Abstract
Increased warming due to climate change can induce heat stress in humans and adversely affect labour productivity due to heat-related morbidity. Here, we use a simulation model to examine the effects of heat stress, through declined labour capacity under +1.5 °C and 3.5 °C warming scenarios on agriculture and welfare across the three agroecological zones (Sudanian, Sudano-Sahelian, and Sahelian) in Burkina Faso. In the two scenarios, domestic production declines, with outdoor labour-intensive sectors such as cropping and mining being the most affected, reducing gross domestic product by 9% and 20%, respectively. All households lose welfare in all scenarios except non-poor households in the +1.5 °C scenario. Across zones, crop production declines strongest in the crop-producing Sudanian and Sudano-Sahelian zones. In contrast, relative welfare losses are strongest for households in the Sahelian zone. The study highlights the most vulnerable sectors, household groups, and zones requiring urgent attention in heat stress adaptation and mitigation policies.
Similar content being viewed by others
Introduction
Since the mid-1970s, annual and seasonal average temperatures in the Sahara and Sahel have increased by 1 to 3 °C, representing the strongest warming globally1. Rising temperatures cause heat stress in humans, animals, and plants. Human heat stress occurs when the body receives heat more than it can tolerate without suffering physiological impairment2. It often results from a combination of environmental and metabolic heat modulated by clothing insulation3.
Heat stress is associated with health risks such as heat exhaustion, heat stroke, and even death4,5 Symptoms like fatigue, nausea, irritability, and muscle cramps characterize heat exhaustion6,7. In a more severe state, the body experiences heat stroke, which manifests through symptoms such as confusion, irrational behaviour and loss of consciousness8. Depending on the occupation, heat stress effects can be more severe for one individual than for another. Workers in sectors that involve more physical effort and take place primarily outdoors, such as agriculture, mining, and construction, are considered at higher risk than others2,9.
Empirical evidence shows that heat stress reduces workers’ productivity2, which will negatively impact global GDP, with important variation across regions and sectors10,11,12,13. Developing regions, particularly sub-Saharan Africa and Southeast Asia, are expected to be disproportionately affected10,12, with outdoor-intensive sectors suffering the greatest productivity losses13. A step-wise methodological approach is required to measure heat stress and model its economy-wide implications. In previous studies, heat stress is frequently measured using the Wet Bulb Globe Temperature (WBGT)14, based on which labour response functions were developed and employed to model heat stress-induced labour productivity loss15,16,17. This labour productivity loss is implemented through labour efficiency parameters in global computable general equilibrium (CGE) models, calibrated against Global Trade Analysis Project (GTAP) databases10,11,12,13.
Important limitations and research gaps remain. While global and regional assessments are common, the heterogeneous effects of heat stress within individual countries have not been comprehensively explored. For example, Ref. 11 and Ref. 13 provide insights into specific countries—Germany and several West African countries, respectively—but do not focus on disparities within countries. Furthermore, they employed global models relying on the GTAP database with a base year up to 201418, which limits country-specific detail and recent events affecting the base economic state in the analyses.
This study fills the existing literature gaps through four key contributions. First, we conduct a country-specific analysis employing a comparative-static single-country CGE model and focusing on Burkina Faso. We chose Burkina Faso due to its severe vulnerability to climate change-induced heat stress. The country is located in Sahelian West Africa, one of the regions in the world most likely to see major increases in future heat stress, while simultaneously being especially vulnerable to its impacts19,20. For example, Burkina Faso’s population is projected to face severe heat-related consequences in a future 2 °C global warming scenario21,22. Moreover, heat-related mortality is expected to increase by a factor of five by 208023. Second, we differentiate climate change-induced heat stress increases and corresponding labour productivity loss among unskilled, semi-skilled, and skilled workers in different economic sectors across agroecological zones (AEZs). Heterogeneous climatic conditions make Burkina Faso suitable for analysing within-country disparities in heat stress-induced labour loss. Three agroecological zones can be distinguished in Burkina Faso: the Sudanian, Sudano-Sahelian, and Sahelian zones. The Sudanian zone is sub-humid with rainfall from 900 to 1200 mm/year, the Sudano-Sahelian zone is semi-arid with rainfall between 600 and 900 mm/year, and the Sahelian zone is arid and hottest with rainfall less than 600 mm/year24. Third, in contrast to previous studies, we distinguish the effects of heat stress-induced labour productivity loss on agriculture and household welfare across the three agroecological zones. In our welfare calculation, we further differentiate household groups based on their economic status (poor and non-poor) and residence (rural and urban). Lastly, our implementation of labour productivity shocks in the CGE model relies on a newly developed 2019 economy-wide database, called a social accounting matrix (SAM), which serves as a reference for Burkina Faso’s economy.
Results
This section first provides an overview of labour employment and income distribution across sectors in the reference scenario (base situation). Second, it presents the estimated heat stress-induced labour productivity shocks implemented in the CGE model. Third, the effects of heat stress-induced labour productivity loss on factor prices, domestic production, household welfare, and macroeconomic indicators under a +1.5 °C scenario of meeting the Paris Agreement goal to keep warming below 2 °C and a +3.5 °C warming scenario are presented.
Overview of labour income and employment based on the developed SAM
In 2019, unskilled and semi-skilled workers received 53% and 8% of the total revenue paid to labour, respectively (see Table 1). While representing only 5% (physical units) of total employment25, skilled workers earned as much as 39% of the total labour revenue. Unskilled workers dominate all sectors in terms of physical labour employment. Regarding the labour income share, they dominate all sectors except the service sector. In the services sector, the income and employment shares of skilled workers are higher than in other sectors.
Estimated heat stress-induced labour productivity loss
Table 2 presents the estimated heat stress-induced labour productivity shocks introduced into the CGE model. Labour productivity shocks in agriculture are differentiated across agroecological zones. Agriculture encompasses crops, livestock, fishing, aquaculture, and forestry. Accordingly, agricultural labour productivity shocks apply to all these subsectors. Labour productivity shocks to other sectors apply at the national level.
Regardless of the warming scenario, workers in the service sector who engage in light-intensity work are the least affected by heat stress (see Table 2 and Supplementary Fig. 1). This is followed by the manufacturing sector, where workers engage in moderate-intensity work (see Table 2 and Supplementary Fig. 1). The sectors most affected are agriculture, mining, and construction, which require heavy work. In agriculture, labour productivity loss is most substantial in the Sahelian zone, followed by the Sudano-Sahelian and Sudanian zones.
The productivity of skilled workers is least affected across sectors, as they often work indoors and are protected from solar radiation during their work time. Each additional temperature increase due to global warming further reduces the productivity of all workers, as indicated by the estimates for the +3.5 °C warming scenario.
