Abstract
Farmworkers, the frontline workers of our food system, are often exposed to heat stress that is likely to increase in frequency and severity due to climate change. Irrigation can either alleviate or exacerbate heat stress, quantification of which is crucial in intensely irrigated agricultural lands such as the Imperial Valley in southern California. We investigate the impact of irrigation on wet bulb globe temperature (WBGT), a key indicator of heat exposure in humans, using a validated high-resolution Weather Research and Forecasting (WRF) regional climate model, during day and night and in different seasons. We find that irrigation reduces WBGT by 0.3–1.3 °C during the daytime in summer due to strong evaporative cooling. However, during the summer nights, irrigation increases WBGT by 0.4–1.3 °C, when a large increase in humidity sufficiently raises the wet-bulb temperature. Urban and fallow areas adjacent to cropped fields also experience increased heat stress due to moisture advection from irrigated areas. Our results can inform heat-related policies in agricultural regions of California and elsewhere.
Similar content being viewed by others
Introduction
Human heat stress is a critical public health concern globally, especially for farmworkers in hot and arid regions, and is likely to increase in frequency and severity, given the recent and projected increases in global warming and heatwaves1,2,3,4. Outdoor workers, including those in agriculture, construction, and landscaping, are at special risk of exposure in the United States5 and globally6. Extreme heat stress can cause heat cramps, heat rashes, fainting, muscle rupture7, kidney dysfunction8,9, and death due to heat strokes1. Despite regulations at State and Federal levels, farmworkers are at high risk of heat-related illnesses10,11, partly due to a lack of heat-related knowledge and practices among farmworkers12. Heat stress limits are frequently exceeded in the agricultural fields of the United States13,14 and Mexico15.
Land cover impacts near-surface climate and heat stress exposure at local scales, due to the urban heat island effect16,17,18 and reduced air temperatures in irrigated areas19,20. Irrigation impacts local climate by increasing evapotranspiration (ET)21, which decreases sensible heat flux and increases latent heat fluxes20, and by increasing the soil heat capacity and thermal conductivity22. Irrigation can either increase or decrease human heat stress, since irrigation decreases air temperature, but also increases humidity, which reduces evaporative cooling effects of perspiration20,23. Most global and regional climate model simulations do not generally include the effect of irrigation24; even if they do, the effect may be unrealistic at coarse spatiotemporal resolutions. Therefore, high-resolution simulation is crucial in irrigated lands. Some previous studies have quantified the effect of irrigation on temperature globally24,25 at a coarse spatial resolution. A few works have also studied the impact of irrigation on heat stress on a regional scale, in California26, India20,27, and China, but still at coarse spatial resolution19,20,27. Accurate evaluation of the effect of irrigation on a regional scale is critical because coarse-resolution simulations without irrigation tend to have systematic biases in near-surface atmospheric fields25,28,29. Therefore, in this work, we mainly focus on accurately quantifying the effect of irrigation on temperature and heat stress using a well-validated regional climate model in the crop fields of the Imperial Valley (IV), one of the largest and most productive agricultural regions of California, where irrigation is heavily applied.
Our focus on Imperial Valley is particularly valuable because in addition to the heavy irrigation and intensive outdoor labor, this region is also characterized by a significant positive relation between soil moisture and wet-bulb temperature (WBT), and thus heat stress amplification by irrigation is more likely30. Most previous studies focused on the cooling effects of irrigation on dry-bulb temperature (DBT)24,31. Others have also found irrigation or soil moisture to amplify WBT23,30,32. However, neither DBT nor WBT is a good heat stress metric. DBT excludes the effects of humidity, while WBT depends heavily on humidity, and neither includes radiation or wind. The commonly used heat index (HI)26 also does not contain radiation or wind. Therefore, one of our main objectives is to re-examine irrigation's impact on heat stress using the wet bulb globe temperature (WBGT).
Several indices are used to quantify heat stress33,34, all of which agree that heat stress is amplified by high humidity but disagree on the importance of humidity35. Although there is no consensus around which heat index is the most robust indicator of heat stress, WBGT has become an occupational international standard in current practice36,37. Unlike other simple heat stress indices that typically include the effect of air temperature and humidity only, such as HI, WBGT additionally considers the effect of solar and thermal radiation and wind speed and thus provides a more reliable measure of heat stress in outdoor environments.
The feasibility of calculating WBGT from climate models has been demonstrated recently38, however, at a coarse spatial resolution (1° × 1°). The Weather Research and Forecasting (WRF) model is a widely used regional climate model for both research39 and operational weather forecasting40. Although WRF has been used to model WBGT indirectly in select urban regions41, it has not yet been directly used for heat stress modeling, particularly in the United States, or in regions with both irrigated agriculture and urban areas.
Previous studies have measured WBGT in agricultural regions through field surveys10,11,42,43,44,45. However, a regional assessment of heat stress at the field scale using WBGT has not been done in California or in the US46. Regional climate models like WRF provide all parameters needed to calculate WBGT such as air temperature, humidity, and radiation, and at spatiotemporal scales relevant to management and policy. Numerous papers have assessed heat stress under projected climate-change scenarios, at coarse resolution on global scales47,48,49,50,51, and more recently using WBGT at ~5 km, daily resolution, as part of CMIP6 project52, all of which use either HI or simplified empirical expressions for WBGT. Attempts have also been made to map heat stress at high spatial resolution in California using simple heat indices with remote sensing53 as well as regional climate modeling54,55, but not with WBGT. One key reason why WBGT is not widely used in climate projections or has been inaccurately modeled is because of the unavailability of radiation components in climate datasets.
The WBGT for outdoor environments is given by the following equation56,57,
where WBT is the natural wet-bulb temperature, typically measured by a ‘wet-bulb’ thermometer, BGT is the black globe temperature (or simply globe temperature) measured by a black globe thermometer, and DBT is the dry-bulb temperature (or simply air temperature measured in weather stations).
The WBGT evolved from its predecessor, Effective Temperature, in search of a simpler heat stress metric. The weights of the WBGT equation were initially determined to closely approximate the Effective Temperature but they have been subsequently evaluated rigorously in military settings56. Although WBT has the largest weight in calculating WBGT (70%), BGT (20%) has a substantially larger dynamic range than WBT so both components can have a significant influence on WBGT58. For example, the evaluation of WBGT during 27 Army training exercises over three summer months at Quantico, Virginia showed that the BGT alone explained 59% of the variation, with WBT explaining only 17% variation57.
Although WBGT is an international occupational health standard, its past use has been limited to a few large institutions such as the US Army and some athletic organizations59,60,61. However, it is now being widely used by several other agencies, climate scientists, and weather forecasters. Still, the adoption of WBGT for heat stress monitoring remains challenging for two main reasons. First, it is difficult to measure natural WBT because it requires continuous maintenance of the ‘wetting’ of a wet-bulb thermometer. In fact, commonly available WBGT measurement devices do not directly measure WBT with a ‘wet bulb’ but calculate it indirectly as a function of air temperature and humidity. Second, deployment of WBGT in large fields such as Imperial Valley (IV) farmlands is cost-prohibitive. Attempts have been made to calculate WBGT using commonly available data from weather stations58,62 as well as deriving it empirically from HI63. A few others have incorporated solar radiation64 (shortwave radiation) because it is also a commonly measured parameter in many weather stations. However, thermal radiation is also an important contributor of WBGT and is not typically measured in weather stations. For example, heat stress incidents can still occur on cloudy days when cumulus clouds of a passing warm front emit thermal radiation56. The WRF model is useful in this regard because it can provide all the parameters required for calculating WBGT, including solar and thermal radiation.
Given the research gaps in measuring heat stress and the need for its continuous monitoring, we quantify WBGT at 1-km resolution using a robust, well-validated regional climate model WRF (WRF-IV) for a hyper-arid irrigated area in the southwestern United States (Imperial Valley, California) (Fig. 1). Using high-resolution vegetation data and an irrigation scheme within WRF (see “Methods” section), we explore the following two research questions:
a Study region of interest (d03) over the Imperial Valley b the location of stations used for model validation on a Google Earth image with the Salton Sea at the center. Stations from CIMIS and CARB (Table 1) are marked with green and red circles; our stations measuring black globe temperature are marked with white circles.
