the responses may have been affected by the media that day. In particular, the COVID-19 pandemic, the 2021 Glasgow Climate Change Conference, and Russia’s invasion of Ukraine might have affected the results of the survey (the survey period was from October 2021 to March 2022). Some experts may judge that the continuing increase in energy prices after the completion of the survey could have no small impact on energy policy, since public concerns about energy security and energy prices are growing worldwide. Thus, repeating the surveys in the future to consider responses over time could differentiate long- from medium-term issues. This would present the malleability of perceived feasibility and would prevent public debate from being mired in the unproductive and artificial dichotomy between feasibility and infeasibility, paving a way toward more constructive dialogue. Moreover, updating the barrier assessment would provide an evidence base for the adjustment of the policy mix or package for net-zero transition.
Despite the benefits our proposed framework, there are some limitations that should be addressed, especially with regard to the well-known drawbacks of expert elicitation, including such as cognitive96,97 and motivational biases98,99,100, including overconfidence and motivated reasoning. Though we introduced some strategies to avoid cognitive biases, our survey design does not allow us to analyze motivational biases. Another limitation is the difficulty in considering the interactions among different barriers, as numerous interactions are combinatorically present and human minds would be incapable of dealing with such enormity. Some factors, such as techno-economic aspects, should be grounded in quantitative system modeling and engineering analyses. Formally combining these distinct perspectives is beyond the scope of the present study.
Conclusions
We demonstrated the viability of a perceived feasibility and barrier assessment through expert interviews. Considering the technological, economic, institutional, and sociocultural constraints, our framework allowed for feasibility assessments in a probabilistic manner as well as barrier assessments that considered national contexts. In the minds of the expert participants, there was a gap between feasibility and desirability. Most experts supported the desirability of the net-zero goal, while they chose a probability of 33–66% for its feasibility. This demonstrates the need to accelerate societal actions and policy measures, especially those directed toward the most important barriers (in terms of the risks to the net-zero goal): the concern about nuclear power, the national strategy, local capacities, the green recovery, and clean energy supply technologies, among others. There are no simple answers to why the experts perceived them as high-risk; the complexity of these issues warrants further research and exploration.
There was a difference between the IAM/IPCC group and the rest of the surveyed experts in terms of perceived feasibility. The response distribution of the feasibility question from the former group was broader than that from the latter group. In other words, there is a disagreement within the IAM/IPCC group and also between this group and the rest. While our analysis on barriers did not identify the clear reason for this discrepancy, this finding suggests opportunities for further exploration and discussion within and between communities. Such discussion would identify areas for possible joint research, and could help strengthen feasibility and barrier assessment in technoeconomic traditions.
Our analysis also suggests avenues for further research. The global climate policy architecture after the 2015 Paris Agreement is a hybrid of top-down and bottom-up approaches55, and because many countries have pledged to achieve net-zero, it is crucial to shift the debate from global to national and sectoral levels in more diverse geographical areas. The present framework can contribute to the evidence base by eliciting perceived feasibility from experts with diverse backgrounds and a shared context and can complement existing feasibility assessments that are global and domain based. The light data requirement of the framework allows for feasibility assessment in countries in the Global South, where data availability is a perennial issue. Furthermore, extending the work to include stakeholders or combine it with other qualitative approaches (e.g., workshops) would be a useful addition to the methods to analyze one of the most crucial questions of our time.
Methods
Perceived feasibility and barriers
We borrowed the wisdom of political feasibility research8,10 and treated feasibility as a probabilistic variable to assess the systematic net-zero transition. In the proposed framework, the constraints on political feasibility are divided into hard and soft constraints. As IAMs give binary results of feasibility (i.e., solvable scenarios are feasible), hard constraints determine the assessment of system feasibility in a binary manner. In contrast, the rest of the constraints “make outcomes comparatively less feasible” as they have a “reasonable probability of success conditional upon trying8,101”. They may also affect outcomes in a nontechno-economic mechanism. We focused on these constraints, defined as soft constraints, in this study and attempted to clarify and assess the feasibility and soft constraints based on expert perception in a probabilistic manner.
