Abstract
Coastal wetland restoration is a nature-based solution to mitigate climate change and eutrophication through carbon and nitrogen storage. However, the effects of different restoration practices on ecosystem carbon and nitrogen dynamics remain unclear. Here we conducted a global meta-analysis on the recovery rates of soil carbon and nitrogen stocks and plant biomass carbon in 110 salt marsh and 190 mangrove sites under various restoration types. Restored coastal wetlands achieved 37–76% of soil carbon, 43–83% of soil nitrogen, and 34–119% of plant biomass carbon relative to natural wetlands, due to different practices. Plant biomass requires ~20 years to reach natural levels, whereas soil carbon and nitrogen stocks require ~40 years. Remediated wetlands have lower recovery resistance than created wetlands, and the recovery efficiency is influenced by engineering approaches, vegetation regrowth, soil properties, and hydrological conditions. These insights help optimize land-sea coordination projects for improving carbon and nitrogen recovery.
Similar content being viewed by others
Introduction
Coastal wetlands, such as salt marshes and mangroves between land and sea, are identified as “blue carbon” ecosystems with a substantial capacity for sequestering carbon (C) (see Table 1 for abbreviations and descriptions) to mitigate climate change1. However, land-cover and -use changes, as well as natural habitat degradation, pose serious threats to existing coastal wetlands, resulting in considerable global wetland area loss2. For example, agriculture reclamation and intensified erosion can alter wetland hydrology, vegetation, soil properties, nutrient supply, and microbial activity, affecting C and nitrogen (N) stocks and enhancing atmospheric greenhouse gas emissions (primarily carbon dioxide (CO2), methane (CH4), and nitrous oxide)3,4. Globally, the degradation of coastal wetlands has caused approximately 10‒30% loss of soil C and N stocks resulting in equivalent global warming potential of approximately 5‒25 t CO2e ha−1 yr−1 5,6. The loss of salt marshes and mangroves has resulted in increased emissions of 16.3 and 7.0 Tg CO2e yr−1, respectively7,8.
Coastal wetland restoration is a critical approach to regain blue C sinks and offset CO2 emissions, through marine carbon dioxide removal pathway which can limit global warming9. Coastal wetland restorations are also nature-based solutions which store and remove N from the marine environment to mitigate coastal eutrophication10. Restoring degraded wetlands undergoing reclamation, erosion and pollution can improve the growth environment of plants, enhance the accretion of tidal flats, and recover the anaerobic soil condition11,12,13. Thereby, these practices could favor organic C sequestration and burial14,15. Globally, wetland restoration projects vary owing to different environmental conditions and restoration methods, resulting in varying plant growth potentials, nutrient availabilities, and C and N recovery efficiencies16,17. The C accumulation in restored wetlands is strongly regulated by hydrological connectivity, salinity, plant species, and soil properties18,19. Popular ecological restoration methods to address the cause and degree of wetland degradation include creation and remediation20,21. Creation refers to the process of transforming land into wetlands where no coastal wetlands previously existed, for instance, converting agricultural fields or aquacultural ponds into wetlands, vegetating bare tidal flats, or modifying the topography of silted land into tidal flats. Remediation refers to efforts to improve habitat structure and ecosystem processes in wetlands, such as improving tidal connectivity or controlling erosion, pollution, and invasive species. In some restoration practices, measures such as modifying topography, hydrology, soil properties, and biotic communities are implemented to reshape tidal exchange channels, rewet drained soil, and enhance water quality, in addition to climate change mitigation through CO2 sequestration22.
However, considerable uncertainties persist in the extent to which the C and N storage of restored coastal wetlands is comparable to that of natural wetlands and the duration of their recovery. Billah et al. (2022) and Dontis et al. (2020) suggested that achieving C accumulation equivalent to that of natural wetlands may require decades to a century22,23, whereas O’ Connor et al. (2019) predicted a shorter period (7–17 years)24. Moreno-Mateos et al. (2012) pointed out that the C storage is very hard to completely achieve equivalent to natural level even when the biological structure has been restored25. Also, there are a few studies on the variations in ecosystem C and N across different coastal wetland types under various restoration practices (creation and remediation). Therefore, a deeper understanding of these restoration practices can help design a land-sea coordination CO2 removal pathway and nature-based solution. In this study, we conducted a global meta-analysis on restored salt marshes and mangroves to assess the efficiency of the restoration of ecosystem C and N recovery in global restored coastal wetlands (Fig. 1). The key questions addressed in this study are (1) does the variety of restoration approaches affect the wetland ecosystem C and N dynamics under various practice modes (Table 2)? and (2) how do changed vegetative, hydro-sedimentary, edaphic conditions, and management practices affect the C and N recovery in wetland ecosystems?