Factor price effects
Under the two warming scenarios, heat stress-induced labour productivity loss results in an economic downturn and reduces all factor prices except skilled labour, which is almost not affected, under the +1.5 °C warming scenario (Fig. 1). The less negative effect on wages for skilled workers in both scenarios is driven by relatively higher demand for skilled labour as this category is least affected by heat stress and thus gains in relative productivity compared to other labour categories. In the more drastic +3.5 °C warming scenario, skilled workers are also negatively affected due to their stronger productivity loss relative to the +1.5 °C scenario (Table 2). Compared to labour, capital and land become less scarce, resulting in their prices declining more.
Heat stress simulation results for factor price relative to the reference situation, expressed as a percentage, under +1.5 °C (light orange) and 3.5 °C (dark orange) warming scenarios.
Production effects
The production effects of heat stress-induced labour productivity loss differ among sectors, depending on whether the sectors are labour-intensive or not (Fig. 2). Mining, non-food manufacturing and crop production are most adversely affected in both warming scenarios. This is due to these sectors’ considerable dependency on unskilled workers, whose productivity declines the most. The service sector shrinks the least, as it relies primarily on indoor skilled workers who are substantially less affected by heat stress than others.
Heat stress simulation results for domestic production, relative to the reference situation, expressed as a percentage, under +1.5 °C (light orange) and 3.5 °C (dark orange) warming scenarios.
The capital-intensive sectors are less negatively affected or even grow. For example, construction and food manufacturing grow under +1.5 °C warming due to the declined capital costs compensating for the lower labour productivity and effects of the overall downturn of the economy. In the +3.5 °C warming scenario, the negative effects of heat stress outweigh the lower capital costs, leading to a decline in construction outputs. Similarly, food manufacturing only maintains its initial production level. Other capital-intensive sectors, such as livestock and fishing/aquaculture, also benefit from lower capital costs, resulting in smaller production losses than for crops. Forestry, a land-intensive sector, declines considerably in both warming scenarios due to the reduced demand for forestry products as intermediate inputs in other sectors (Supplementary Fig. 2).
Analysis of the crop sector shows that overall production decline is primarily driven by cotton (Fig. 3). Cultivated exclusively in the Sudanian and Sudano-Sahelian zones, the cotton (The cotton sector comprises both raw cotton production and ginning.) sector declines by an average of 7% and 16% under two warming scenarios, respectively. Since cotton constitutes over 30% of total crop output, its decline substantially impacts aggregate production.
Heat stress simulation results for each crop, relative to the reference situation, expressed as a percentage, under +1.5 °C (light orange) and 3.5 °C (dark orange) warming scenarios. This presents percentage change results from top to bottom for maize, rice, sorghum, millet, and fonio, as well as tubers, cotton, peanuts, legumes, fruits, and vegetables, respectively.
Maize, rice, and tubers are also exclusively produced in the Sudanian and Sudano-Sahelian zones. The higher the heat stress level, the greater the adverse effects on these crops. The production of sorghum, millet, fonio, peanuts, legumes, fruits, and vegetables shows a similar pattern, being more affected in the Sudano-Sahelian than in the Sudanian zone. Some of these crops, including rice, peanut and sorghum, even grow in the Sudanian zone. Compared to the Sudano-Sahelian zone, these crops are less labour-intensive in the Sudanian zone, resulting in lower or negligible heat stress effects. This is also the case for sorghum and peanuts in the Sahelian zone, which are either unaffected or increasing in both scenarios.
The aggregate crop production decreases most in the Sudanian and Sudano-Sahelian zones under both warming scenarios, although workers in these zones experience less productivity loss than those in the Sahelian zone (Fig. 4). Aggregate crop production in the Sudanian and Sudano-Sahelian zones declining most is due to a composition effect, as the share of the most affected crop, cotton, is highest in these regions. These two zones account for more than 80% of total crop production in the base situation. Highly affected crops, which are dominant in these zones, result in larger labour productivity shock effects at the aggregate level, despite smaller labour productivity shocks than in the Sahelian zone. In the livestock sector, production declines more in the Sahelian zone compared to other zones, reflecting the higher labour productivity shocks induced by heat stress in that zone (see Supplementary Fig. 3).
Heat stress simulation results for aggregate crop across agroecological zones, relative to the reference situation, expressed as a percentage, under +1.5 and 3.5 °C warming scenarios. The top two maps, a, b show aggregate crop changes across agroecological zones in Burkina Faso under +1.5 and 3.5 °C warming scenarios, respectively. The dark green indicates a smaller heat stress effect, while the dark red shows a stronger heat stress effect on the aggregate crop. The four maps at the bottom show the corresponding labour capacity loss across agroecological zones, with c, d illustrating the capacity loss of indoor workers under +1.5 and 3.5 °C warming scenarios, respectively. e, f Illustrate the capacity loss for outdoor workers under the two warming scenarios, respectively. Lighter red indicates smaller labour capacity loss, while darker red indicates the opposite.
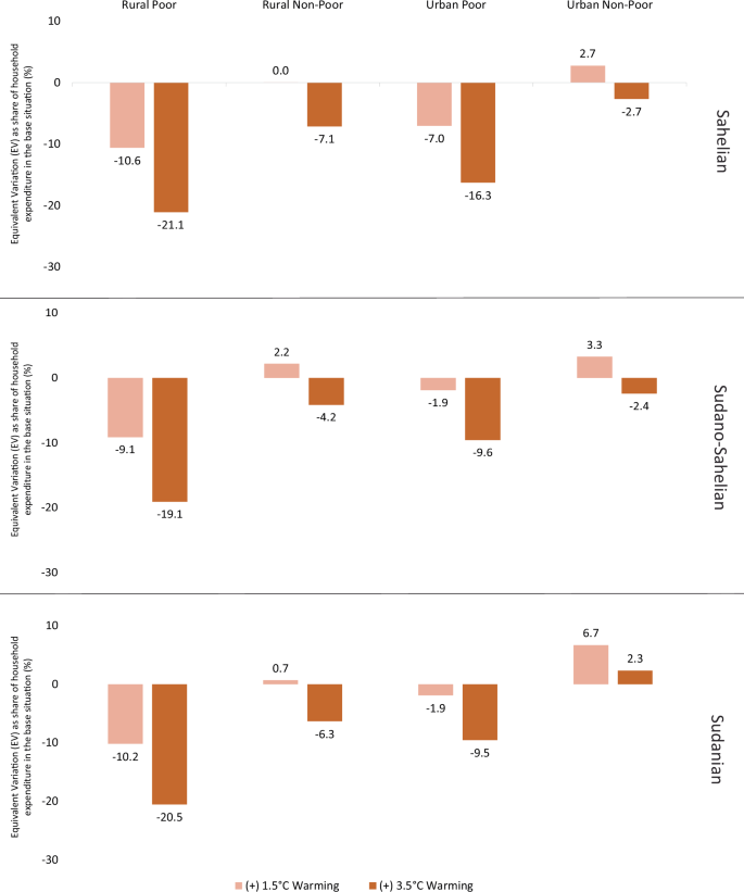
Household welfare effects
Labour productivity loss induced by heat stress affects household groups differently (Fig. 5). Generally, the heterogeneity of welfare effects stems from differences in the composition of factor income and consumption, as well as differences in heat stress-induced labour productivity losses across agroecological zones (Supplementary Fig. 1).