The concept of soft constraints allows for a more nuanced assessment. The more the absence of one soft constraint, the more feasible it becomes at the systematic level. The risk of each soft constraint (to be short, the “barrier”) is determined by its probability (of acting as/becoming a barrier) and impact (on hindering the feasibility of achieving carbon neutrality), following a similar style of risk perception assessment81,83 or expert elicitation82. For each barrier, the probability and (negative) impact were evaluated on a Likert scale ranging from 1 to 5, similar to the evaluation method of the respondents’ subjective expectations in Victor et al.102. In the assessment of probability, 1 is “very unlikely” and 5 is “very likely”, which is later quantified as 0.95, 0.78, 0.50, 0.215, and 0.05 for the levels “>= 90%”, “>= 66%”, “33–66%”, “<=33%”, and “<=10%”, respectively, of achieving emission reductions reported by each respondent. Because of ambiguities and large uncertainties, we borrow from the imprecise probability or interval probability theory103,104,105 and ask about a range of probabilities, not a point estimate. To simplify the survey, we did not assess the lower and upper ranges of probabilities independently, however. We also adopted the recommended likelihood scale and language for probabilities from the IPCC106 to avoid the ambiguity of probability language97. In the assessment of negative impact, 1 is “extremely small” and 5 is “extremely large”. Given this definition of feasibility, this paper focuses on barriers and excludes enablers from our analysis, as is consistent with political feasibility research9; enablers can be, however, thought of as something that removes barriers.
The clarification of soft constraints contributes to the assessment of possible outcomes in the future (ex-ante analysis), rather than the assessment of performances in the past (ex-post analysis). The perception of experts is one useful approach to investigating soft constraints since it covers perspectives from multiple disciplines that enable the assessment to escape from “caged” thinking107. It also has the flexibility to cover all kinds of uncertainties that models may find difficult to explore, including the synergies and trade-offs among different feasibility concerns. Feasibility and each of the soft constraints (barriers) is assessed by experts from a variety of disciplines but with a shared national context.
Survey design
This study consists of a survey with experts from a broad range of fields related to climate change mitigation. Our approach is informed by, but different from, expert elicitation on well-defined scientific and technological parameters96, which is intended to obtain subjective probability distributions of uncertain variable of interest. Here the variable of interest is the GHG emissions of Japan in 2050, which is subject to not only technoeconomic factors but also sociopolitical development.
We operationalized the concept into a survey instrument by literature review and a series of expert interviews. The survey was administered in an online, interview format. For the initial series of interviews, we conducted ~1 hour interviews with a small-scale convenient sample size (10 experts) to collect key soft constraints on the feasibility of net-zero transition (the option for barriers) of Japan. Based on that, together with a literature review and discussion, we developed the survey instrument. Our starting point was the six dimensions of enabler/barrier assessment of the IPCC reports: economic, technological, environmental/ecological, geophysical, institutional, social/cultural. This process allowed us to identify important aspects that are pertinent to Japan’s context.
Subsequently, we identified experts with relevant knowledge from the Web of Science, funding database, and IPCC author list. We conducted the survey with the chosen experts. After the completion of the survey by all the participants, a summary was sent out to all the participants so that all the experts had a chance to revise their response.
Survey instrument
Based on interviews and a literature review, 22 factors were extracted from multiple aspects including geophysical, technological, economical, institutional, and sociocultural constraints as the potential barriers toward a net-zero transition. They are (see the supplementary material Table S2 for full descriptions):
-
(1)
Sufficiency of national strategy;
-
(2)
Scientific support of policy;
-
(3)
Capacities of local actors (e.g., SME, municipalities);
-
(4)
Clean energy supply;
-
(5)
Carbon dioxide removal;
-
(6)
End-use technologies;
-
(7)
Hard-to-abate sectors;
-
(8)
Public concerns about large-scale renewables;
-
(9)
Public concerns about carbon capture and storage;
-
(10)
Public concerns about nuclear power;
-
(11)
Infrastructure investment;
-
(12)
Power imbalance between incumbents and newcomers;
-
(13)
Awareness among industries;
-
(14)
Digitalization;
-
(15)
Mass media;
-
(16)
Social movement;
-
(17)
Carbon tax resistance;
-
(18)
Labor issues (job loss and unsmooth shift of employment);
-
(19)
Resistance against end-use regulation;
-
(20)
Green recovery;
-
(21)
International pressure;
-
(22)
International credits; and
-
(23)
Others.
This set of barriers constitutes the building blocks of the set of questions on barriers. For the system boundary of emissions, we chose those that fit the United Nations Framework Convention on Climate Change (UNFCCC)108 and the Paris Agreement109, including the international transfer of mitigation outcomes.
The barriers are also categorized into “easier-to-model” and “harder-to-model” groups based on multiple previous research on the disadvantages of IAMs40,110,111. If one barrier factor is mentioned or partly mentioned in the limitation of IAMs, it will be labeled as “harder-to-model”. The full survey instrument is provided as a Supplementary Material (Supplementary Data 1 is the original survey instrument in Japanese, and Supplementary Data 2 is an English translation).
Sampling strategy
Ideally socially robust knowledge93,112 could be produced by surveying all the relevant experts as well as stakeholders112,113. Stakeholders, however, tend to view feasibility in a binary manner and often desire certain options, and are likely to be subject to motivational biases (e.g., desirability bias). As a first step of this method, we chose experts from broad fields related to climate change mitigation. The diversity of expertise here is in line with the calls for interdisciplinary collaborations and exchanges25,45,46,47,48. It is consistent with a suggestion for improving technology foresight38.
