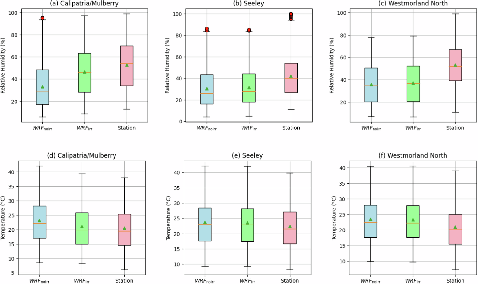
Fig. 5: Effect of irrigation on modeled humidity and temperature.

Box plot for a–c humidity and d–f temperature for CIMIS sites. \({{WRF}}_{{noirr}}\) and \({{WRF}}_{{irr}}\) correspond to the model simulations without and with irrigation. The green triangle represents the mean, the horizontal line within the box represents the second quartile (median), and the lower (upper) end of the box represents the first (third) quartile. The lower (upper) whiskers represent (Q1 – 1.5 × IQR) and (Q3 + 1.5 × IQR), respectively, where IQR is the interquartile range; the red dots represent the outliers outside this range.