Heat stress simulation results for household welfare, measured using Equivalent Variation (EV), under +1.5 °C (light orange) and 3.5 °C (dark orange) warming scenarios. Equivalent variation (EV) is the measure used for household welfare. We expressed the EV as a percentage of household income in the base situation. As shown in the figure, we report household welfare by location and economic status across agroecological zones, starting with the Sahelian at the top, the Sudano-Sahelian in the middle, and the Sudanian at the bottom.
Rural poor households lose welfare under both warming scenarios. This result is primarily due to reduced income from supplying land, unskilled labour, and semi-skilled labour (Supplementary Fig. 4). The greater welfare loss among these households is due to their heavy dependence on these production factors, in contrast to capital and skilled labour. The welfare of urban poor households is similarly affected, but to a lesser extent than that of their rural poor counterparts. Their welfare loss is also driven by reduced income, mainly due to declining wages for unskilled and semi-skilled labour. Besides the income effect, both rural and urban poor households face higher prices for crop commodities, which dominate their expenditure pattern.
Both rural and urban non-poor households are unaffected or experience welfare gains in the +1.5 °C warming scenario, primarily driven by declining consumer prices (Supplementary Fig. 5) for commodities such as livestock, fishing/aquaculture, and services, which collectively represent a substantial share of their consumption expenditures (Supplementary Table 1). Compared to poor counterparts, rural and urban non-poor households have a lower expenditure share for food commodities (Supplementary Table 1) and are therefore less affected by increasing crop commodity prices (as shown in Supplementary Figs. 5 and 6).
Household groups are affected differently across agroecological zones (Fig. 5). Rural and urban poor households in the Sahelian zone lose slightly more welfare than their counterparts in other agroecological zones across both warming scenarios. This is due to their factor income from unskilled and semi-skilled labour being relatively higher compared to their counterparts in other zones. Among the non-poor households, the Sahelian zone is the most affected, because both rural and urban non-poor hold a relatively higher income share from unskilled compared to skilled labour than their counterparts in other zones. The wages of unskilled and semi-skilled labour are more affected than those of skilled labour, which is reflected in the welfare changes of these households in the Sahelian zone.
Macroeconomic effects
Figure 6 presents the macroeconomic effects caused by heat stress-induced labour productivity loss. The economy shrinks due to declining domestic production, which adversely affects GDP, resulting in drops of about 9% and 20% in the +1.5 and 3.5 °C warming scenarios, respectively. The GDP loss can primarily be attributed to the substantial decline in crop production (especially cotton), mining, and non-food manufacturing, which collectively contribute a substantial share of the overall GDP. Exports drop considerably due to lower domestic production, especially of key export commodities such as cotton (Fig. 3) and mining (Fig. 2). In both warming scenarios, fewer commodities are imported, largely due to lower demand for intermediate inputs. Under +1.5 °C warming, overall household consumption increases slightly due to the slight welfare gain for non-poor households. Investment declines under both scenarios due to the overall economic downturn.
Heat stress simulation results for macroeconomic indicators relative to the reference situation, expressed as a percentage, under +1.5 °C (light orange) and 3.5 °C (dark orange) warming scenarios.
We report the results of various sensitivity analyses for the macroeconomic changes under the +1.5 °C warming scenario to demonstrate the robustness of our model results (see Fig. 7).
Heat stress simulation results for macroeconomic indicators relative to the reference situation, expressed as a percentage, based on different sensitivity analyses, under a +1.5 °C warming scenario. The first bar, in orange, represents the macroeconomic results of the model. Light blue, light green, brown, and dark blue represent macroeconomic results for lower labour substitution, higher labour substitution, higher labour-capital substitution, and the Lancet labour response function sensitivity, respectively.
The result patterns remain the same when the substitution possibility (substitution elasticity (SE) = 1.5) between labour types decreases or increases by 50%. However, the magnitude of the results slightly differs (Fig. 7). For example, domestic production effects are stronger when the elasticity of substitution is lower. Conversely, they are weaker when the elasticity of substitution is higher. This is due to the increased flexibility of sectors to substitute between less affected skilled labour and more affected unskilled and semi-skilled labour types, as well as capital, thereby lowering the negative effects of heat stress on production. The results also deviate slightly, with higher labour-capital substitutability (increased by 50%). The effects of labour heat stress are lower, as less productive labour can be better compensated for due to the higher labour-capital substitutability (see Fig. 7).
We also repeat the whole analysis using an alternative labour response function as derived from the “Hothap” project26 and modified and adopted in the Lancet Countdown report27. The results remain qualitatively the same when using the ISO labour response function. Here, we present the results for the economy-wide effect, noting that similar findings apply to other types of impact. The labour shock effects are lower when using the Lancet labour-response function (Lancet-LRF) (Fig. 7). This is because the ISO function is designed to protect the health and safety of workers worldwide. In contrast, the Lancet function is derived from real-world field studies on highly heat-acclimated labour in subtropical countries, where workers may tend to work beyond their safety capacity (see the “Methods” section). As a result, the Lancet function estimates lower productivity loss compared to the ISO function (Supplementary Table 2). However, both functions generate similar patterns of macroeconomic effects across different aspects of the economy, suggesting that our results are robust to the choice of labour response functions.