Circles: salt marsh sites, Rectangles: mangrove sites. Restoration types include revegetation (VR), returning agricultural/aquacultural lands to wetlands (RA), shore-bank enhancement (SE), tidal connection (TC), topographical modification (TM), invasive plant eradication (IE), and habitat remediation (HR). Background map from Esri and Garmin International, Inc.; copyright © [2023] Esri.
Results
Ecosystem C and N stocks in restored wetlands
In the restored salt marshes, SC stock within the top 30 cm depth ranged from 5.1 to 252.0 Mg C ha−1 (Fig. 2a), with the highest observed in the TC type (148.6 ± 28.6 Mg C ha−1) and the lowest in the SE type (23.3 ± 5.2 Mg C ha−1). The SOC stock varied from 2.4 to 132.3 Mg C ha−1 in the restored salt marshes (Fig. 2c), with the highest in the RA type (72.6 ± 18.0 Mg C ha−1) and the lowest in the VR type (11.6 ± 6.2 Mg C ha−1). For the restored mangroves, SC stock ranged from 16.5 to 216.0 Mg C ha−1 (Fig. 2b), with the highest in the HR type (71.7 ± 9.6 Mg C ha−1) and the lowest in the IE type (18.6 ± 1.4 Mg C ha−1). The SOC stock ranged from 15.3 to 200.1 Mg C ha−1 (Fig. 2d), with the highest in the HR type (73.5 ± 3.4 Mg C ha−1) and the lowest in the IE type (39.1 ± 5.4 Mg C ha−1).
a, b Soil total C stock (SC stock, Mg C ha−1) in 30 cm depth. c, d Soil organic C stock (SOC stock, Mg C ha−1) in 30 cm depth. e, f Soil total N stock (SN stock, Mg N ha−1) in 30 cm depth. g, h Aboveground biomass C stock (AGBC stock, Mg C ha−1). i, j Belowground biomass C stock (BGBC stock, Mg C ha−1). Restoration types include revegetation (VR), returning agricultural/aquacultural lands to wetlands (RA), shore-bank enhancement (SE), tidal connection (TC), topographical modification (TM), invasive plant eradication (IE), and habitat remediation (HR). Boxes indicate the interquartile range (25th–75th percentile), center lines show the median, whiskers extend to 1.5 × interquartile range from the box, closed circles represent the data point, and open squares represent the mean values. Different letters above the boxes represent significant differences (p < 0.05) in stocks among the restoration types, tested by ANOVA.
The SN stocks within the top 30 cm depth ranged from 0.1 to 18.9 Mg N ha−1 in the restored salt marshes and from 0.1 to 13.3 Mg N ha−1 in the restored mangroves (Fig. 2e, f). For salt marshes, the highest SN stock was observed in the RA type (9.0 ± 5.0 Mg N ha−1) and the lowest in the VR type (0.9 ± 0.1 Mg N ha−1). For mangroves, the highest SN stock was observed in the RA type (4.9 ± 0.5 Mg N ha−1) and the lowest in the IE type (2.9 ± 0.4 Mg N ha−1).
The AGBC stocks of restored salt marshes and mangroves ranged from 0.1 to 30.8 Mg C ha⁻¹ and from 1.6 to 280.6 Mg C ha⁻¹, respectively (Fig. 2g, h). The BGBC stocks ranged from 0.1 to 33.0 Mg C ha⁻¹ in the salt marshes and from 0.3 to 78.6 Mg C ha⁻¹ in the mangroves (Fig. 2i, j). There were no significant differences in plant biomass stocks among the restoration types in salt marshes. In the mangroves, the AGBC stock in the HR type (98.7 ± 12.8 Mg C ha−1) was significantly higher than those in other restoration types.