Identifying experts often involves the use of a publication database. In Japan, however, the English publications from some disciplines are often lacking, thus introducing a potential bias. We therefore adopted a three-pronged approach by using three sources: (1) the list of IPCC authors, (2) the Web of Science database, and (3) the funding database of Kakenhi, a scheme operated by the Japan Society for the Promotion of Science, which covers not only natural sciences but also humanities and social sciences extensively. In addition, we asked the initial respondents to suggest additional names for interviews.
For the IPCC authors, we identified coordinating lead authors, lead authors, and review editors who contributed to the WG3-related reports, including special reports. In other words, experts who engaged in only WG1 and WG2 reports were not included in our list of the IPCC authors. We identified 32 experts from the IPCC authors database114.
For Kakenhi, a search was conducted on the Grant-in-Aid for Scientific Research search site (https://kaken.nii.ac.jp/ja/) using the keywords “(kikohendo OR chikyu ondanka) AND kanwasaku” in Japanese, which means “(climate change OR global warming) AND mitigation measures”. The period covered was the most recent 11 years, i.e., 2011 to 2021. The data acquisition date was September 7, 2021. Next, we examined the number of times the researcher’s name appeared in the search results and identified 14 researchers tied for the top two positions. We then identified 38 of the 147 researchers tied for third place who had served as principal investigators once. For a total of 53 names, we used an Internet search to identify their e-mail addresses.
For the Web of Science, the query TS = ((“climat* change*“ OR “global warming”) AND (mitigat*)) AND CU=japan was used for the time period of 2011–2021 (data acquisition date: July 16, 2021). A total of 1082 search results were obtained. From this list, we created a list of authors and selected the authors with a larger number of publications, e.g., authors with more than six (a list of 46 people) or five (a list of 67 people) papers.
We combined the lists from three sources into one and removed any duplications. We finally obtained a list of 171 experts, including a one-round snowball sampling. To increase the response rate, we conducted the survey in a ZOOM online meeting. The final response rate was 63.7% (109 out of 171). One respondent did not answer the desirability question (a total number 107 in all results related to desirability, and 108 in all other results), one respondent did not fully answer the questionnaire, and 4 respondents filled out the questionnaire by themselves without interviews. One respondent answered all the questions with audio only. We collected experts’ demographic aspects, including affiliations (academic, government, industry, civil society), disciplines (natural science, social science, humanities), and working experience (2–5Y, 5–10Y, 10–15Y, 15–20Y, 20 + Y). The list of respondents is given in Table S3, and the descriptive statistics in Table S4.
Ethical considerations
Under the Guidance of Research Ethics and Information Security of the Research Ethics and Information Security Committee, Institute for Future Initiatives, The University Tokyo, this research is exempt from an ethical review as long as the researchers have taken mandatory research ethical training, which we fulfilled. We obtained an informed consent from each participant that their name and affiliation would be presented in the resulting publication, but that only anonymized responses would be utilized.
Reporting summary
Further information on research design is available in the Nature Portfolio Reporting Summary linked to this article.
Data availability
Anonymized data is available at https://doi.org/10.5281/zenodo.10029987.
Code availability
The code to analyze anonymized data is available at https://doi.org/10.5281/zenodo.10029987. This will enable reproduction of key figures, but not all, because of privacy protection and informed consents we obtained from the expert survey respondents.
References
IPCC. Summary for Policymakers. In: Global Warming of 1.5 °C. An IPCC Special Report on the impacts of global warming of 1.5 °C above pre-industrial levels and related global greenhouse gas emission pathways, in the context of strengthening the global response to the threat of climate change, sustainable development, and efforts to eradicate poverty [Masson-Delmotte, V., et al. (eds.)]. World Meteorological Organization, Geneva, Switzerland, 32 pp. (2018).
UN Climate Action. United Nations Climate Action, available at: https://www.un.org/en/climatechange/net-zero-coalition (2022).
Elliott, D. Are net zero emissions by 2050 possible? Yes, says IEA. World Economic Forum, https://www.weforum.org/agenda/2021/05/net-zero-emissions-2050-iea/ (2021).
Deutch, J. Is net zero carbon 2050 possible? Joule 4, 2237–2240 (2020).
National Academies. Based on Science: Is it possible to achieve net-zero emissions? https://www.nationalacademies.org/based-on-science/is-it-possible-to-achieve-net-zero-emissions (2021).
The Economist. Say Goodbye to 1.5 °C. Nov. 5, 2022. (2022).
Majone, G. On the notion of political feasibility. Euro. J. Polit. Res. 3, 259–274 (1975).
