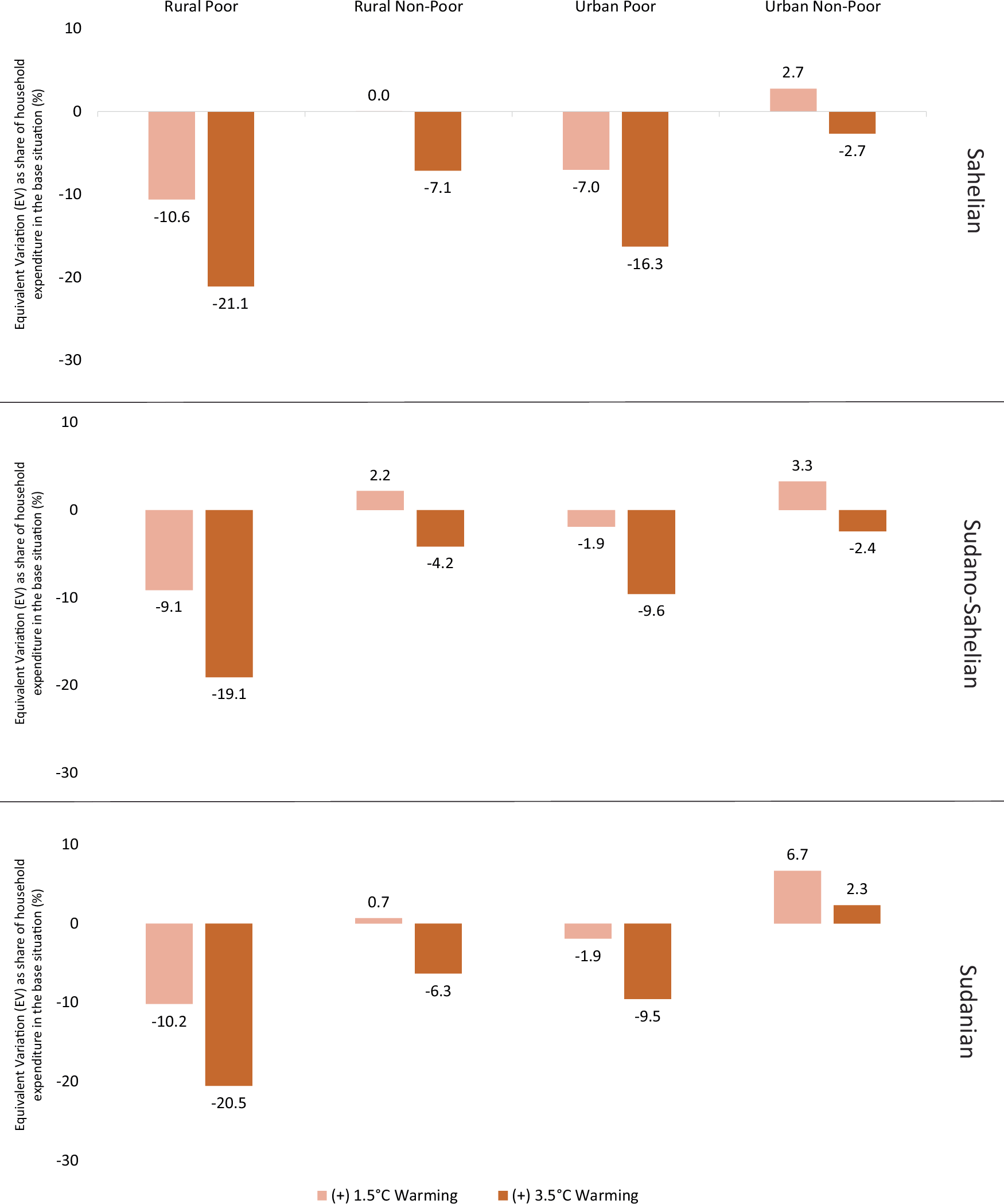
Fig. 5: The effects of heat stress-induced labour productivity loss on household welfare across AEZs.
From: Heat stress causes economic and welfare disparities across agroecological zones in Burkina Faso

Heat stress simulation results for household welfare, measured using Equivalent Variation (EV), under +1.5 °C (light orange) and 3.5 °C (dark orange) warming scenarios. Equivalent variation (EV) is the measure used for household welfare. We expressed the EV as a percentage of household income in the base situation. As shown in the figure, we report household welfare by location and economic status across agroecological zones, starting with the Sahelian at the top, the Sudano-Sahelian in the middle, and the Sudanian at the bottom.