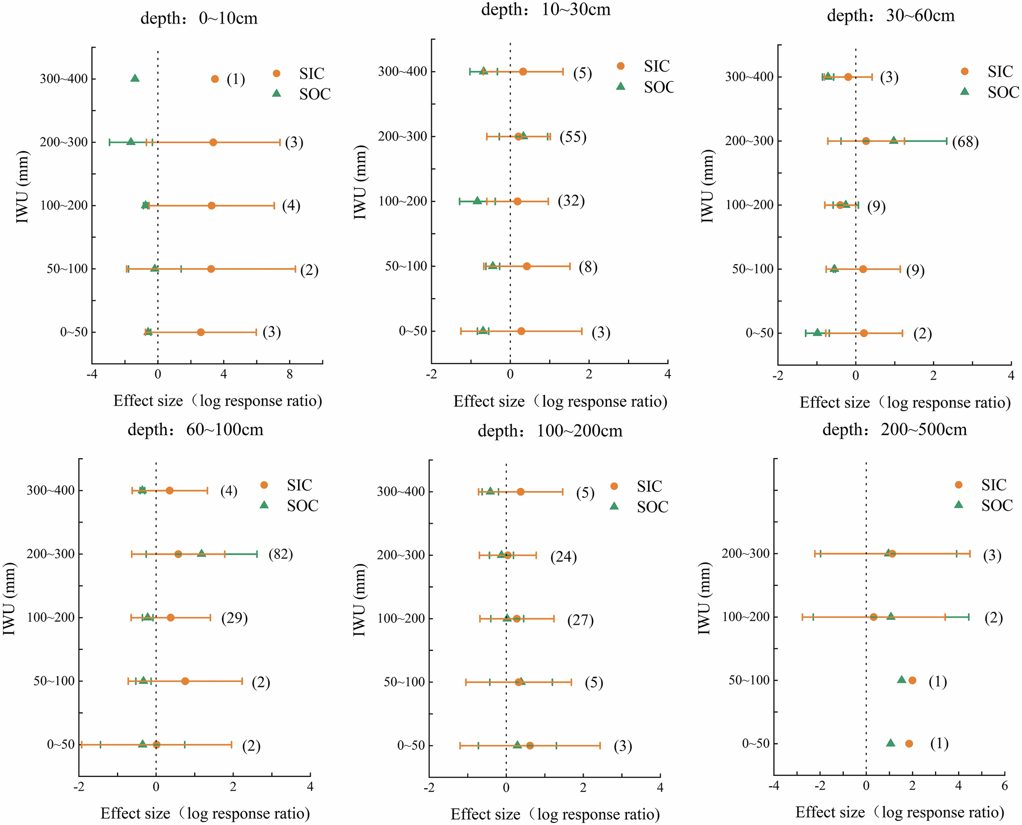
Fig. 1: SOC and SIC contents in response to irrigation.
From: Global soil organic and inorganic carbon vulnerability in response to irrigation

The average change in SOC and SIC (relative to unirrigated cropland in similar environmental conditions) for each soil layer depth under different irrigation amount treatments is shown. Depth increments are shown at the top of each panel. The solid triangles and circles with error lines indicate the average changes in SOC and SIC, respectively, and their respective 95% CIs. When the 95% CIs did not overlap with 0% (indicated by the vertical gray line), significant changes in SOC and SIC occurred over time. Data points may contain studies of different durations, where irrigation refers to the average irrigation water use over the years.