Gilabert, P. & Lawford-Smith, H. Political feasibility: A conceptual exploration. Polit. Studies 60, 809–825 (2012).
Lawford-Smith, H. Understanding political feasibility. J. Polit. Philosophy 21, 243–259 (2013).
Jewell, J. & Cherp, A. On the political feasibility of climate change mitigation pathways: Is it too late to keep warming below 1.5 °C? Wiley Interdisciplinary Rev.: Clim. Chan. 11, 1–12 (2020).
Jewell, J., & Cherp, A. The feasibility of climate action: Bridging the inside and the outside view through feasibility spaces. Wiley Interdisciplinary Rev.: Clim. Chan. e838. https://doi.org/10.1002/wcc.838 (2023).
de Coninck, H. et al. Strengthening and implementing the global response. In: Global warming of 1.5 °C. An IPCC Special Report on the impacts of global warming of 1.5 °C above pre-industrial levels and related global greenhouse gas emission pathways, in the context of strengthening the global response to the threat of climate change, sustainable development, and efforts to eradicate poverty [V. Masson-Delmotte, P. Zhai, H. O. Pörtner, D. Roberts, J. Skea, P. R. Shukla, A. Pirani, W. Moufouma-Okia, C. Péan, R. Pidcock, S. Connors, J. B. R. Matthews, Y. Chen, X. Zhou, M. I. Gomis, E. Lonnoy, T. Maycock, M. Tignor, T. Waterfield (eds.)]. Cambridge University Press. (2018).
Singh, C., Ford, J., Ley, D., Bazaz, A. & Revi, A. Assessing the feasibility of adaptation options: methodological advancements and directions for climate adaptation research and practice. Clim. Chan. 162, 255–277 (2020).
IPCC. Summary for policymakers. In H.-O. Pörtner, et al. (Eds.), Climate Change 2022: Impacts, Adaptation and Vulnerability. Contribution of Working Group II to the Sixth Assessment Report of the Intergovernmental Panel on Climate Change (pp. 3–33). Cambridge University Press (2022).
IPCC. Summary for Policymakers. In: P. R. Shukla, et al. (eds.), Climate Change 2022: Mitigation of Climate Change. Contribution of Working Group III to the Sixth Assessment Report of the Intergovernmental Panel on Climate Change. Cambridge University Press (2022).
Steg, L. et al. A method to identify barriers to and enablers of implementing climate change mitigation options. One Earth 5, 1216–1227 (2022).
Cherp, A., Vinichenko, V., Tosun, J., Gordon, J. A. & Jewell, J. National growth dynamics of wind and solar power compared to the growth required for global climate targets. Nat. Energy 6, 742–754 (2021).
Jewell, J., Vinichenko, V., Nacke, L. & Cherp, A. Prospects for powering past coal. Nat. Clim. Chan. 9, 592–597 (2019).
Vinichenko, V., Cherp, A. & Jewell, J. Historical precedents and feasibility of rapid coal and gas decline required for the 1.5 °C target. One Earth 4, 1477–1490 (2021).
Odenweller, A., Ueckerdt, F., Nemet, G. F., Jensterle, M. & Luderer, G. Probabilistic feasibility space of scaling up green hydrogen supply. Nat. Energy 7, 854–865 (2022).
van Sluisveld, M. A. E. et al. Comparing future patterns of energy system change in 2 °C scenarios with historically observed rates of change. Global Environ. Chan. 35, 436–449 (2015).
Brutschin, E. et al. A multidimensional feasibility evaluation of low-carbon scenarios. Environ. Res. Lett. 16, 064069 (2021).
Warszawski, L. et al. All options, not silver bullets, needed to limit global warming to 1.5 C: A scenario appraisal. Environ. Res. Lett. 16, 064037 (2021).
Hyun, M., Cherp, A., Jewell, J., Kim, Y. J. & Eom, J. Feasibility trade-offs in eavyonizing the power sector with high coal dependence: The case of Korea. Renew. Sustain. Energy Transit. 3, 100050 (2023).
Geels, F. W., Berkhout, F. & Van Vuuren, D. P. Bridging analytical approaches for low-carbon transitions. Nat. Clim. Chan. 6, 576–583 (2016).
Turnheim, B. & Nykvist, B. Opening up the feasibility of sustainability transitions pathways (STPs): Representations, potentials, and conditions. Res. Policy 48, 775–788 (2019).
Stern, P. C., Dietz, T., Nielsen, K. S., Peng, W. & Vandenbergh, M. P. Feasible climate mitigation. Nat. Clim. Chan. 13, 6–8 (2023).
Trancik J. E. et al. Technology improvement and emissions reductions as mutually reinforcing efforts: observations from the global development of solar and wind energy. Institute for Data, Systems, and Society, Massachusetts Institute of Technology. (2015).
