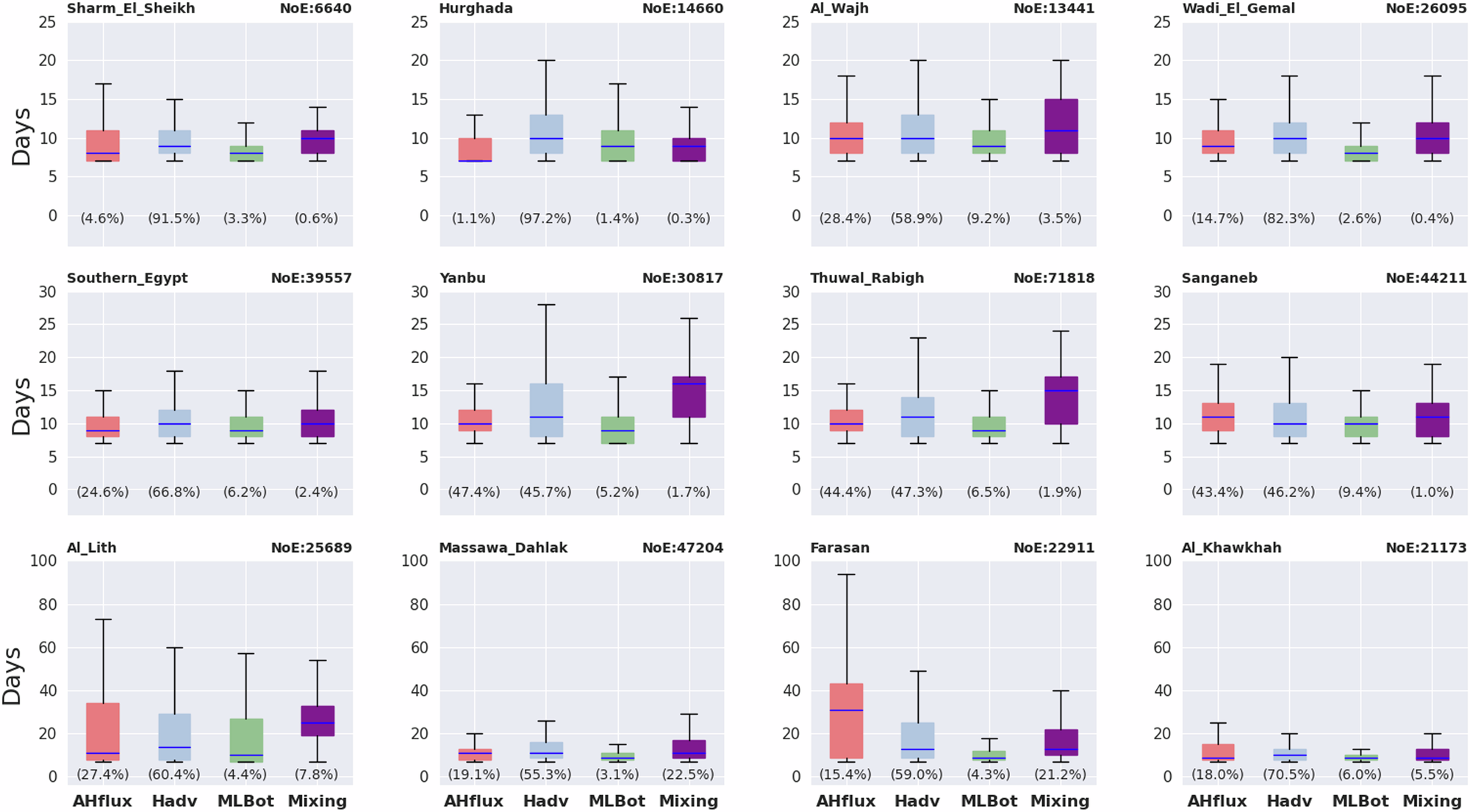
Fig. 8: Distribution of MHW duration by dominant physical process.
From: Drivers of marine heatwaves in coral bleaching regions of the Red Sea

Distribution of MHW duration grouped by the dominant physical process during summer MHW onset, for the period 2001–2015 in each study area of the Red Sea. Red boxplots depict atmosphere heat flux-driven (AHflux), blue boxplots depict horizontal-advection driven (Hadv), green boxplots show MHWs driven by processes at the base of the mixed layer (MLBot) and purple boxplots represent MHWs driven by mixing processes (Mixing) at the base of the mixed layer. The corresponding duration values are based on the entire event duration. The total number of MHWs (NoE) is computed from all the grid point-based events of the area and the percentage of events attributed to each driver is indicated below each boxplot. Boxplots depict the duration of the minimum, 25th percentile, median, 75th percentile and maximum number of events identified. Note that duration limits differ between rows to enhance the visualisation of variations in the duration of MHWs driven by different physical processes. The rows are arranged in a north-to-south direction, with the first row corresponding to northern regions, the second to central regions, and the third row to southern regions of the basin.