1. How does irrigation change humidity, air temperature, and WBGT?
2. How accurately can WBGT be estimated using a regional climate model?
Study area
The IV contains highly fertile agricultural land that produces over two-thirds of the winter vegetables such as lettuces consumed in the US65. The All-American Canal, completed in 1942, brings about 3.1 million acre-feet of water from the Colorado River to irrigate the IV. California, mainly the Central Valley and the IV, produces over two-thirds of fruits and nuts and over one-third of vegetables consumed in the US66, with the labor of 829,000 individual farmworkers or 410,900 full-time equivalent jobs42,67. Most of the farmworkers in the IV are of Hispanic origin coming for seasonal work from the bordering town of Mexicali, Mexico10. IV has a number of socio-environmental and public health issues: about 25% of the population lives in poverty68, suicide is the third leading cause of death69, and one in five children has asthma70. County-level worker compensation data from 2000 to 2017 over California showed that Imperial Valley County has 36.6 heat illness cases per 100,000 workers, which is the highest in California71.
Irrigation is critical in IV crop fields – the average amount of irrigation applied to the cropped fields (~5 ft per year) is more than 20 times the average annual rainfall in the region (~2.9 inches). Many different crops are grown in the Imperial Valley in all seasons, but not all crops have high labor requirements (e.g., alfalfa cultivation is highly mechanized) and not all seasons are critical for heat stress (e.g., winter). Based on an analysis of the time series of greenness from satellite imagery and discussion with farmworkers, we identify three harvesting months, which are critical from heat exposure perspectives—April, June, and August.
April has the highest greenness in the year as per the leaf area index (LAI) data in the study area (Supplementary Fig. S1). Leafy greens (lettuces), onions, and carrots are harvested in April and have high labor requirements for harvest although their planting is fully mechanized. Melons and corn are typically harvested in late spring and early summer and have high labor requirements so we also consider June in our study. Dates and grapes are harvested in summer through fall, so we also consider August. Date palms, which are typically grown in Coachella Valley and northeastern IV, are typically managed and harvested in the daytime and have considerable labor requirements in different stages, e.g., trimming, netting, and harvesting. Many farmworkers migrate north to the Coachella Valley in late summer for work in the vineyards and date palm fields.
Results
Model validation
Our WRF-IV model has two improvements over other regional climate models of the region: inclusion of irrigation, triggered by LAI thresholds, and updated leaf area index (LAI) data, which has higher spatial resolution of 0.5 km (Supplementary Fig. S2c) and varies for each year and month of the simulation, compared to two existing LAI datasets that are climatological averages and have coarser resolutions (10 arc-min and 30 arc-sec) typically used in WRF modeling (Supplementary Fig. S2a, b). The new LAI data resolve the spatiotemporal details of croplands and urban areas better than the existing two datasets, as shown by the difference map between new and 30 arc-sec LAI data (Supplementary Fig. S2d). For example, large solar arrays west of Calexico city (~32.6 N, 115.6 W, red circle) show large negative differences in LAI, indicating that these areas are erroneously assigned high LAI values in the existing LAI data, partly because these data were derived using climatological average values (2001–2010) and partly because of lower spatial resolution.
The diurnal cycle of temperature and humidity is captured well by the model, as shown in the time series plot for representative agricultural (Calipatria/Mulberry) and desert (Cahuilla) sites (Fig. 2). The WRF-IV model shows excellent performance for temperature (Pearson’s correlation coefficient (Rho) >0.90 in all 11 sites) and good performance for relative humidity (Rho >0.80 at majority of sites) (Table 1). Including irrigation in the model reduced air temperature and increased relative humidity compared to the non-irrigated model, reducing error and bias in both variables (Supplementary Table S1). Simulated wind speed and solar radiation also show reasonable agreements with station measurements (Supplementary Table 2). Relative humidity is overestimated in the first week of April and underestimated in some days in the latter half of April. This is likely due to inadequate soil type data that did not fully resolve the variability in soil field capacity particularly when it was still raining until the first week of the month (Supplementary Fig. S3). In late April when the temperature increases sharply (Fig. 2c, d), the relative humidity is slightly underestimated.
a, b 2-m air temperature. c, d 2-m relative humidity.
WBGT validation
The modeled WBGT* (see “Methods” section) values correlate closely with station-derived WBGT* values, with RMSE less than 1.28 °C for all sites and less than 0.71 °C for agricultural sites (Fig. 3a–i). The model performance is better in agricultural or urban-agricultural sites (e.g., Calipatria, Seeley, Westmorland North, and Niland-English road) but generally weaker in stations that are located close to the Salton Sea (e.g., Sonny Bono and Salton City). This is partly because a much finer resolution simulation is required to fully resolve the exchange of heat and momentum in these coastal transition zones72,73.
a–c CIMIS sites (d–i) CARB sites. WBGT* represents the first and third terms of the WBGT equation (eq. 1) excluding the second term. j–l Model-derived hourly BGT vs. station-measured BGT for a different period May 21-June 22, 2024.
Comparison of modeled BGT with measured BGT data from three of our recently installed stations at Westmorland, Coachella, and El Centro (Fig. 1) show good agreement (Fig. 3j–l). The model performance is very good at the urban (El Centro) and agricultural sites (Westmorland) but moderate at the date palm (Coachella) site. This is reasonable given the tall date palm trees at the Coachella site, which again requires a much finer resolution to fully resolve the local circulation.
Irrigation effect
The model without irrigation greatly underestimates the ET in the cropped areas (compare Fig. 4a, b for April). Application of irrigation increases ET remarkably (from ~0–20 to ~100–140 mm per month) and brings it closer to the satellite-derived ET estimates (Fig. 4c, d).
a ET simulated by WRF with no irrigation (b) same as (a) but with irrigation (c) ET from OpenET SIMS model (d) ET from OpenET PT-JPL model.
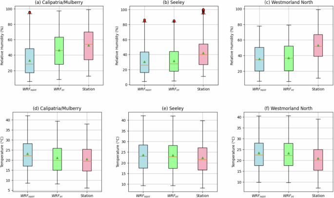
Irrigation increases modeled humidity and reduces the modeled air temperature, bringing them closer to station values, which is particularly prominent at the agricultural site Calipatria (Fig. 5). Although Seeley and Westmorland North stations lie within agricultural fields, they are located near urban centers where the wind flow and moisture transport becomes more complex. Model error at these stations does not decrease by adding irrigation.
Box plot for a–c humidity and d–f temperature for CIMIS sites. \({{WRF}}_{{noirr}}\) and \({{WRF}}_{{irr}}\) correspond to the model simulations without and with irrigation. The green triangle represents the mean, the horizontal line within the box represents the second quartile (median), and the lower (upper) end of the box represents the first (third) quartile. The lower (upper) whiskers represent (Q1 – 1.5 × IQR) and (Q3 + 1.5 × IQR), respectively, where IQR is the interquartile range; the red dots represent the outliers outside this range.
In April daytime, irrigation decreases WBGT in crop fields and slightly increases WBGT values in nearby urban areas (e.g., Westmorland, Brawley) and fallow/uncultivated fields (Fig. 6a). At night, the increase in WBGT becomes more prominent particularly in the downwind desert areas east of the IV crop fields and southeastern region including the cultivated areas east of Mexicali (Fig. 6b). In August, both effects are remarkably stronger: daytime shows a strong reduction in WBGT (Fig. 6c) while nighttime shows a consistent increase in WBGT across all crop fields (Fig. 6d).
a, b April and c, d August, 2020. \({{WBGT}}_{{noirr}}\) and \({{WBGT}}_{{irr}}\) correspond to the model simulations without and with irrigation.
The grid cells showing a stronger (weaker) change in WBGT have lower (higher) p-values as evaluated by a t-test of the difference in means between irrigated and non-irrigated model scenarios, which is consistent with the stronger (weaker) effect of irrigation (Supplementary Fig. S4). In April and August daytime, 42 and 1394 grid points (~42 \({{km}}^{2}\) and 1394 \({{km}}^{2}\)), respectively, have statistically significant decreases in WBGT at a 10% significance level, with no grid points showing a significant increase in WBGT (Supplementary Fig. S5a, c). In the nighttime, 93 and 1469 grid points show a significant increase in WBGT in April and August, respectively, while 190 (April) and 27 (August) grid points show a significant decrease in WBGT (Fig. S5b, d). Considering only grids with statistically significant (p < 0.1) change, irrigation reduces monthly average daytime WBGT by 0.4–0.7 °C depending upon the location and increases nighttime WBGT by 0.4–0.6 °C in spring (April). Similarly, irrigation reduces daytime WBGT by 0.3–1.3 °C and increases nighttime WBGT by 0.4–1.3 °C in August.