Discussion
Our study analyses the heterogeneous effects of human heat stress across agroecological zones within a country. Accounting for this heterogeneity in the context of Burkina Faso, the results show that heat stress impacting labour productivity affects crop production and household welfare differently across agroecological zones. Heat stress-induced labour productivity loss has the strongest negative effects on the aggregate crop sector in the Sudanian and Sudano-Sahelian zones, even though crop labour productivity loss is less in these zones than in the Sahelian zone (see Fig. 4). This is due to the higher share of cotton, the most affected crop, in overall crop production in these two regions. This highlights an essential composition effect to be aware of when appreciating heat stress effects on aggregate sectors. The Sudanian and Sudano-Sahelian zones are the major crop-producing regions, accounting for over 80% of total domestic crop production. Contrary to what could be expected, these results show that these two zones, although not as strongly affected by heat stress as the Sahelian zone, are of special interest for targeted heat stress mitigation strategies to protect the crop sector and continue supplying foods to private households, and generating foreign income through cotton exports.
We conduct a disaggregated household welfare analysis, which has not been part of previous studies10,11,12,13. Rural poor households are most negatively affected in Burkina Faso, given their involvement in outdoor economic activities, which shrink due to heat stress. The non-poor households could maintain their livelihoods under a 1.5 °C warming, but welfare declines with a more severe +3.5 °C warming. Being less affected compared to poor households is attributable to their higher income share of skilled labour and to their consumption patterns, with relatively high shares of products declining or increasing less in prices than crop commodities (see Supplementary Fig. 5). These comprise commodities such as livestock, fishing/aquaculture and services, accounting for a substantial share of their expenditures (see Supplementary Table 1). In contrast, they allocate a very small share of their consumption to crop commodities (see Supplementary Table 1), which makes them less negatively affected by increased crop prices (see Supplementary Fig. 5). Considering agroecological zones, our results indicate that households, whether rural or urban, poor or non-poor lose more welfare in the Sahelian zone than in other zones (see Fig. 5 and Supplementary Fig. 7). This outcome could explain the recorded climate change-induced migration, showing farmers’ movement from the hotter Sahelian zone to the other zones as a heat adaptation strategy28.
We infer three key conclusions. First, considering regional differences across agroecological zones is relevant due to heterogeneous labour productivity shocks and household income and expenditure patterns, as well as relevant composition effects according to regional agricultural specialization. Second, heat stress-induced labour productivity loss exacerbates income inequality, affecting the welfare of poor households more than that of non-poor households. Third, to withstand the effects of climate change-induced heat stress, there is a need for economic diversification, shifting from vulnerable sectors such as cotton to more diverse and resilient production structures. In the case of Burkina Faso, the economy is highly labour-intensive and relies mainly on cotton and mining to generate most of the foreign revenues.
Our study provides insights into the potential sectoral, economy-wide, and household welfare effects of global warming through heat stress, but it has some limitations:
-
Like all heat stress metrics, WBGT faces various limitations29,30, which may lead to under- or overestimating labour productivity loss from heat stress. Still, it has been found to perform as well as, or better than, other metrics in evaluating the physiological impact of heat exposure31,32.
-
We do not explicitly cover the time dimension of heat stress evolution under climate change or economic development.
-
In our analysis, we have excluded heat stress effects experienced by urban households at night. Urban heat islands pose challenges to urban households33,34. Besides, they incentivize the continuous use of cooling devices, requiring additional energy costs for urban households35. Accounting for these aspects could result in a more negative welfare effect for urban households compared to what we obtained in this study.
-
We do not account for the direct effects of heat stress on plants36,37 and animals38,39,40,41. Assessing the combined effect of heat stress on plants, animals, and humans would likely find more severe economic effects. In both scenarios, we found declining prices for livestock and fishing commodities. Direct heat stress effects on animals, which are not modelled in this study, could result in lower production and higher prices for these commodities than presented here, as well as more negative economy-wide effects.
-
In our model, productive activities compete for factors mobile across sectors. And indeed, labour could move between regions due to the increased temperature42,43. To depict explicitly the regional movement of labour incentivized by heat stress, different labour types would need to be disaggregated by climatic zones in the developed economy-wide database. Furthermore, a model extension would be required to capture heat stress-induced labour movement across climatic zones, for example, by including factor mobility functions44.
-
We have grouped Burkina Faso’s regions into agroecological zones for agricultural production and household group disaggregation. This grouping is not fully accurate, as a small portion of some regions overlaps with other agroecological zones (Supplementary Fig. 8). Sub-region-level data (not available during this research) could be useful to distinguish agroecological zones more precisely.
-
Single-country CGE models, including the one applied in this study, typically operate under the assumption of fixed international prices. This implies that our analysis only accounts for the effects of labour heat stress within Burkina Faso, but not for world market price-mediated effects of heat stress in other countries. However, global warming is expected to affect labour productivity in many countries. This may shift international prices, especially in heat stress-sensitive sectors, such as, for example, cotton and mining, adding to the effects of changes in domestic labour productivity. For example, a rise in world market prices, e.g., for cotton and mining commodities, could incentivize increased production in Burkina Faso. This response could partially offset the production declines observed under the assumption of fixed international prices, especially in export-intensive sectors. Higher global prices may also result in higher prices of imported intermediate goods, such as fertilizers and machinery. Sectors dependent on these inputs may therefore decline, potentially amplifying the overall negative impact on GDP. Analysing such a scenario would require estimates of international price changes, ideally derived from a global CGE model under the same warming scenarios as in this study, which is currently not available.
The results highlight the most vulnerable sectors, household groups, and agroecological zones that require specific consideration in the development and implementation of heat stress adaptation and mitigation policies in Burkina Faso. We identify the following policy implications:
-
The strong adverse effects on labour-intensive sectors, mostly cotton and mining, signal the need for diversification into less labour-intensive production systems. For example, investments in machinery could be made in the cotton sector, rendering it more mechanized by increasing the use of tractors and harvesters. More automation in the mining sector could help offset the negative effects of climate change-induced declines in labour productivity. As shown by the sensitivity analysis above, a shift from labour to more capital-intensive production could mitigate the overall negative effects of labour heat stress.
-
A continuous implementation of the ongoing “Great Green Wall”45 in Burkina Faso could be beneficial in creating a cooler environment, specifically in the Sahelian zone, and limiting the effects of climate change-induced heat exposure on workers.
-
Promoting agroforestry initiatives mostly in the crop-producing Sudanian and Sudano-Sahelian zones through tree planting on farms could limit the direct heat effects on farming workers, supporting sustained food production and export income46.
-
Burkina Faso’s National Climate Change Adaptation Programme (NCCAP) emphasizes the need for enhancing Early Warning Systems to mitigate heat-related effects of climate change47. These were already effective in response to the recent heat waves recorded in the country48.
-
The country would benefit from coping measures such as the promotion of cool roofs49,50,51, green roofs52, and sustainable adoption of cooling devices such as fans and air conditioning units35 in workplace premises and household units.