Creutzig, F. et al. The underestimated potential of solar energy to mitigate climate change. Nat. Energy 2, Article 9 (2017).
Shiraki, H. & Sugiyama, M. Back to the basic: Toward improvement of technoeconomic representation in integrated assessment models. Clim. Chan. 162, 13–24 (2020).
Gambhir, A. et al. How Are Future Energy Technology Costs Estimated? Can We Do Better? Int. Rev. Environ. Res. Economics 15, 271–318 (2021).
Xiao, M., Junne, T., Haas, J. & Klein, M. Plummeting costs of renewables—Are energy scenarios lagging? Energy Strat. Rev. 35, 100636 (2021).
Victoria, M. et al. Solar photovoltaics is ready to power a sustainable future. Joule 5, 1041–1056 (2021).
Way, R., Ives, M. C., Mealy, P. & Farmer, J. D. Empirically grounded technology forecasts and the energy transition. Joule 6, 2057–2082 (2022).
Jaxa-Rozen, M. & Trutnevyte, E. Sources of uncertainty in long-term global scenarios of solar photovoltaic technology. Nat. Clim. Chan. 11, 266–273 (2021).
Low, S. & Schäfer, S. Is bio-energy carbon capture and storage (BECCS) feasible? The contested authority of integrated assessment modeling. Energy Res. Social Sci. 60, 101326 (2020).
Braunreiter, L., van Beek, L., Hajer, M. & van Vuuren, D. Transformative pathways – Using integrated assessment models more effectively to open up plausible and desirable low-carbon futures. Energy Res. Social Sci. 80, 102220 (2021).
Bonaccorsi, A., Apreda, R. & Fantoni, G. Expert biases in technology foresight. Why they are a problem and how to mitigate them. Tech. Forecast. Social Chan. 151, 119855 (2020).
Schmidt, T. S. & Sewerin, S. Technology as a driver of climate and energy politics. Nat. Energy 2, 17084 (2017).
Peng, W. et al. Climate policy models need to get real about people – here’s how. Nature 594, 174–176 (2021).
Borup, M., Brown, N., Konrad, K. & Van Lente, H. The sociology of expectations in science and technology. Technol. Anal. Strat. Manage. 18, 285–298 (2006).
Beck, S. & Mahony, M. The IPCC and the politics of anticipation. Nat. Clim. Change. 7, 311–313 (2017).
Beck, S. & Mahony, M. The politics of anticipation: The IPCC and the negative emissions technologies experience. Global Sustain. 1, e8 (2018).
Jewell, J. & Cherp, A. The feasibility of climate action: Bridging the inside and the outside view through feasibility spaces. Wiley Interdiscipl. Rev.: Clim. Chan, e838 (2023).
Turnheim, B. et al. Evaluating sustainability transitions pathways: Bridging analytical approaches to address governance challenges. Global Environ. Change. 35, 239–253 (2015).
Van Sluisveld, M. A. et al. Comparing future patterns of energy system change in 2 C scenarios to expert projections. Global Environ. Change 50, 201–211 (2018).
Forster, J., Vaughan, N. E., Gough, C., Lorenzoni, I. & Chilvers, J. Mapping feasibilities of greenhouse gas removal: key issues, gaps and opening up assessments. Global Environ. Change 63, 102073 (2020).
Gambhir, A., Ganguly, G. & Mittal, S. Climate change mitigation scenario databases should incorporate more non-IAM pathways. Joule 6, 2663–2667 (2022).
Vaughan, N. E. & Gough, C. Expert assessment concludes negative emissions scenarios may not deliver. Environ. Res. Lett. 11, 095003 (2016).
Jacobson, M. Z. et al. 100% clean and renewable wind, water, and sunlight (WWS) all-sector energy roadmaps for the 50 United States. Energy Environ. Sci. 8, 2093–2117 (2015).
Breyer, C. et al. On the History and Future of 100% Renewable Energy Systems Research. IEEE Access 10, 78176–78218 (2022).
Hickel, J. & Kallis, G. Is green growth possible? New Polit. Econ. 25, 469–486 (2020).
Hickel, J. et al. Urgent need for post-growth climate mitigation scenarios. Nat. Energy 6, 766–768 (2021).
Morgan, M. G. & Keith, D. W. Improving the way we think about projecting future energy use and emissions of carbon dioxide. Clim. Change 90, 189–215 (2008).
Patt, A. et al. International cooperation. In IPCC, 2022: Climate Change 2022: Mitigation of Climate Change. Contribution of Working Group III to the Sixth Assessment Report of the Intergovernmental Panel on Climate Change [P. R. Shukla, J. Skea, R. Slade, A. Al Khourdajie, R. van Diemen, D. McCollum, M. Pathak, S. Some, P. Vyas, R. Fradera, M. Belkacemi, A. Hasija, G. Lisboa, S. Luz, J. Malley, (eds.)]. Cambridge University Press, Cambridge, UK and New York, NY, USA. https://doi.org/10.1017/9781009157926.016 (2022).