Physical mechanisms of irrigation impact
The impacts of irrigation on WBGT are a consequence of the impact of irrigation on WBGT’s three constituent terms (DBT, WBT, and BGT). These three terms are ultimately governed by changes in underlying physical parameters such as humidity, evapotranspiration, air temperature, soil moisture, land surface temperature, radiation, and sensible/latent heat. Below we explain how irrigation impacts DBT, WBT, and BGT along with the associated physical parameters.
Irrigation impacts all three terms of the WBGT equation: WBT, BGT, and DBT (Fig. 7). We observed irrigation-induced reduction in BGT and DBT over most of the study area both in April and August, but some areas in the southeastern part of the domain show an increase in nighttime BGT and DBT in August. The similar pattern of increase in nighttime DBT and BGT in August indicates that they are correlated (Fig. 7). This contrasting impact of irrigation on DBT and BGT in April and August is one key factor leading to the contrasting impact of irrigation on nighttime WBGT in April and August.
Difference in temperatures between irrigation-on and irrigation-off simulations presented separately for daytime and nighttime for A April and B August, 2020.
The increase in nighttime DBT and BGT due to irrigation in August may be explained by the change in soil temperature or skin temperature (TSK) due to irrigation. While TSK generally decreases in most of the IV area regardless of the month, nighttime TSK also increases in some areas in the southeastern region in August (Fig. S6). In these areas, the patterns of DBT and BGT increase are also consistent with that of TSK increase, suggesting that the increase in TSK is also associated with the increase in DBT and BGT.
The TSK decreases due to irrigation in most IV crop fields both day and night, which is consistent with previous studies19. However, the nighttime TSK increases with irrigation in the southeast of the domain, only in August and not in April. One potential hypothesis is that in August, the air moisture accumulation in the daytime is larger (Fig. S7), potentially due to more intense irrigation and stronger incoming solar radiation that drives surface evaporation. At night, more air moisture may reduce the surface longwave cooling which leads to the increase in TSK during August nights. In addition, the stronger daytime incoming solar radiation in August combined with larger increases in soil heat capacity and conductivity (because of more irrigation and higher soil moisture; see Fig. S8) may lead to more heat storage in the soil during daytime which also contributes to a higher TSK at nighttime22. This hypothesis is consistent with the different responses of nighttime SH and LH during August and April (Fig. S6). Compared with April, the nighttime SH decrease (LH increase) in response to irrigation is weaker (stronger) in August. The signs of changes in soil moisture (SM), latent heat (LH), and sensible heat (SH) are consistent in the wet (April) and dry (August) periods (Fig. S6). The SM, LH, and specific humidity increase while the SH decreases due to irrigation, consistent with previous studies. These results demonstrate that our results are physically plausible and consistent with the literature20,27.
The widespread reduction in DBT and BGT with irrigation is consistent in both wet (April) and dry (August) months, which can be attributed to widespread evaporative cooling of the crop fields, as demonstrated by increases in LH and reduction of SH. The larger increase in LH in the daytime than in the nighttime (Fig. S6) indicates stronger evaporative cooling in the daytime, which reduces DBT and BGT more strongly, ultimately causing a larger reduction in WBGT in the daytime than at night (Fig. 6).
Irrigation consistently increases WBT regardless of the season but the increase is remarkably higher in August nights (Fig. 7), another key factor for the contrasting impact of irrigation on WBGT in August and April nights (Fig. 6). The large increase in WBT in August night leads to uniform increases in WBGT in the entire IV region in contrast to April night, which shows mixed impact on WBGT due to a smaller increase in WBT with irrigation. The pattern of WBT changes in August nights (Fig. 7dB) is also similar to that of WBGT, which indicates that the increase in WBGT is strongly governed by increased WBT. In April nights, only the southeastern parts of the domain (Fig. 6b), where the increase in WBT is very strong (Fig. 7dA), have increased WBGT with irrigation (Fig. 6a). In other cropped areas, the reduction in BGT and DBT is much stronger compared to the increase in WBT (Fig. 7), thus these areas do not show a net increase in WBGT in April nights. On August nights, the reduction in BGT and DBT due to irrigation is not as strong as on April nights (Fig. 7), thus WBGT uniformly increases across the entire domain (Fig. 6).
The increase in WBT can be explained by the increase in specific humidity due to irrigation. Irrigation has marked effects on humidity (Fig. 8) through the increase in evapotranspiration (Fig. 4). The increase in humidity in the model with irrigation is much larger in August (Fig. 8d) than in April (Fig. 8b), which explains why there is a larger increase in WBT in August than in April (Fig. 7). This differential change in humidity can be attributed to the higher temperature and larger amount of irrigation water applied by the model in August (supplementary Fig. S8b) than in April (Fig. S8a). Note that the model applies different amounts of irrigation water in different grid cells to bring the current soil moisture to the field capacity. The northern IV crop fields show more irrigation applied, particularly in August (Fig. S8b), because of the lower modeled soil moisture in these areas compared to southern areas (not shown).
Mean 2-m specific humidity from WRF irrigation-off simulations for a April and c August, 2020 and the difference between irrigation on and irrigation-off simulations for b April and d August, 2020.
Atmospheric moisture advection also impacts WBGT in the study area. Pre-irrigation humidity is higher in August than in April (compare Fig. 8a, c) due to moisture advection from the Salton Sea. In the nighttime, the air above the Salton Sea remains warmer than the air above the surrounding land, causing higher specific humidity levels over the Salton Sea (supplementary Fig. S7), which gets advected to the crop fields. The advected moisture gets confined to the eastern side of the cropped region because of the westerly/southwesterly downslope winds, which are stronger at night (Fig. S9). Because of higher background atmospheric moisture, there is a larger increase in WBT on the eastern side of the crop fields at night (Fig. 7). We also observed a larger increase in specific humidity due to irrigation in the nighttime than in the daytime (not shown) in both April and August, which explains the larger increase in WBT at night (Fig. 7).
WBGT increased in the urban/fallow areas in the model with irrigation, likely caused by a moisture advection from nearby crop fields. Irrigation reduces air temperature (DBT) in the crop fields (Fig. 7, first row), so WBGT likely does not increase in the urban/fallow areas through heat advection. Since irrigation is only applied in the crop fields, we hypothesize that the irrigation affects the urban and fallow areas through moisture transport from the crop fields. To examine this hypothesis further, we calculated the average increase in specific humidity in the urban/fallow areas following irrigation by identifying the urban/fallow areas (blue box in supplementary Fig. S6), where irrigation water applied is zero. The urban/fallow grids still experienced an average increase in humidity of 2.9 \({{g\; kg}}^{-1}\) in the daytime and 6.3 \({{g\; kg}}^{-1}\) in April nights through moisture transport. The increase in humidity in urban areas is about 50% of the increase observed in cropped areas where irrigation is applied. The contrasting effect of irrigation on WBGT in crop fields and urban/fallow areas occurs in August as well (Fig. 6c, d); the overall increase in WBGT in urban areas and decrease in crop fields is much stronger in August than in April in response to more irrigation water applied in August (Fig. S6).
In addition to the direct physical mechanisms affecting WBGT, there can be additional feedback from larger-scale atmospheric processes. For example, the cooling of the crop fields can reduce the boundary layer height20, which restricts mixing in the boundary layer, consequently increasing the near-surface air temperature. A more in-depth exploration of the underlying physical mechanisms by which irrigation impacts WBGT is out of the scope of this study. The proposed contrasting physical mechanisms by which irrigation increases or decreases WBGT, in crop fields and urban/fallow areas, and in day and night time, are summarized in the accompanied schematic diagram (Fig. 9).
WBGT (Wet Bulb Globe Temperature), WBT (Wet Bulb Temperature), BGT (Black Globe Temperature), Dry-Bulb Temperature (DBT), SHUM (Specific Humidity), LH (Latent Heat), SH (Sensible Heat), LST (Land Surface Temperature), SM (Soil Moisture). The parameters are listed in the approximate order in which they get affected by irrigation beginning with SM. The upward and downward arrows represent the increasing and decreasing effects of irrigation, respectively.