These measures would require a strong government commitment towards their implementation. Beyond Burkina Faso, the policy implications are partially transferable to other Sahelian West African countries such as Mali and Niger sharing almost similar climatic and economic conditions as Burkina Faso.
Methods
The methodological approach comprises four steps. First, we developed an economy-wide database for Burkina Faso, which serves as the benchmark for calibrating the single-country CGE model employed. Second, we estimated heat stress using the wet bulb globe temperature (WBGT) based on projected climatic data on temperature, wind speed, humidity, and solar radiation under future global warming scenarios. Third, we employed a labour-response function to estimate climate change-induced labour productivity loss using the estimated WBGT. Lastly, we implemented the estimated heat stress-induced labour productivity loss through the labour efficiency parameter in the CGE model to analyse economy-wide implications.
Data
We developed an economy-wide database, known as a Social Accounting Matrix (SAM), for Burkina Faso for the year 2019. This year is explicitly selected because it predates the impacts of COVID-19 and the rise in terrorist activities in recent years. This SAM is built using data from the 2013 SAM for Burkina Faso53, the unpublished 2019 SAM for Burkina Faso, developed by the National Bureau of Statistics (INSD in French), the published 2017 SAM for Burkina Faso54, Burkina Faso National Statistics25,55,56, the Organisation for Economic Co-operation and Development (OECD)57, World Bank Group58, and the Food and Agriculture Organisation (FAO)59.
The SAM records transactions among economic agents and sectors into 89 accounts, with 47 sectors producing 18 commodities. The sectors comprise 14 agricultural activities in three agroecological zones, producing 14 commodities, as well as food and non-food manufacturing, which produces one manufacturing commodity. Additionally, mining, construction and services each produce one commodity. In our SAM, the Sahelian zone comprises (a) Sahel, (b) Nord and (c) Centre-Nord. The Sudano-Sahelian comprises (a) Boucle de Mouhoun, (b) Centre, (c) Est, (d) Centre-Est, (e) Centre-Sud, (f) Centre-Ouest, and (g) Plateau-Central. And the Sudanian comprises (a) Haut-Bassins, (b) Cascades, and (c) Sud-Ouest (Supplementary Fig. 8).
Sectors employ five factors: land, capital, and three labour categories. The three labour types are distinguished by their education level. Unskilled workers have no formal or primary education and dominate the economy, with 90% of the employment. The semi-skilled workers have post-primary (lower secondary) education, while skilled workers have upper secondary education and above, representing 5.2% and 4.8% of the workforce, respectively25. This disaggregation enables the differentiation of heat stress effects on each type of labour.
This SAM introduces land as a production factor used by agricultural activities. The use of farmland was not depicted as a separate account in the existing SAMs for Burkina Faso, but was considered as part of the overall capital used by activities. The farmland tenure system in Burkina Faso makes it challenging to reflect land valuation accurately in the SAM. Inheritance is the most common form of agricultural land tenure, followed by land transfers through donations and marriage, while farmland purchases account for <1% of total farmland56. We adopted an opportunity cost approach to incorporate the land account in this SAM. We applied the 2019 annual interest rate of 6.1% from the World Bank Indicator data58 to an average land purchase price of 500,000 F.CFA per hectare, multiplied by the total area (in hectares) of crops and forests in 201959. The land purchase price was determined based on expert opinions.
According to location, poor and non-poor, and agroecological zones, the SAM distinguishes 12 household groups using data from the 2018 Household Survey Data56. These groups comprise rural-poor, urban-poor, rural-non-poor, and urban-non-poor in the three agroecological zones (Supplementary Fig. 8). Additionally, the SAM accounts for government, enterprises, savings/investments, and the rest of the world, as well as indirect taxes (related to production and sales) and direct taxes (on income).
Model
The study employs the STAGE version 2 model, developed by McDonald and Thierfelder60, which is calibrated to the developed 2019 SAM for Burkina Faso. STAGE is a comparative-static single-country CGE model. It offers the possibility to simulate, on a national scale, the future equilibrium state of an economy after a shock. In this context, a shock can refer to an economic crisis, a new policy, or heat stress-induced labour productivity loss, as observed in our study. In STAGE, households maximize utility by demanding bundles of commodities, using the Stone–Geary utility function. This function accounts for subsistence consumption, making it well-suited to representing consumption behaviour in a developing country like Burkina Faso, where many consumers live in poverty. In addition, domestic production is modelled as a three-stage production (Supplementary Fig. 9). In the first stage, aggregate intermediate and aggregate value added (primary inputs) are combined using constant elasticity of substitution (CES) or Leontief technology. In the second stage, aggregate intermediate inputs are combined using Leontief technology. This implies that activities demand intermediate inputs in fixed proportions. Aggregate primary inputs such as land, capital, and labour are combined into aggregate value added using CES technology, allowing for substitution between production factors. In the third stage, natural primary inputs are combined using CES technology to produce aggregate primary inputs. Thus, activities employ aggregate labour, through a CES combination of unskilled, semi-skilled, and skilled labour, with different labour skill levels being substitutes to some degree. Additionally, the model allows for multiple activities to produce a single commodity, as seen in the case of agriculture and manufacturing in this application.
The STAGE model operates under four closure conditions representing the fundamental characteristics of Burkina Faso’s economy. These conditions include the closure of the foreign exchange, investment-savings, government, and factor markets.
Foreign exchange market closure
As a member of the West African Economic and Monetary Union (WAEMU), Burkina Faso uses the West African CFA, a currency pegged to the Euro (1 Euro = 655.957 F.CFA). Accordingly, we fixed the exchange rate in the model, and the external balance (foreign savings) is flexible.
Investment-saving closure
We fixed the initial share of investments in final demand such as not to affect future development through changes in current period investments. In other words, households, enterprises, and foreign savings are flexible to equate the total investment in the economy.
Government closure
Government savings (in absolute terms) and expenditure (share of final domestic demand) are fixed. Household income tax rates adjust endogenously in the model to keep the government savings and expenditure share at its initial.
Factor market closure
The initial total factor supply in the economy is fixed and fully absorbed by sectors through changes in the wage rates. Furthermore, factors are assumed to be mobile across productive activities. Formally non-employed workers in Burkina Faso still contribute to the economy by working in the informal sector, which is the reason for the large employment. The model closures end with the consumer price index (CPI) defined as the model numeraire.