Nielsen, K. S. et al. Improving climate change mitigation analysis: A framework for examining feasibility. One Earth 3, 325–336 (2020).
Fujimori, S. et al. A framework for national scenarios with varying emission reductions. Nat. Clim. Change 11, 472–480 (2021).
Voros, J. A generic foresight process framework. Foresight 5, 10–21 (2003).
McCollum, D. L., Gambhir, A., Rogelj, J. & Wilson, C. Energy modellers should explore extremes more systematically in scenarios. Nat. Energy 5, 104–107 (2020).
Hausfather, Z. & Peters, G. P. Emissions – the ‘business as usual’ story is misleading. Nature 577, 618–620 (2020).
Pielke, R., Burgess, M. G. & Ritchie, J. Plausible 2005-2050 emissions scenarios project between 2 °C and 3 °C of warming by 2100. Environ. Res. Lett. 17, 024027 (2022).
Sugiyama, M., Sakata, I., Shiroyama, H., Yoshikawa, H. & Taniguchi, T. Research management: Five years on from Fukushima. Nature 531, 29–30 (2016).
Government of Japan. Key Policies of the Suga Cabinet > Carbon Neutrality. 2021.4.22. Available at: https://www.japan.go.jp/key_policies_of_the_suga_cabinet/carbon_neutrality.html (2021).
Asahi Shimbun. Decarbonization, what about you? 2021.01.06. Available at: https://www.asahi.com/opinion/forum/125/. (in Japanese) (2021).
Nippon Foundation. 18-Year-Old Attitude Survey, Vol. 34, Regarding decarbonization. Available at: https://www.nippon-foundation.or.jp/app/uploads/2021/02/new_pr_20210225_5.pdf. (in Japanese) (2021).
Teikoku DataBank. Companies toward greenhouse gas reduction. Available at: https://www.tdb.co.jp/report/watching/press/p210107.html. (in Japanese). (2021).
Luderer, G. et al. Assessment of wind and solar power in global low-carbon energy scenarios: an introduction. Energy Economics 64, 542–551 (2017).
Schreyer, F. et al. Common but differentiated leadership: strategies and challenges for carbon neutrality by 2050 across industrialized economies. Environ. Res. Lett. 15, 114016 (2020).
Obane, H., Nagai, Y. & Asano, K. Assessing land use and potential conflict in solar and onshore wind energy in Japan. Renew. Energy 160, 842–851 (2020).
Obane, H., Nagai, Y. & Asano, K. Assessing the potential areas for developing offshore wind energy in Japanese territorial waters considering national zoning and possible social conflicts. Marine Policy 129, 104514 (2021).
Cherp, A., Vinichenko, V., Jewell, J., Suzuki, M. & Antal, M. Comparing electricity transitions: A historical analysis of nuclear, wind and solar power in Germany and Japan. Energy Policy 101, 612–628 (2017).
Ageny for Natural Resources and Energy. Japan Energy 2021 Edition “10 Questions to Know the Present of Energy”. Available at: https://www.enecho.meti.go.jp/about/pamphlet/energy2021/007/. (in Japanese) (2021).
Kameyama, Y. Climate change policy in Japan: from the 1980s to 2015. Routledge, London (2016).
Kameyama, Y. Climate change policy: Can new actors affect Japan’s policy-making in the Paris Agreement era? Social Sci. Japan J. 24, 67–84 (2021).
Poortinga, W., Aoyagi, M. & Pidgeon, N. F. Public perceptions of climate change and energy futures before and after the Fukushima accident: A comparison between Britain and Japan. Energy Policy 62, 1204–1211 (2013).
Arimura, T. H., & Matsumoto, S. (Eds.) Carbon Pricing in Japan. Springer Nature, Singapore. https://doi.org/10.1007/978-981-15-6964-7 (2021).
Trencher, G., Rinscheid, A., Duygan, M., Truong, N. & Asuka, J. Revisiting carbon lock-in in energy systems: explaining the perpetuation of coal power in Japan. Energy Res. Social Sci. 69, 101770 (2020).
Hughes, L., & Downie, C. Bilateral finance organizations and stranded asset risk in coal: the case of Japan. Clim. Policy 1–16 (2021).
International Renewable Energy Agency (IRENA). Renewable power generation costs in 2021. Available at: https://irena.org/publications/2022/Jul/Renewable-Power-Generation-Costs-in-2021 (2022).