Discussion and summary
We presented a robust high-resolution regional climate model (WRF) for irrigated agriculture and urban areas, with a case study in the Imperial Valley, and used the high-resolution output fields from WRF to calculate heat stress (Wet Bulb Globe Temperature) using the thermofeel Python library74. Although there are a few localized studies conducted in the Central Valley and Imperial Valley to assess heat stress11,42, this study is the first that deploys a regional climate model to calculate WBGT at a crop-field scale in the entire Imperial Valley. We also examined the impact of irrigation on heat stress in detail, in urban and cropped areas, and in daytime and nighttime. The spatial resolution of our WBGT simulation (1 km) closely represents the microclimate variability of the crop fields, whose typical size is ~0.8 km × 0.8 km, and are often cultivated together to form a much larger effective crop field. We employed two-stage validation in this study, one for the input parameters including the black globe temperature, and another for the calculated WBGT components, to evaluate the accuracy of our model calculated results.
Our results show that irrigation generally reduces WBGT during the daytime due to widespread evaporative cooling of the crop fields with an average reduction in WBGT of 0.3–1.3 °C in summer. On summer nights, irrigation increases WBGT by 0.4–1.3 °C, because the increase in WBT by the increased humidity becomes larger than the reduction in DBT and BGT by evaporative cooling. Increased nighttime heat stress following irrigation is more prominent in the downwind areas as well as in areas bordering crop fields (Fig. 6) where irrigation increases nighttime land surface temperature (Fig. S6). Irrigation also increases WBGT in nearby urban, fallow, and desert areas where advected moisture from nearby crop fields increases the WBT.
In summary, the key findings of this study are: (1) unlike WBT, which is consistently amplified by irrigation (Fig. 7), WBGT can either increase or decrease in response to irrigation (Fig. 6), (2) the daytime WBGT generally decreases but nighttime WBGT is more likely to increase with irrigation, (3) whether WBGT is amplified or reduced may depend on the background climate, (4) irrigation also increases WBGT in urban, fallow, and desert areas nearby the irrigated crop fields.
Model error is reduced by including irrigation. The warm temperature bias is reduced after including irrigation, which is consistent with previous studies25,75. Our results of widespread cooling of crop fields due to irrigation are also consistent with the literature20,23,27. The increase in nighttime heat stress is consistent with Wouters et al.23 and Mishra et al.20 both of which showed increases in heat stress with increased humidity following irrigation20 or during cooler periods23. Our results also show an increase in WBGT at night (and in cooler periods) due to a larger increase in humidity or WBT at night than in the daytime (Fig. 8). In the daytime, strong evaporative cooling completely offsets the increase in WBT, reducing heat stress in crop fields. Although the application of irrigation greatly improved the accuracy of modeled air temperature and humidity in the agricultural areas, improvement in urban areas was small.
The model was sensitive to assumptions about irrigation rates, and the model could be improved further by more detailed scheduling of irrigation, and/or meter-scale simulation of urban areas, which is computationally intensive. The irrigation module applies water to bring the current soil moisture level to the field capacity, so the amount of water applied may not accurately represent the actual irrigation scenarios in the field, which differ by crop types, soil moisture conditions, and prevailing irrigation practices. Application of a fixed rate of irrigation at 0.30 \({{mm\; hr}}^{-1}\) based on potential evapotranspiration rates for the region gave equivalent results compared to default irrigation; application of a high irrigation rate (2 \({{mm\; hr}}^{-1}\)) eliminated the bias in the later half of the month in April but overestimated humidity during the first half of the month (results not shown). This highlights model sensitivity to irrigation rates and the need to collect detailed field irrigation data that represent the diurnal, seasonal, and spatial variation of irrigation in the crop fields, which are often not readily available, and to utilize them in irrigation modules for improving climate model simulations.
Several previous studies have used either simplified WBGT52,76,77,78,79 or simply WBT80,81,82, both of which only include temperature and humidity to calculate heat stress under present and future climate because global climate model projections typically do not have radiation parameters. Many of the models used in these projections have biases in their output fields such as temperature and humidity25,29, partly due to their coarse spatial resolution and partly because they do not include irrigation effects. We examined the impact of irrigation on WBGT parameters using a physics-based WBGT model (thermofeel) developed by Brimicombe et al.74 that includes radiation and wind, using outputs from WRF with irrigation at 1-km spatial resolution. The Brimicombe et al.74 method has shown similar geographic variability of WBGT compared to that obtained using the gold-standard method given by Liljegren et al.83 during heatwaves84. However, Brimicombe’s method may give a biased estimate of WBGT in different environments mainly due to the use of ‘psychrometric’ WBT (Tw) in place of ‘natural’ WBT (Tnw). Although the empirical formulation of Tw given by Stull85 employed in thermofeel has been widely used to quantify heat stress under present and future climates79,80,81,82, Tw likely underestimates WBT in the daytime because it does not include the effect of solar radiation. However, the approximation of WBT by Tw instead of by Tnw may not be a problem for investigating the effects of irrigation because changes in Tnw and Tw following irrigation are expected to be very similar, despite substantial differences in their absolute values, as long as changes in solar radiation and wind are minimal. Future studies should compare the simplified WBT given by Stull (2011) and the natural WBT calculated by Liljegren et al.83 method with instrument-measured natural WBT to quantify the resulting biases in WBT and WBGT.
Methods
Observational data and validation
We use three meteorological data sources for validation: California Irrigation Management Information System (CIMIS), California Air Resources Board (CARB), and stations installed by us for three locations starting in May 2024: Westmorland, El Centro, and Coachella. Our stations included the BGT sensors at 1.1-m height from the ground except for El Centro, which was on the roof of a building. CIMIS was developed by the California Department of Water Resources together with the University of California, Davis in 1982 and manages a network of over 145 automated weather stations in California. We use the meteorological data from CARB’s Air quality management information system (AQMIS2), which collects data from various sources and applies basic quality control measures. The location of stations used in this study is presented in Fig. 1b with CIMIS in green, CARB in red, and our stations in white. The temperature and humidity fields at both CARB and CIMIS sites are typically measured at 1.8–2 m in height from the ground, which is similar to the model-simulated fields at 2-m in height. Winds are typically measured at 10 m height for CARB and 2-m for CIMIS sites. For this reason, model wind speeds, which correspond to 10-m height, are compared only to wind speed from the CARB sites.
We validate model-derived WBGT against station-derived values as commonly done in the literature84. When measurements of black globe temperature (BGT) are not available for the model period (for CIMIS and CARB stations), we validate using two terms (first and third) of Eq. (1) which together constitute 80% weight of WBGT, excluding BGT, which is only 20%.
All validations are performed for April 2020, and all WBGT calculations are performed for the months of April, June, and August 2020. The BGT measurements were made recently in the IV fields so the validation of BGT is performed separately on station data from May 21 to June 22, 2024, using WRF simulation for the same period.
WRF modeling
We use WRF version 4.4 in this study. Our WRF model configuration consists of three nested domains with a spatial resolution of 9, 3, and 1 km for d01, d02, and d03, respectively (Fig. 1a). The innermost domain d03 covers all cultivated lands of the Imperial Valley (IV) and part of Coachella Valley in the north. Because more than half of the farm workers working in the IV area commute daily across the border from the city of Mexicali, we also include Mexicali and its surroundings to better measure farmworker heat exposure.
We use ERA5 data developed by the European Centre for Medium-Range Weather Forecasts (ECMWF) as initial and boundary conditions, which replaces the widely used ERA-interim data, and provides hourly estimates although at a coarse (31 km) resolution86. We explicitly resolve convection in our innermost domain (d03) which is configured at 1 km spatial resolution. We use parameterized convection in the two parent domains (d01, d02) using Grell and Freitas scheme87 (cu_physics = 3), which is a scale and aerosol-aware scheme. We use Morrison double-moment microphysics scheme88, Yonsei University Scheme (YSU) planetary boundary layer scheme89, Rapid Radiative Transfer Model (RRTMG) for both shortwave and longwave radiation90, and revised MM5 Monin–Obukhov surface layer scheme91. We apply grid nudging for u and v components of wind speed, temperature, and water vapor mixing ratio at 6-hourly intervals with strengths 0.0006, 0.0003, and 0.00003, respectively but only above the PBL, which is a more common practice.
Land surface model
We use the state-of-the-art community Noah-MP land surface model92 within WRF, which has been successfully used to produce high-resolution hydroclimate over the continental US93. Noah-MP allows different treatments of LAI, from input data, from a lookup table, and even its dynamic prediction, if the dynamic vegetation option is used. We use a generic dynamic vegetation model (dveg = 7) that calculates energy and water flux exchange in vegetated areas using the prescribed vegetation information from the input data of LAI and FPAR (GREENFRAC). This option does not include a crop model and nitrogen and phosphorus cycles are currently not included in Noah-MP.