Estimation of heat stress and labour productivity loss
Heat stress-induced labour productivity shocks are estimated following the same workflow as implemented in ref. 13. Here, we outline the procedure briefly. First, heat stress is quantified by wet-bulb globe temperature (WBGT), as calculated from the Liljegren et al.61 approach using the Python implementation developed by Kong and Huber62. Indoor WBGT is calculated using the Bernard63 approach, assuming no solar radiation and 1 m/s wind speed (Eq. (8) in ref. 64). This choice aligns with the recommendation made by Lemke and Kjellstrom64. Second, indoor and outdoor labour capacities are estimated from WBGT using the ISO labour response function (Eqs. (1) and (2) in ref. 13) for light, moderate, and heavy intensity work, equivalent to metabolic rates of 200, 300, and 400 W. This calculation is initially performed at a 3-hourly scale, which is then aggregated to daily and annual average scales while only accounting for daytime hours. Next, we estimate the climatological annual average labour capacity at the grid cell level for the baseline period of 1961–1990 and for periods corresponding to global warming levels of 1.5 and 3.5 °C relative to the baseline. The labour capacity shock due to climate change-induced heat stress is then quantified by comparing the warmer periods against the baseline. Finally, we aggregate grid-cell-level labour capacity shock to the level of agroecological zones or the entire country for all combinations of indoor/outdoor environments and work intensity. We classify agriculture, construction, and mining as heavy work, manufacturing as moderate work, and services as light work, following the work intensity classification in the ISO7243 standard65. This generates agroecological zone-level labour shocks for each economic sector in Burkina Faso. The calculations described are conducted for each climate model and then aggregated to obtain the model ensemble mean, which is used as input for the CGE model.
Implementation of heat stress-induced labour productivity loss in the model
We implemented heat stress-induced reduction in labour productivity through the labour efficiency parameter in the CGE model. Thus, we simulated labour productivity shocks that may occur in the future in Burkina Faso’s economy, based on the current state of the economy (the reference year 2019), using calculated heat stress-induced labour productivity losses under the +1.5 and +3.5 °C warming scenarios. The +1.5 °C warming scenario assumes meeting the Paris Agreement goal of keeping the global temperature rise below 2 °C, while the +3.5 °C scenario assumes failure to meet this goal. We account for the daytime labour capacity loss estimates, assuming that, in Burkina Faso, labour is employed only during the day, irrespective of the sector. Moreover, we assume that unskilled and semi-skilled workers are mostly outdoors, while skilled workers are indoors. Therefore, we used the outdoor labour capacity loss estimates to stimulate the productivity loss of unskilled and semi-skilled workers in the two scenarios. The corresponding indoor estimates were used for skilled workers.
Regarding agriculture, we used the estimates of indoor and outdoor labour productivity shocks for each agroecological zone.
Sensitivity analysis
In our model, productive activities can substitute between unskilled, semi-skilled, and skilled labour given an elasticity of substitution of σ = 1.5, as suggested by Ciccone and Peri66. We conducted two sensitivity analyses to determine to what extent the degree of labour substitution affects our results. In the first sensitivity analysis, we reduce the labour substitution elasticity by 50% (elasticity of substitution, σ = 0.75). In the second sensitivity analysis, we increase this elasticity by 50% (elasticity of substitution, σ = 2.25). We conducted a third sensitivity analysis, which increases labour-capital substitutability by 50%. Finally, we repeated the entire analysis using an alternative labour response function derived from the “Hothap” project, based on two empirical studies: one on gold mining workers in South Africa67 and another on rice harvesters in India68. The “Hothap” function was slightly modified and adopted in the Lancet annual countdown report27, and the Lancet modified version (Eq. (3) in ref. 13) is used in this work.
Data availability
The database69 used in this study is available at Zenodo: https://doi.org/10.5281/zenodo.15603366. Simulation model results and processed data used for generating graphs and figures are available at Zenodo: https://doi.org/10.5281/zenodo.16088699.
References
IPCC. Climate Change 2022: Impacts, Adaptation and Vulnerability https://doi.org/10.1017/9781009325844 (2022).
Kjellström, T. et al. Working on a Warmer Planet: The Effect of Heat Stress on Productivity and Decent Work https://www.ilo.org/publications/major-publications/working-warmer-planet-effect-heat-stress-productivity-and-decent-work (2019).
Puspita, N., Kurniawidjaja, M. & Hikmat Ramdhan, D. Health effect symptoms due to heat stress among gong factory workers in Bogor, Indonesia. KnE Life Sci. 4, 469 (2018).
Boonruksa, P., Maturachon, T., Kongtip, P. & Woskie, S. Heat stress, physiological response, and heat related symptoms among Thai sugarcane workers. Int. J. Environ. Res Public Health 17, 1–15 (2020).
Meierrieks, D. Weather shocks, climate change and human health. World Dev. 138, 105228 (2021).
Hunt, A. P., Parker, A. W. & Stewart, I. B. Symptoms of heat illness in surface mine workers. Int. Arch. Occup. Environ. Health 86, 519–527 (2013).
Kearney, G. D., Hu, H., Xu, X., Hall, M. B. & Balanay, J. A. G. Estimating the prevalence of heat-related symptoms and sun safety-related behavior among Latino farmworkers in Eastern North Carolina. J. Agromed. 21, 15–23 (2016).
Mukhopadhyay, B. & Weitz, C. A. Heat exposure, heat-related symptoms, and coping strategies among elderly residents of urban slums and rural villages in West Bengal, India. Int. J. Environ. Res. Public Health 19, 12446 (2022).
Xiang, J., Bi, P., Pisaniello, D. & Hansen, A. Health Impacts of Workplace Heat Exposure: an Epidemiological Review. Ind. Health 52, 91–101 (2014).
Orlov, A., Sillmann, J., Aunan, K., Kjellstrom, T. & Aaheim, A. Economic costs of heat-induced reductions in worker productivity due to global warming. Global Environ. Change 63, 102087 (2020).
Knittel, N., Jury, M. W., Bednar-Friedl, B., Bachner, G. & Steiner, A. K. A global analysis of heat-related labour productivity losses under climate change—implications for Germany’s foreign trade. Clim. Change 160, 251–269 (2020).
De Lima, C. Z. et al. Heat stress on agricultural workers exacerbates crop impacts of climate change. Environ. Res. Lett.16, 044020 (2021).
Saeed, W. et al. The poverty impacts of labor heat stress in West Africa under a warming climate. Earths Future 10, e2022EF002777 (2022).
Yaglou, C. P. & Minard, D. Control of heat casualties at military training centers. AMA Arch. Ind. Health 16, 302–316 (1957).
Kjellstrom, T., Lemke, B., Otto, M., Hyatt, O. & Dear, K. Occupational Heat Stress Contribution to WHO Project on ‘Global Assessment of the Health Impacts of Climate Change’, Which Started in 2009 http://www.climatechip.org/ (2014).