Japan Photovoltaic Energy Association (JPEA) Policy Committee. Study report on the potential of the cost reduction in solar photovoltaics. Available at: https://www.jpea.gr.jp/wp-content/uploads/JPEA_report220225.pdf. (in Japanese) (2022).
Future Earth, Sustainability in the Digital Age, and International Science Council. Global Risks Perceptions Report 2021. Future Earth Canada Hub (2021).
Otto, I. M. et al. Social tipping dynamics for stabilizing Earth’s climate by 2050. Proc. Natl. Acad. Sci. 117, 2354–2365 (2020).
World Economic Forum. The Global Risks Report 2022, 17th Edition. Available at: https://www3.weforum.org/docs/WEF_The_Global_Risks_Report_2022.pdf (2022).
Pozo, C., Galán-Martín, Á., Reiner, D. M., Mac Dowell, N. & Guillén-Gosálbez, G. Equity in allocating carbon dioxide removal quotas. Nat. Clim. Change 10, 640–646 (2020).
Lee, K., Fyson, C. & Schleussner, C.-F. Fair distributions of carbon dioxide removal obligations and implications for effective national net-zero targets. Environ. Res. Lett. 16, 094001 (2021).
Renewable Energy Institute, Agora Energiewende, LUT University. Study on behalf of RenewableEnergy Institute and Agora Energiewende. Available at: https://www.agora-energiewende.de/en/publications/renewable-pathways-to-climate-neutral-japan/ (2021).
Study Group on the Appropriate Introduction and Management of Renewable Energy Power Generation Facilities, Recommendations. Ministry of Economy, Trade, and Industry, Japan. (2022).
Motosu, M. & Maruyama, Y. Local acceptance by people with unvoiced opinions living close to a wind farm: A case study from Japan. Energy Policy 91, 362–370 (2016).
Sugiyama, M. et al. EMF 35 JMIP study for Japan’s long-term climate and energy policy: Scenario designs and key findings. Sustain. Sci 16, 355–374 (2021).
Matsuo, Y. et al. A quantitative analysis of Japan’s optimal power generation mix in 2050 and the role of CO2-free hydrogen. Energy 165, 1200–1219 (2018).
Research Group on Energy Transition for the Future (Miraino tame no enerugi tankan kenkyu gurupu. Zero nuclear power and energy transformation strategy: Toward the establishment of energy democracy for the revitalization of the Japanese economy. (Gempatsu zero enerugi tenkan senryaku: Nihon Keizai saisei no tame no enerugi minshushugi no kakuritsu e). Available at: http://energytransition.jp/wp-content/uploads/2020/03/ETSreport20200222.pdf (Japanese) (2020).
Nikkei. All-out war efforts for decarbonization and energy security (Datsu tanso, enerugi antei e soryokusen de idome). Available at: https://www.nikkei.com/article/DGXZQOUA093HW0Z00C22A9000000/. (Japanese) (2022).
Japan Atomic Energy Relations Organization (JAERO). Press release (The annual opinion survey on peaceful use of nuclear energy). Available at https://www.jaero.or.jp/data/01jigyou/pdf/tyousakenkyu2021/summary_2021_english.pdf [last accessed June 17, 2023]. (2022).
Agency for Natural Resources and Energy. White paper on energy (Enerugi hakusho). (2023).
Stirling, A. “Opening Up” and “Closing Down”: Power, participation, and pluralism in the social appraisal of technology. Sci. Technol. Human Values 33, 262–294 (2008).
Morgan, M. G., Henrion, M., & Small, M. Uncertainty: A Guide to Dealing with Uncertainty in Quantitative Risk and Policy Analysis. Cambridge University Press. (1992).
Morgan, M. G. Use (and abuse) of expert elicitation in support of decision making for public policy. Proc. Natl. Acad. Sci. 111, 7176–7184 (2014).
Kunda, Z. The case for motivated reasoning. Psychol. Bull. 108, 480 (1990).
Montibeller, G. & Von Winterfeldt, D. Cognitive and motivational biases in decision and risk analysis. Risk Anal. 35, 1230–1251 (2015).
Kahan, D. M. The Politically Motivated Reasoning Paradigm, Part 1: What Politically Motivated Reasoning Is and How to Measure It (R. A. Scott & S. M. Kosslyn, Eds.). Emerging Trends in the Social and Behavioral Sciences, 1–16. .https://doi.org/10.1002/9781118900772.etrds0417 (2016).
Brennan, G. & Southwood, N. Feasibility in Action and Attitude, in T. Rønnow-Rasmussen, B. Petersson, J. Josefsson and D. Egonsson (eds), Hommage á Wlodek: Philosophical Papers Dedicated to Wlodek Rabinowicz. Available at: http://www.fil.lu.se/hommageawlodek/site/papper/Brennan&Southwood.pdf [Accessed 29 December 2022]. (2007).