LAI (\({m}^{2}\)/\({m}^{2}\)) is the ratio of one-sided leaf area to ground cover area, which is the projected area of canopy leaves when looked at from above. LAI is used for the calculations of latent heat conductance due to plant transpiration, photosynthesis rate, maximum liquid water held by a canopy, and some carbon processes92. FPAR is the fraction of photosynthetically active radiation (400–700 nm) absorbed by green vegetation. FPAR and GREENFRAC are used to calculate a number of parameters related to the water and energy balance including calculation of interception and throughfall, heat exchange through the canopy, net surface longwave emissivity, and the calculation of 2-m air temperature over vegetated areas92.
Accurate representation of LAI and FPAR is key in simulating the land-atmosphere interactions of energy, momentum, and water fluxes realistically. The original implementation of WRF uses the LAI and FPAR data derived from the original MODIS data using climatological average data between 2001 and 2010, similar to the MODIS-derived land cover climatology94, which we use in this study as the land use data (modis_landuse_20class_30s_with_lakes) available at 30 arc-sec spatial resolution. This land use data has 21 land use categories of which 12 (croplands) and 14 (cropland/natural vegetation mosaic) categories represent croplands. For albedo, we use climatological data derived from MODIS instead of table values, which are available at 0.05-degree resolution.
The original MODIS LAI and FPAR data were developed jointly by Boston University, the University of Montana, and NASA GSFC, using an algorithm that used spectral information content of MODIS surface reflectance at up to 7 spectral bands (red and near-infrared) overleaf canopies in a radiative transfer equation, and a complimentary backup algorithm that used NDVI to calculate LAI in pixels where certain conditions are not met95. WRF, by default, uses a 10 arc-min resolution version of this MODIS LAI and a 30 arc-sec version of FPAR (GREENFRAC) data.
The default MODIS data for WRF uses the climatological average LAI and FPAR, which does not represent the actual land cover profile in a particular year, which is problematic in agricultural areas where crop type and land cover can change annually. To better represent the LAI and FPAR distribution over the study area and change over time, we conducted our simulations using new sensor-independent LAI and FPAR data from Pu et al.96, which improved the original MODIS LAI and FPAR algorithm described in the MODIS algorithm theoretical basis document95. They consolidated the original MODIS (Aqua and Terra) and VIIRS LAI and FPAR products and applied rigorous quality control criteria and a spatial-temporal tensor extrapolation model for gap filling, which shows significant improvement over the original data. This new LAI data also has a higher spatial resolution (~0.5 km) compared to 30 arc-sec (~0.9 km) for the existing climatological data.
We apply irrigation within Noah-MP based on an LAI threshold and USDA county-level irrigation data97. In our Noah-MP model configuration, first, the croplands are identified from MODIS land use data (modis_landuse_20class_30s_with_lakes) corresponding to the land use category of 12 (croplands) and 14 (cropland/natural vegetation mosaic). Then the irrigation fraction data (IRFRACT) from USDA county-level irrigation data is used to determine where to irrigate, i.e., grid cells with IRFRACT >0.1, which has been reduced to 0.05 in this study. The irrigation is triggered in the model using a minimum LAI value of 0.192,97, which has also been reduced to 0.05 to avoid the omission of any irrigated lands. The irrigation is applied using the sprinkler irrigation option until the soil moisture reaches the field capacity, which is the default setting. We conducted additional sensitivity tests to apply sprinkler irrigation continuously at different rates (0.3 and 2.0 \({{mm\; hr}}^{-1}\)).
WBGT calculations
We use outputs from WRF including the radiation fields to calculate WBGT using the thermofeel Python library developed by Brimicombe et al.74. thermofeel is a set of Python libraries used to calculate various thermal indices including WBGT using standard meteorological inputs. To our knowledge, our study is the first application of thermofeel for calculating WBGT in the US in an agricultural region. While the formulation of WBGT by Liljegren et al.83,98 has been more widely used in the US, we chose thermofeel for three main reasons. First, thermofeel is computationally more efficient than Liljegren’s approach, making it easier to implement in operational forecasting84,99. A computationally more efficient formulation of Liljegren’s approach has also been recently proposed by Kong and Huber100 for the same reason. Second, thermofeel was developed by the European organization European Centre for Medium-Range Weather Forecasts (ECMWF), a trusted provider of various climate reanalysis and forecast data. Third, thermofeel has been validated recently and performs similarly to Liljegren’s method84.
In the absence of measured natural wet bulb temperature, the WBT is approximated using an empirical equation given by Stull85 as a function of relative humidity and air temperature74:
where, \({rh}\) is relative humidity and \(t2{\_c}\) is air temperature (DBT) in degrees Celsius.
In the absence of measured black globe temperature (BGT), thermofeel calculates BGT from mean radiant temperature (MRT), which can be calculated using commonly available gridded parameters from models or reanalysis such as ERA599. The MRT, which was introduced to parameterize the effects of the complex radiant environment in one temperature-dimension index, is defined as the uniform temperature of a hypothetical black sphere that exchanges the same amount of radiation with a human body as the actual surroundings101. thermofeel calculates MRT using equation (14) in Di Napoli et al.102, which calculates MRT as a function of solar and thermal radiation including direct solar radiation, diffuse solar radiation, and thermal radiation (longwave), all of which are crucial to characterize heat exposure on a human body and are commonly available in most climate model outputs and reanalysis data.
The first step in computing MRT is to calculate the surface projection factor \({f}_{p}\), which represents the portion of the human body exposed to direct solar radiation. The \({f}_{p}\) is given by an empirical equation derived in terms of solar elevation angle as below103:
where \(\gamma\) is the solar elevation angle as defined in Table 2.
As per the definition of MRT, the MRT can be obtained by equating the radiant heat absorbed by a human body to the radiation emitted by a fictive black-body emitter that emits radiant energy equal to \(\sigma{{T}_{{mrt}}}^{4}\), solving which we get104
The input parameters in the above equations and their equivalent in WRF are defined in Table 2. \(\sigma\) is the Stefan–Boltzmann constant \(5.67\times {10}^{-8}\,{W}{m}^{-2}{K}^{-4}\), \({f}_{a}\) is the angle factor set to 0.5 assuming a standing human being receiving radiation from ground and sky only (is much more complex in an urban setting), \({\alpha }_{{ir}}\) is the effective shortwave absorption coefficient of the human body assumed to be 0.7 and \({\varepsilon }_{p}\) is the effective emissivity of the clothed human body assumed to be 0.97.
thermofeel approximates the direct solar radiation (at surface) on a plane perpendicular to the direction of the Sun (dsrp) based on total sky direct solar radiation (fdir) and cosine of zenith angle (cossza). However, in our case, WRF provides dsrp, so we are not approximating it as such. The WRF equivalent variable of dsrp is SWDDNI (Table 2). The SWDDNI and other radiation fields (Table 2) necessary for calculating BGT, which are not standard outputs, can be added to the output stream by adding the following line in the file myoutfields.txt in the WRF directory: +:h:0:SWDDIR,SWDDIF,SWDDNI. The Google Colab scripts provided in the “Data availability” section show how to use different meteorological and radiation outputs from WRF to calculate WBGT.
The black globe temperature (BGT) is then calculated as a function of MRT calculated above using the equation provided by Guo et al.105 (Eq. 6), which was originally developed by de Dear (1988) using the heat balance equation on a ping-pong globe thermometer106,105. The globe temperature is calculated by rearranging Eq. (5) below as in Thorsson et al.107.
where, 1.1 × 108 is an empirically derived parameter, \({v}_{a}\) is the wind speed at the globe level (1.1 m) in m s−1, which is calculated by logarithmically downscaling the modeled 10-m wind speed to 1.1 m, and ε is the emissivity of the globe equal to 0.95. D is the diameter of the globe (0.15 m).
Statistics
For comparing model results with observations, model grid cells closest to the station coordinate are extracted using the great circle method. Pearson’s correlation coefficient (Rho) is used to assess correlations and root mean squared error (RMSE) is used to characterize the errors between model and observations.
A two-sided difference of mean t-test is applied to find the grid cells with statistically significant differences between irrigation and no-irrigation WRF simulations using hourly model output data. The t-statistics used is given by,
Where, \(\bar{{x}_{1}}\) and \(\bar{{x}_{2}}\) are the sample means, Sp is the pooled standard deviation given by,
and n is the number of samples,
The t-test is performed at each grid cell of the model (d03), the size of which is 171 (lat) × 162 (lon). The p values are also calculated and reported for each grid cell. The number of samples at each grid cell is 720 (24 × 31) for April and June, and 744 (24 × 31) for August. Half sets of this hourly data between 7 AM–6 PM and 7 PM–6 AM were used for the daytime and nighttime calculations, respectively.