Dunne, J. P., Stouffer, R. J. & John, J. G. Reductions in labour capacity from heat stress under climate warming. Nat. Clim. Chang. 3, 563–566 (2013).
Foster, J. et al. An advanced empirical model for quantifying the impact of heat and climate change on human physical work capacity. Int. J. Biometeorol. 65, 1215–1229 (2021).
Aguiar, A., Chepeliev, M., Corong, E., Mcdougall, R. & Van Der Mensbrugghe, D. The GTAP data base: version 10. J. Glob. Econ. Anal. 4, 1–27 (2019).
Vecellio, D. J., Kong, Q., Larry Kenney, W. & Huber, M. I. Greatly enhanced risk to humans as a consequence of empirically determined lower moist heat stress tolerance. Environ. Sci. 120, e2305427120 (2023).
Parkes, B., Buzan, J. R. & Huber, M. Heat stress in Africa under high intensity climate change. Int. J. Biometeorol. 66, 1531–1545 (2022).
Sylla, M. B., Faye, A., Giorgi, F., Diedhiou, A. & Kunstmann, H. Projected heat stress under 1.5 °C and 2 °C global warming scenarios creates unprecedented discomfort for humans in West Africa. Earths Future 6, 1029–1044 (2018).
Fotso-Nguemo, T. C. et al. Projected impact of increased global warming on heat stress and exposed population over Africa. Earths Future 11, e2022EF003268 (2023).
Tomalka, J., Lange, S., Röhrig, F. & Gornott, C. Climate Risk Profile: Burkina Faso (Deutsche Gesellschaft für Internationale Zusammenarbeit GmbH, 2021) https://www.pik-potsdam.de/en/institute/departments/climate-resilience/projects/project-pages/agrica/giz_climate-risk-profile_burkina-faso_en.
World Bank. Climate Risk and Adaptation Country Profile www.worldclim.org/current (2011).
INSD & AFRISTAT. Enquête Régionale Intégrée sur l’Emploi et le Secteur Informel 2018 (INSD & AFRISTAT, 2019).
Kjellstrom, T., Freyberg, C., Lemke, B., Otto, M. & Briggs, D. Estimating population heat exposure and impacts on working people in conjunction with climate change. Int. J. Biometeorol. 62, 291–306 (2018).
Watts, N. et al. The 2020 report of The Lancet Countdown on health and climate change: responding to converging crises. Lancet 397, 129–170 (2021).
Sanfo, S. et al. Climate- and environment-induced intervillage migration in southwestern Burkina Faso, West Africa. Weather Clim. Soc. 9, 823–837 (2017).
Foster, J. et al. Quantifying the impact of heat on human physical work capacity; part II: the observed interaction of air velocity with temperature, humidity, sweat rate, and clothing is not captured by most heat stress indices. Int. J. Biometeorol. 66, 507–520 (2022).
Budd, G. M. Wet-bulb globe temperature (WBGT)-its history and its limitations. J. Sci. Med. Sport 11, 20–32 (2008).
Ioannou, L. G. et al. Indicators to assess physiological heat strain–Part 3: multi-country field evaluation and consensus recommendations. Temperature 9, 274–291 (2022).
Vecellio, D. J., Wolf, S. T., Cottle, R. M. & Kenney, W. L. Utility of the Heat Index in defining the upper limits of thermal balance during light physical activity (PSU HEAT Project). Int. J. Biometeorol. 66, 1759–1769 (2022).
Singh, N., Singh, S. & Mall, R. K. Urban ecology and human health: implications of urban heat island, air pollution and climate change nexus. In Urban Ecology: Emerging Patterns and Social–Ecological Systems (eds Verma, P., Singh, P., Singh, R. & Raghubanshi, A. S.) 317–334 (Elsevier, 2020).
Heaviside, C., Macintyre, H. & Vardoulakis, S. The urban heat island: implications for health in a changing environment. Curr. Environ. Health Rep. 4, 296–305 (2017).
Parkes, B., Cronin, J., Dessens, O. & Sultan, B. Climate change in Africa: costs of mitigating heat stress. Clim. Change 154, 461–476 (2019).
Hussain, H. A. et al. Interactive effects of drought and heat stresses on morpho-physiological attributes, yield, nutrient uptake and oxidative status in maize hybrids. Sci. Rep. 9, 3890 (2019).
Zahra, N. et al. Plant photosynthesis under heat stress: effects and management. Environ. Exp. Bot. 206, https://doi.org/10.1016/j.envexpbot.2022.105178 (2023).
Rahimi, J., Mutua, J. Y., Notenbaert, A. M. O., Marshall, K. & Butterbach-Bahl, K. Heat stress will detrimentally impact future livestock production in East Africa. Nat. Food 2, 88–96 (2021).
Thornton, P., Nelson, G., Mayberry, D. & Herrero, M. Increases in extreme heat stress in domesticated livestock species during the twenty-first century. Glob. Chang Biol. 27, 5762–5772 (2021).
Belhadj Slimen, I., Najar, T., Ghram, A. & Abdrrabba, M. Heat stress effects on livestock: Molecular, cellular and metabolic aspects, a review. J. Anim. Physiol. Anim. Nutr. 100, 401–412 (2016).
Daramola, J. O., Abioja, M. O. & Onagbesan, O. M. Heat stress impact on livestock production. In Environmental Stress and Amelioration in Livestock Production (eds Sejian, V., Naqvi, S., Ezeji, T., Lakritz, J. & Lal, R.) 53–73 (Springer-Verlag, Berlin Heidelberg, 2013).
Almulhim, A. I. et al. Climate-induced migration in the Global South: an in depth analysis. npj Clim. Action 3, (2024).
Teye, J. K. & Nikoi, E. G. A. Climate-induced migration in West Africa. In IMISCOE Research Series (ed. Teye, J. K.) 79–105 (Springer Science and Business Media B.V., 2022).
Agbahey, J., Siddig, K. & Grethe, H. Labour leisure trade-off meets a mobility function to model cross-border movements of labour between Palestine and Israel. In 21st Annual Conference on Global Economic Analysis (GTAP) (ed. Agbahey, J.), 1–27 (GTAP, Cartagena, Columbia, 2018).
Gravesen, M. L. & Funder, M. An Overview and Lessons Learnt: THE GREAT GREEN WALL www.diis.dk (2022).
Tschora, H. & Cherubini, F. Co-benefits and trade-offs of agroforestry for climate change mitigation and other sustainability goals in West Africa. Glob. Ecol. Conserv. 22, 1–13 (2020).