Victor, D. G., Lumkowsky, M. & Dannenberg, A. Determining the credibility of commitments in international climate policy. Nat. Clim. Change 12, 793–800 (2022).
Kriegler, E., Hall, J. W., Held, H., Dawson, R. & Schellnhuber, H. J. Imprecise probability assessment of tipping points in the climate system. Proc. Natl. Acad. Sci. 106, 5041–5046 (2009).
Walley, P. Statistical Reasoning with Imprecise Probabilities (Vol. 42). London: Chapman and Hall. (1991).
Coolen, F. P., Troffaes, M. C., Augustin, T. Imprecise Probability. In: Lovric, M. (eds). International Encyclopedia of Statistical Science. Springer, Berlin, Heidelberg. https://doi.org/10.1007/978-3-642-04898-2_296 (2011).
Mastrandrea, M. D. et al. Guidance Note for Lead Authors of the IPCC Fifth Assessment Report on Consistent Treatment of Uncertainties. Intergovernmental Panel on Climate Change (IPCC). (2010).
Li, F. G. N. & Pye, S. Uncertainty, politics, and technology: Expert perceptions on energy transitions in the United Kingdom. Energy Res. Social Sci. 37, 122–132 (2018).
United Nations Framework Convention on Climate Change. Available at: https://unfccc.int/resource/docs/convkp/conveng.pdf (1992).
United Nations Paris Agreement. Available at: https://unfccc.int/sites/default/files/english_paris_agreement.pdf (2015).
Fisher-Vanden, K. & Weyant, J. The Evolution of Integrated Assessment: Developing the Next Generation of Use-Inspired Integrated Assessment Tools. Ann. Rev. Res. Econom. 12, 471–487 (2020).
Keppo, I. et al. Exploring the possibility space: Taking stock of the diverse capabilities and gaps in integrated assessment models. Environ. Res. Lett. 16, 053006 (2021).
Nowotny, H. Democratising expertise and socially robust knowledge. Sci. Public Policy 30, 151–156 (2003).
Duygan, M., Kachi, A., Oeri, F., Oliveira, T. D., & Rinscheid, A. A survey of stakeholders’ views and practices. Swiss Energy Governance. Springer, New York, 369–396. https://doi.org/10.1007/978-3-030-80787-0_15 (2021).
IPCC authors. IPCC authors database, available at: https://apps.ipcc.ch/report/authors/authors.php?r=35&a=21esta (2022).
Acknowledgements
JY was supported by JSPS KAKENHI Grant Number JP 22K18070, Waseda SRP 2021C-690. MS was supported by JSPS KAKENHI Grant Number JP21H03668 and the Environment Research and Technology Development Fund (JPMEERF20212004) of the Environmental Restoration and Conservation Agency of Japan. HS was supported by the Environment Research and Technology Development Fund (JPMEERF20211001) of the Environmental Restoration and Conservation Agency of Japan.
Author information
Authors and Affiliations
Contributions
M.S. conceived the study and J.Y., M.S. and H.S. jointly designed the study. J.Y., M.S. and H.S. performed the initial interviews and designed the survey instrument. M.S. and H.S. conducted the surveys. J.Y. performed visualization and conducted statistical analysis, and J.Y., M.S. and H.S. interpreted the results, wrote and edited the manuscript.
Corresponding authors
Ethics declarations
Competing interests
The authors declare no competing interests.
Peer review
Peer review information
Communications Earth & Environment thanks the anonymous reviewers for their contribution to the peer review of this Fiona Tang, Heike Langenberg. A peer review file is available.
Additional information
Publisher’s note Springer Nature remains neutral with regard to jurisdictional claims in published maps and institutional affiliations.
Rights and permissions
Open Access This article is licensed under a Creative Commons Attribution 4.0 International License, which permits use, sharing, adaptation, distribution and reproduction in any medium or format, as long as you give appropriate credit to the original author(s) and the source, provide a link to the Creative Commons license, and indicate if changes were made. The images or other third party material in this article are included in the article’s Creative Commons license, unless indicated otherwise in a credit line to the material. If material is not included in the article’s Creative Commons license and your intended use is not permitted by statutory regulation or exceeds the permitted use, you will need to obtain permission directly from the copyright holder. To view a copy of this license, visit http://creativecommons.org/licenses/by/4.0/.
About this article
Cite this article
Ju, Y., Sugiyama, M. & Shiraki, H. Perceived feasibility and potential barriers of a net-zero system transition among Japanese experts. Commun Earth Environ 4, 431 (2023). https://doi.org/10.1038/s43247-023-01079-8
Received:
Accepted:
Published:
Version of record:
DOI: https://doi.org/10.1038/s43247-023-01079-8