Reporting summary
Further information on research design is available in the Nature Portfolio Reporting Summary linked to this article.
Data availability
ERA5 data were downloaded from the following NCAR repository: https://rda.ucar.edu/datasets/ds633-0/. WRF static data were downloaded from the following UCAR page: https://www2.mmm.ucar.edu/wrf/users/download/get_sources_wps_geog.html? The sensor-independent LAI/FPAR data were obtained from Google Earth Engine; the details of which is made available by the data developers at https://github.com/JiabinPu/Sensor-Independent-LAI-FPAR-CDR/blob/master/GEEExample_Read_SI_LAI_FPAR_CDR_8d.txt. CIMIS data was downloaded from: https://cimis.water.ca.gov/WSNReportCriteria.aspx. CARB data were obtained from: https://www.arb.ca.gov/aqmis2/metselect.php.
Code availability
WRF source code can be obtained from the Github repository: https://github.com/wrf-model/WRF. thermofeel v2.0.0 Python package is available from https://pypi.org/project/thermofeel/. Python scripts used to perform data analysis, and produce figures, are made available at the Github repository: https://github.com/psagar123/RuralHeatIsland.
References
Ostro, B. D., Roth, L. A., Green, R. S. & Basu, R. Estimating the mortality effect of the July 2006 California heat wave. Environ. Res. 109, 614–619 (2009).
Russo, S. et al. Magnitude of extreme heat waves in present climate and their projection in a warming world. J. Geophys. Res. Atmos. 119, 500–512,512 (2014).
Rousi, E., Kornhuber, K., Beobide-Arsuaga, G., Luo, F. & Coumou, D. Accelerated western European heatwave trends linked to more-persistent double jets over Eurasia. Nat. Commun. 13, 3851 (2022).
Domeisen, D. I. et al. Prediction and projection of heatwaves. Nat. Rev. Earth Environ. 4, 36–50 (2023).
Jackson, L. L. & Rosenberg, H. R. Preventing heat-related illness among agricultural workers. J. Agromed. 15, 200–215 (2010).
Fatima, S. H., Rothmore, P., Giles, L. C., Varghese, B. M. & Bi, P. Extreme heat and occupational injuries in different climate zones: a systematic review and meta-analysis of epidemiological evidence. Environ. Int. 148, 106384 (2021).
NIOSH. Heat stress first aid for heat illnesses. 2024-100 https://doi.org/10.26616/NIOSHPUB2024100 (2023).
Moyce, S. et al. Heat strain, volume depletion and kidney function in California agricultural workers. Occup. Environ. Med. 74, 402–409 (2017).
Smith, D. J. et al. Heat stress and kidney function in farmworkers in the US: a scoping review. J. Agromed. 27, 183–192 (2022).
Vega‐Arroyo, A. J. et al. Impacts of weather, work rate, hydration, and clothing in heat‐related illness in California farmworkers. Am. J. Ind. Med. 62, 1038–1046 (2019).
Langer, C. E. et al. Are Cal/OSHA regulations protecting farmworkers in California from heat-related illness? J. Occup. Environ. Med. 63, 532–539 (2021).
Stoecklin-Marois, M., Hennessy-Burt, T., Mitchell, D. & Schenker, M. Heat-related illness knowledge and practices among California hired farm workers in the MICASA study. Ind. Health 51, 47–55 (2013).
Dillane, D. & Balanay, J. A. G. Comparison between OSHA-NIOSH Heat Safety Tool app and WBGT monitor to assess heat stress risk in agriculture. J. Occup. Environ. Hyg. 17, 181–192 (2020).
Tigchelaar, M., Battisti, D. S. & Spector, J. T. Work adaptations insufficient to address growing heat risk for US agricultural workers. Environ. Res. Lett. 15, 094035 (2020).
Wagoner, R. S. et al. An occupational heat stress and hydration assessment of agricultural workers in North Mexico. Int. J. Environ. Res. Public Health 17, 2102 (2020).
Zhou, X. & Chen, H. Impact of urbanization-related land use land cover changes and urban morphology changes on the urban heat island phenomenon. Sci. Total Environ. 635, 1467–1476 (2018).
Li, Y., Schubert, S., Kropp, J. P. & Rybski, D. On the influence of density and morphology on the Urban Heat Island intensity. Nat. Commun. 11, 2647 (2020).
Qian, Y. et al. Urbanization impact on regional climate and extreme weather: current understanding, uncertainties, and future research directions. Adv. Atmos. Sci. 39, 819–860 (2022).
Yang, Q., Huang, X. & Tang, Q. Irrigation cooling effect on land surface temperature across China based on satellite observations. Sci. Total Environ. 705, 135984 (2020).
Mishra, V. et al. Moist heat stress extremes in India enhanced by irrigation. Nat. Geosci. 13, 722–728 (2020).
Payero, J. O., Tarkalson, D. D., Irmak, S., Davison, D. & Petersen, J. L. Effect of irrigation amounts applied with subsurface drip irrigation on corn evapotranspiration, yield, water use efficiency, and dry matter production in a semiarid climate. Agric. Water Manag. 95, 895–908 (2008).
Chen, X. & Jeong, S.-J. Irrigation enhances local warming with greater nocturnal warming effects than daytime cooling effects. Environ. Res. Lett. 13, 024005 (2018).
Wouters, H. et al. Soil drought can mitigate deadly heat stress thanks to a reduction of air humidity. Sci. Adv. 8, eabe6653 (2022).
Lobell, D. B., Bonfils, C. & Faurès, J.-M. The role of irrigation expansion in past and future temperature trends. Earth Interact. 12, 1–11 (2008).
Lobell, D. et al. Regional differences in the influence of irrigation on climate. J. Clim. 22, 2248–2255 (2009).
Lobell, D. B., Bonfils, C. J., Kueppers, L. M. & Snyder, M. A. Irrigation cooling effect on temperature and heat index extremes. Geophys. Res. Lett. 35, L09705 (2008).
Jha, R., Mondal, A., Devanand, A., Roxy, M. & Ghosh, S. Limited influence of irrigation on pre-monsoon heat stress in the Indo-Gangetic Plain. Nat. Commun. 13, 4275 (2022).
Andrade, C. W. et al. Climate change impact assessment on water resources under RCP scenarios: a case study in Mundaú River Basin, Northeastern Brazil. Int. J. Climatol. 41, E1045–E1061 (2021).
Jones, C., Carvalho, L. M., Duine, G.-J. & Zigner, K. Climatology of Sundowner winds in coastal Santa Barbara, California, based on 30 yr high resolution WRF downscaling. Atmos. Res. 249, 105305 (2021).
Kong, Q. & Huber, M. Regimes of soil moisture–wet-bulb temperature coupling with relevance to moist heat stress. J. Clim. 36, 7925–7942 (2023).
Huang, X. & Ullrich, P. A. Irrigation impacts on California's climate with the variable-resolution CESM. J. Adv. Model. Earth Syst. 8, 1151–1163 (2016).
Krakauer, N. Y., Cook, B. I. & Puma, M. J. Effect of irrigation on humid heat extremes. Environ. Res. Lett. 15, 094010 (2020).
Steadman, R. G. The assessment of sultriness. Part I: a temperature-humidity index based on human physiology and clothing science. J. Appl. Meteorol. Climatol. 18, 861–873 (1979).
Ioannou, L. G. et al. Indicators to assess physiological heat strain–Part 1: systematic review. Temperature 9, 227–262 (2022).
Simpson, C. H., Brousse, O., Ebi, K. L. & Heaviside, C. Commonly used indices disagree about the effect of moisture on heat stress. npj Clim. Atmos. Sci. 6, 78 (2023).
Cooper, E. et al. An evaluation of portable Wet Bulb Globe Temperature monitor accuracy. J. Athl. Train. 52, 1161–1167 (2017).
Iso, B. 7243: Ergonomics of the Thermal Environment—Assessment of Heat Stress using the WBGT (Wet Bulb Globe Temperature) Index (International Organization for Standardization, Geneva, Switzerland, 2017).
Buzan, J. R. Implementation and evaluation of Wet Bulb Globe Temperature within non-urban environments in the community land model version 5. J. Adv. Modeling Earth Syst. 16, e2023MS003704 (2024).
Parajuli, S. P. et al. Effect of dust on rainfall over the Red Sea coast based on WRF-Chem model simulations. Atmos. Chem. Phys. 22, 8659–8682 (2022).