RCCC-ICRC. Climate Fact Sheet Burkina Faso https://www.climatecentre.org/wp-content/uploads/RCCC-ICRC-Country-profiles-Burkina_Faso.pdf (2024).
Clair Barnes, A. et al. Extreme Sahel Heatwave that Hit Highly Vulnerable Populations at the End of Ramadan Would Not Have Occurred without Climate Change Based in Burkina Faso (Review Authors) (Agence Nationale de la Meteorologie (Mali-Meteo), 2024).
Adounkpe, J. G., Ahouannou, C., Lie, O., Akiyo, R. & Sinsin, A. B. Thermal insulation capacity of roofing materials under changing climate conditions of Sub-Saharan Regions of Africa. J. Homepage 5, www.IJEE.IEEFoundation.org (2014).
Bamdad, K. Cool roofs: a climate change mitigation and adaptation strategy for residential buildings. Build. Environ. 236, 110271 (2023).
Bunker, A. et al. The effects of cool roofs on health, environmental, and economic outcomes in rural Africa: study protocol for a community-based cluster randomized controlled trial. Trials 25, 59 (2024).
Mihalakakou, G. et al. Green roofs as a nature-based solution for improving urban sustainability: progress and perspectives. Renew. Sustain. Energy Rev. 180, https://doi.org/10.1016/j.rser.2023.113306 (2023).
MAHRH. Construction d’une Matrice de Comptabilité Sociale pour l’Année 2013 (MAHRH, 2016).
INSD. Les Matrices de Comptabilité Sociale 2015–2017 Du Burkina Faso (INSD, 2021).
INSD. Annuaire Statistique National 2021 (INSD, 2022).
INSD. Enquête Harmonisée Sur Les Conditions de Vie Des Ménages (EHCVM) de 2018 Rapport Général (INSD, 2021).
OECD. ‘Details of Public Revenues—Burkina Faso, 2019’. Revenue Statistics—African Countries https://stats.oecd.org/restsdmx/sdmx.ashx/GetDataStructure/REVBFA (2024).
World Bank. World Development Indicators https://data.worldbank.org/indicator/FR.INR.RINR?locations=BF (2024).
FAO. Food and Agriculture Data https://www.fao.org/faostat/en/#data/RL (2024).
McDonald, S. & Thierfelder, K. A Static Applied General Equilibrium Model: Technical Documentation STAGE Version 2: January 2015 1 DRAFT www.cgemod.org.uk (2015).
Liljegren, J. C., Carhart, R. A., Lawday, P., Tschopp, S. & Sharp, R. Modeling the wet bulb globe temperature using standard meteorological measurements. J. Occup. Environ. Hyg. 5, 645–655 (2008).
Kong, Q. & Huber, M. Explicit calculations of wet-bulb globe temperature compared with approximations and why it matters for labor productivity. Earths Future 10, e2021EF002334 (2022).
Bernard, T. E. Prediction of Workplace Wet Bulb Global Temperature. Appl. Occup. Environ. Hyg. 14, 126–134 (1999).
Lemke, B. & Kjellstrom, T. Calculating workplace WBGT from meteorological data: a tool for climate change assessment. Ind. Health 267–278 (2012).
International Organization for Standardization (ISO). Ergonomics of the thermal environment — Assessment of heat stress using the WBGT (wet bulb globe temperature) index(ISO, 2017) Copyright Protected Document www.iso.orgiTehSTANDARDPREVIEW (2017).
Ciccone, A. & Peri, G. Long-run substitutability between more and less educated workers: evidence from U.S. states, 1950–1990. Rev. Econ. Stat. 87, 652–663 (2005).
Wyndham, C. H. Adaptation to heat and cold. Environ. Res. 2, 442–469 (1969).
Sahu, S., Sett, M. & Kjellstrom, T. Heat exposure, cardiovascular stress and work productivity in rice harvesters in India: implications for a climate change future. Ind. Health. 4, 424–431 (2013).
Houessou, M., Elnour, Z., Grethe, H. & Ramdé, F. A. 2019 Social Accounting Matrix for Burkina Faso with Agricultural Activities and Household Groups Disaggregated by Agroecological Zones https://doi.org/10.5281/zenodo.15603367 (2025).
Acknowledgements
Deutsche Forschungsgemeinschaft (DFG) funded the study as part of the Research Unit FOR 2936: Climate Change and Health in Sub-Saharan Africa. Additionally, the NIH grant R01HD104835, NASA FINESST Grant 80NSSC22K1544, and NSF Grant 2020635, “AccelNet:GLASSNET: Networking Global to Local Analyses to Inform Sustainable Investments in Land and Water Resources,” funded the work on WBGT and labour capacity loss computation. Lastly, we acknowledge support by the Open Access Publication Fund of Humboldt-Universität zu Berlin.
Funding
Open Access funding enabled and organized by Projekt DEAL.
Author information
Authors and Affiliations
Contributions
M. Houessou conceptualized the research, developed the simulation and carried out the simulations under the supervision of Z.E. and H.G. Q.K. computed WBGT and labour capacity loss under the supervision of M. Huber. M. Houessou drafted most of the manuscript, with contributions from Z. E., Q.K., H.G., and M. Huber.
Corresponding author
Ethics declarations
Competing interests
The authors declare no competing interests.
Peer review
Peer review information
Communications Earth and Environment thanks the anonymous reviewers for their contribution to the peer review of this work. Primary Handling Editor: Aliénor Lavergne. [A peer review file is available].
Additional information
Publisher’s note Springer Nature remains neutral with regard to jurisdictional claims in published maps and institutional affiliations.
Supplementary information
Rights and permissions
Open Access This article is licensed under a Creative Commons Attribution 4.0 International License, which permits use, sharing, adaptation, distribution and reproduction in any medium or format, as long as you give appropriate credit to the original author(s) and the source, provide a link to the Creative Commons licence, and indicate if changes were made. The images or other third party material in this article are included in the article’s Creative Commons licence, unless indicated otherwise in a credit line to the material. If material is not included in the article’s Creative Commons licence and your intended use is not permitted by statutory regulation or exceeds the permitted use, you will need to obtain permission directly from the copyright holder. To view a copy of this licence, visit http://creativecommons.org/licenses/by/4.0/.
About this article
Cite this article
Houessou, M.A.K., Elnour, Z., Kong, Q. et al. Heat stress causes economic and welfare disparities across agroecological zones in Burkina Faso. Commun Earth Environ 6, 744 (2025). https://doi.org/10.1038/s43247-025-02650-1
Received:
Accepted:
Published:
Version of record:
DOI: https://doi.org/10.1038/s43247-025-02650-1