Cobb, A. et al. West-WRF 34-year reforecast: description and validation. J. Hydrometeorol. 24, 2125–2140 (2023).
Ohashi, Y., Kikegawa, Y., Ihara, T. & Sugiyama, N. Numerical simulations of outdoor heat stress index and heat disorder risk in the 23 wards of Tokyo. J. Appl. Meteorol. Climatol. 53, 583–597 (2014).
Mitchell, D. C. et al. Physical activity and common tasks of California farm workers: California Heat Illness Prevention Study (CHIPS). J. Occup. Environ. Hyg. 15, 857–869 (2018).
Mix, J. M. et al. Physical activity and work activities in Florida agricultural workers. Am. J. Ind. Med. 62, 1058–1067 (2019).
Langer, C. E. et al. How does environmental temperature affect farmworkers’ work rates in the California Heat Illness Prevention Study? J. Occup. Environ. Med. 65, e458–e464 (2023).
Mizelle, E., Larson, K. L., Bolin, L. P. & Kearney, G. D. Fluid intake and hydration status among North Carolina farmworkers: a mixed methods study. Workplace Health Saf. 70, 532–541 (2022).
Clark, J. & Konrad, C. E. Observations and estimates of wet-bulb globe temperature in varied microclimates. J. Appl. Meteorol. Climatol. 63, 305–319 (2024).
Sheridan, S. C., Allen, M. J., Lee, C. C. & Kalkstein, L. S. Future heat vulnerability in California, Part II: projecting future heat-related mortality. Clim. Chang. 115, 311–326 (2012).
Schwingshackl, C., Sillmann, J., Vicedo‐Cabrera, A. M., Sandstad, M. & Aunan, K. Heat stress indicators in CMIP6: estimating future trends and exceedances of impact‐relevant thresholds. Earth's. Future 9, e2020EF001885 (2021).
Vargas Zeppetello, L. R., Raftery, A. E. & Battisti, D. S. Probabilistic projections of increased heat stress driven by climate change. Commun. Earth Environ. 3, 183 (2022).
Weatherly, J. W. & Rosenbaum, M. A. Future projections of heat and fire-risk indices for the contiguous United States. J. Appl. Meteorol. Climatol. 56, 863–876 (2017).
Hall, A., Horta, A., Khan, M. R. & Crabbe, R. A. Spatial analysis of outdoor Wet Bulb Globe Temperature under RCP4.5 and RCP8.5 scenarios for 2041–2080 across a range of temperate to hot climates. Weather Clim. Extremes 35, 100420 (2022).
Williams, E., Funk, C., Peterson, P. & Tuholske, C. High resolution climate change observations and projections for the evaluation of heat-related extremes. Sci. Data 11, 261 (2024).
Hulley, G., Shivers, S., Wetherley, E. & Cudd, R. New ECOSTRESS and MODIS land surface temperature data reveal fine-scale heat vulnerability in cities: a case study for Los Angeles County, California. Remote Sens. 11, 2136 (2019).
Taha, H. Characterization of urban heat and exacerbation: Development of a heat island index for California. Climate 5, 59 (2017).
McRae, I. et al. Integration of the WUDAPT, WRF, and ENVI-met models to simulate extreme daytime temperature mitigation strategies in San Jose, California. Build. Environ. 184, 107180 (2020).
Yaglou, C. & Minard, D. Control of heat casualties at military training centers. Arch. Ind. Health 16, 302–316 (1957).
Budd, G. M. Wet-bulb globe temperature (WBGT)—its history and its limitations. J. Sci. Med. Sport 11, 20–32 (2008).
Lemke, B. & Kjellstrom, T. Calculating workplace WBGT from meteorological data: a tool for climate change assessment. Ind. Health 50, 267–278 (2012).
Brocherie, F. & Millet, G. P. Is the wet-bulb globe temperature (WBGT) index relevant for exercise in the heat? Sports Med. 45, 1619–1621 (2015).
Spangler, K. R. et al. Does choice of outdoor heat metric affect heat-related epidemiologic analyses in the US Medicare population? Environ. Epidemiol. 7, e261 (2023).
Grundstein, A., Williams, C., Phan, M. & Cooper, E. Regional heat safety thresholds for athletics in the contiguous United States. Appl. Geogr. 56, 55–60 (2015).
Bernard, T. E. & Barrow, C. A. Empirical approach to outdoor WBGT from meteorological data and performance of two different instrument designs. Ind. Health 51, 79–85 (2013).
Bernard, T. E. & Iheanacho, I. Heat index and adjusted temperature as surrogates for Wet Bulb Globe Temperature to screen for occupational heat stress. J. Occup. Environ. Hyg. 12, 323–333 (2015).
Turco, S. N. et al. Estimating black globe temperature based on meteorological data. In: Livestock Environment VIII, 31 August–4 September 2008, Iguassu Falls, Brazil p. 122 (American Society of Agricultural and Biological Engineers, 2009).
Barton, K. Challenge, promise for nation's “winter salad bowl”. Calif. Agric. 51, 4–6 (1997).
CDFA. California Agricultural Production Statistics https://www.cdfa.ca.gov/statistics/ (2023).
Martin, P. L., Hooker, B., Akhtar, M. & Stockton, M. How many workers are employed in California agriculture? Calif. Agric. 71 https://doi.org/10.3733/ca.2016a0011 (2017).
Doede, A. L. & DeGuzman, P. B. The disappearing lake: a historical analysis of drought and the Salton Sea in the context of the GeoHealth Framework. GeoHealth 4, e2020GH000271 (2020).
ICPHD. Imperial County Health Status Report (2015-2016) https://www.icphd.org/media/managed/medicalproviderresources/HEALTH_STATUS_2015_2016_final.pdf (2016).
Farzan, S. F. et al. Assessment of respiratory health symptoms and asthma in children near a drying saline lake. Int. J. Environ. Res. Public Health 16, 3828 (2019).
Heinzerling, A. et al. Risk factors for occupational heat‐related illness among California workers, 2000–2017. Am. J. Ind. Med. 63, 1145–1154 (2020).
Fringer, O. B., Dawson, C. N., He, R., Ralston, D. K. & Zhang, Y. J. The future of coastal and estuarine modeling: findings from a workshop. Ocean Model. 143, 101458 (2019).
Bricheno, L. M., Wolf, J. M. & Brown, J. M. Impacts of high resolution model downscaling in coastal regions. Cont. Shelf Res. 87, 7–16 (2014).
Brimicombe, C. et al. Thermofeel: a Python thermal comfort indices library. SoftwareX 18, 101005 (2022).
Qian, Y. et al. Neglecting irrigation contributes to the simulated summertime warm-and-dry bias in the central United States. npj Clim. Atmos. Sci. 3, 31 (2020).
Chen, X. et al. Changes in global and regional characteristics of heat stress waves in the 21st century. Earths. Future 8, e2020EF001636 (2020).
Yang, X., shen, C., Ullah, I., Curio, J. & Chen, D. Evaluating heat stress and occupational risks in the Southern Himalayas under current and future climates. npj Clim. Atmos. Sci. 7, 211 (2024).
Dasgupta, S. et al. Effects of climate change on combined labour productivity and supply: an empirical, multi-model study. Lancet Planet. Health 5, e455–e465 (2021).
Yin, J. et al. Global increases in lethal compound heat stress: hydrological drought hazards under climate change. Geophys. Res. Lett. 49, e2022GL100880 (2022).
Zhao, L. et al. Global multi-model projections of local urban climates. Nat. Clim. Chang. 11, 152–157 (2021).
Chakraborty, T., Venter, Z. S., Qian, Y. & Lee, X. Lower urban humidity moderates outdoor heat stress. AGU Adv. 3, e2022AV000729 (2022).
Vecellio, D. J., Kong, Q., Kenney, W. L. & Huber, M. Greatly enhanced risk to humans as a consequence of empirically determined lower moist heat stress tolerance. Proc. Natl Acad. Sci. USA 120, e2305427120 (2023).
Liljegren, J. C., Carhart, R. A., Lawday, P., Tschopp, S. & Sharp, R. Modeling the Wet Bulb Globe Temperature using standard meteorological measurements. J. Occup. Environ. Hyg. 5, 645–655 (2008).
Brimicombe, C. et al. Wet Bulb Globe Temperature: indicating extreme heat risk on a global grid. GeoHealth 7, e2022GH000701 (2023).
Stull, R. Wet-bulb temperature from relative humidity and air temperature. J. Appl. Meteorol. Climatol. 50, 2267–2269 (2011).
Hersbach, H. et al. The ERA5 global reanalysis. Q. J. R. Meteorol. Soc. 146, 1999–2049 (2020).
Grell, G. A. & Freitas, S. R. A scale and aerosol aware stochastic convective parameterization for weather and air quality modeling. Atmos. Chem. Phys. 14, 5233–5250 (2014).
Morrison, H., Thompson, G. & Tatarskii, V. Impact of cloud microphysics on the development of trailing stratiform precipitation in a simulated squall line: comparison of one-and two-moment schemes. Mon. Weather Rev. 137, 991–1007 (2009).
Hong, S.-Y., Noh, Y. & Dudhia, J. A new vertical diffusion package with an explicit treatment of entrainment processes. Mon. Weather Rev. 134, 2318–2341 (2006).
Iacono, M. J. et al. Radiative forcing by long‐lived greenhouse gases: calculations with the AER radiative transfer models. J. Geophys. Res. Atmos. 113, D13103 (2008).
Jiménez, P. A. et al. A revised scheme for the WRF surface layer formulation. Mon. Weather Rev. 140, 898–918 (2012).
He, C. et al. The Community Noah‐MP Land Surface Modeling System Technical Description Version 5.0. NCAR Technical Note NCAR/TN-575+ STR https://doi.org/10.5065/ew8g-yr95 (2023).
Rasmussen, R. et al. CONUS404: the NCAR–USGS 4-km long-term regional hydroclimate reanalysis over the CONUS. Bull. Am. Meteorol. Soc. 104, E1382–E1408 (2023).
Broxton, P. D., Zeng, X., Sulla-Menashe, D. & Troch, P. A. A Global Land Cover Climatology using MODIS data. J. Appl. Meteorol. Climatol. 53, 1593–1605 (2014).
Knyazikhin, Y. J. G. et al. Running, MODIS Leaf Area Index (LAI) and Fraction of Photosynthetically Active Radiation Absorbed by Vegetation (FPAR) Product (MOD15) Algorithm Theoretical Basis Document ATBD-MOD-15, https://modis.gsfc.nasa.gov/data/atbd/land_atbd.php (1999).
Pu, J. et al. Sensor-independent LAI/FPAR CDR: reconstructing a global sensor-independent climate data record of MODIS and VIIRS LAI/FPAR from 2000 to 2022. Earth Syst. Sci. Data Discuss. 2023, 1–29 (2023).
Valayamkunnath, P. Understanding the Role of Vegetation Dynamics and Anthropogenic Induced Changes on the Terrestrial Water Cycle (Virginia Tech, 2019).
Kong, Q. & Huber, M. Explicit calculations of Wet-Bulb Globe Temperature compared with approximations and why it matters for labor productivity. Earths. Future 10, e2021EF002334 (2022).
Patton, E., Li, W., Ward, A. & Doyle, M. Wet bulb globe temperature from climate model outputs: a method for projecting hourly site-specific values and trends. Int. J. Biometeorol. 68, 2663–2676 (2024).
Kong, Q. & Huber, M. A new, zero-iteration analytic implementation of wet-bulb globe temperature: development, validation and comparison with other methods. ESS Open Arch. https://doi.org/10.22541/essoar.171052469.96187535/v1 (2024).
Kántor, N. & Unger, J. The most problematic variable in the course of human-biometeorological comfort assessment—the mean radiant temperature. Cent. Eur. J. Geosci. 3, 90–100 (2011).
Di Napoli, C., Hogan, R. J. & Pappenberger, F. Mean radiant temperature from global-scale numerical weather prediction models. Int. J. Biometeorol. 64, 1233–1245 (2020).
Jendritzky, G., Menz, G., Schmidt-Kessen, W. & Schirmer, H. Methodik zur raumlichen Bewertung der thermischen Komponente im Bioklima des Menschen (Method for Local Evaluation of the Thermal Component of Bioclimate of People) (Akademie fur Raumforschung und Landesplanung, Hannover, 1990).
Staiger, H. & Matzarakis, A. April. Estimating down-and up-welling thermal radiation for use in mean radiant temperature. In: Proceedings of the 7th Conference on Biometeorology. 213–218 (Albert-Ludwigs-University of Freiburg, Freiburg, 2010).
Guo, H., Teitelbaum, E., Houchois, N., Bozlar, M. & Meggers, F. Revisiting the use of globe thermometers to estimate radiant temperature in studies of heating and ventilation. Energy Build. 180, 83–94 (2018).
De Dear, R. Ping-pong globe thermometers for mean radiant temperatures. H. V. Eng. 60, 10–11 (1988).
Thorsson, S., Lindberg, F., Eliasson, I. & Holmer, B. Different methods for estimating the mean radiant temperature in an outdoor urban setting. Int. J. Climatol. 27, 1983–1993 (2007).
Acknowledgements
The first author is grateful to Rodrigo Moreira and Jiabin Pu for their assistance in obtaining the LAI/FPAR data from Google Earth Engine. We acknowledge the entire Rural Heat Island team for contributing to the discussions on this work. This research is funded by the University of California Office of the President (UCOP) Climate Action Grant award R02CP7521 “Rural heat islands: Mapping and mitigating farmworker exposure to heat stress”. Computational work of this research was carried out at Expanse supercomputer at San Diego Supercomputing Center through the ACCESS program of the National Science Foundation. We are grateful to the two anonymous reviewers whose comments significantly enhanced the value and readability of this manuscript.
Author information
Authors and Affiliations
Contributions
S.P.P. carried out model experiments, performed data analysis, and wrote the manuscript. T.B. conceived the project idea, supervised the overall project, and edited the manuscript. F.S. and M.A.Z.P. helped design the WRF model experiments and edited the manuscript. C.H. provided guidance in carrying out irrigation simulations using Noah-MP. C.J. and C.T. took part in the discussions and edited the manuscript. N.L.G. conceived the idea of using WBGT for farmers’ heat stress. H.C. contributed to writing sections on literature related to public health. T.Q. and C.N. provided support for thermofeel library and edited the manuscript. A.M., T.H.Y., and M.S. helped with instrument setup and data collection from the BGT sensors.
Corresponding author
Ethics declarations
Competing interests
Sagar Parajuli is an Editorial Board Member for Communications Earth & Environment but was not involved in the editorial review of, nor the decision to publish this article.
Peer review
Peer review information
: Communications Earth & Environment thanks Qinqin Kong and the other, anonymous, reviewer(s) for their contribution to the peer review of this work. Primary Handling Editors: Martina Grecequet. A peer review file is available.
Additional information
Publisher’s note Springer Nature remains neutral with regard to jurisdictional claims in published maps and institutional affiliations.
Rights and permissions
Open Access This article is licensed under a Creative Commons Attribution-NonCommercial-NoDerivatives 4.0 International License, which permits any non-commercial use, sharing, distribution and reproduction in any medium or format, as long as you give appropriate credit to the original author(s) and the source, provide a link to the Creative Commons licence, and indicate if you modified the licensed material. You do not have permission under this licence to share adapted material derived from this article or parts of it. The images or other third party material in this article are included in the article’s Creative Commons licence, unless indicated otherwise in a credit line to the material. If material is not included in the article’s Creative Commons licence and your intended use is not permitted by statutory regulation or exceeds the permitted use, you will need to obtain permission directly from the copyright holder. To view a copy of this licence, visit http://creativecommons.org/licenses/by-nc-nd/4.0/.
About this article
Cite this article
Parajuli, S.P., Biggs, T., de Sales, F. et al. Impact of irrigation on farmworkers’ heat stress in California differs by season and during the day and night. Commun Earth Environ 5, 787 (2024). https://doi.org/10.1038/s43247-024-01959-7
Received:
Accepted:
Published:
Version of record:
DOI: https://doi.org/10.1038/s43247-024-01959-7
This article is cited by
-
Heat-related rest-break recommendations for farmworkers in California based on wet-bulb globe temperature
Communications Earth & Environment (2025)
-
Irrigation cooling effect reduced by water-saving practices
Communications Earth & Environment (2025)
-
Neighborhood-scale reductions in heatwave burden projected under a 30% minimum tree cover scenario
npj Urban Sustainability (2025)
-
A comprehensive review of impacts of soil management practices and climate adaptation strategies on soil thermal conductivity in agricultural soils
Reviews in Environmental Science and Bio/Technology (2025)