Variations of C and N content and density
The values of SC and SOC content and density in restored (remediated + created) salt marshes accounted for 42–54% of those in the natural marshes (referred to as “natural levels”), and those in the remediated and created salt marshes accounted for 42–51% and 38–61% of the natural levels, respectively (Fig. 3, and Table 3). Specifically, SOC content and density were approximately 60% of natural levels in the VR type, whereas SC and SOC content and density were at or above the natural levels in RA and TC types. For SE and TM types, SOC content and density were <30% of the natural levels. The SN content and density in restored salt marshes accounted for an average of 34.8 and 70.3% of those in the natural marshes, respectively. For remediated salt marshes, the SN content and density accounted for 51.7 and 66.3%, and for created salt marshes, they accounted for 22.2 and 63.4% of the natural levels, respectively. The SND in the VR, RA, and TC types was >60% of the natural levels, whereas SND in the SE and TM types was <50% of the natural levels. The C/N ratio was not significantly different between the restored (21.6) and natural (23.1) salt marshes. The AGBC and BGBC in restored salt marshes accounted for an average of 100.3 and 45.9% of the natural levels, respectively. For the remediated salt marshes, the plant biomass C was similar to the natural levels, whereas that for the created salt marshes was 42.2–87.1% of the natural level.
a, j Soil total carbon (SC). b, k Soil organic carbon (SOC). c, l Soil total nitrogen (SN). d, m Soil total carbon density (SCD). e, n Soil organic carbon density (SOCD). f, o Soil total nitrogen density (SND). g, p Ratio of organic carbon to nitrogen (C/N ratio). h, q Aboveground biomass carbon (AGBC). i, r Belowground biomass carbon (BGBC). Restoration types include revegetation (VR), returning agricultural/aquacultural lands to wetlands (RA), shore-bank enhancement (SE), tidal connection (TC), topographical modification (TM), invasive plant eradication (IE), and habitat remediation (HR). (s) and (t) show the RR++ of C and N variables in remediated and created wetlands (s: salt marshes, and t: mangroves). Numbers in parentheses represent sample sizes. Error bars represent the 95% confidence intervals (95% CI) of RR++. If the 95% CI did not overlap zero, the RR++ was considered significantly different from natural levels (the dashed horizontal lines), marked by “*”. Between-group variability (QB) with p < 0.05 indicates significant between-group heterogeneity in the variables analyzed.
In the restored mangroves, SOC, SOCD, SC, and SCD accounted for an average of 54.6, 74.5, 25.9, and 52.8% of the natural levels, respectively, whereas those in the remediated and created mangroves accounted for 62–81 and 23–72% of the natural levels, respectively (Fig. 3, and Table 3). For the HR and SE types, the SOC content and density were similar to those of natural mangroves. In the RA type, SCD and SOCD were > 60% of the natural levels. In the VR and IE types, SC and SOC content and density were lower than approximately 70% of the natural levels. The SN content and density in restored mangroves reached averages of 42.3 and 59.3% of the natural levels, respectively. For remediated mangroves, SN content and density accounted for 53.0 and 81.7%, and for created mangroves, they accounted for 38.2 and 57.2% of the natural levels, respectively. The SN content and density in the RA and IE types accounted for approximately 60–80% of the natural levels, whereas those in the VR and SE types were <50% of the natural levels. The C/N ratios in the VR and IE types were lower than those at natural levels. The plant biomass C in the restored mangroves accounted for approximately 60% of the natural levels, whereas that in the SE and IE types was <35% of the natural levels. The plant biomass C in remediated mangroves was >70% of the natural levels, whereas that in the created mangroves was <60% of the natural levels.
Soil C, N, and plant biomass C stocks in the restored salt marshes did not exhibit clear recovery trajectories (Fig. 4a–d), except for the TM type. Soil C stocks in the TM type increased linearly with the restoration period with a rate of 2.19 Mg C ha−1 yr−1, potentially reaching a natural level after approximately 40 years (Fig. 4a). Plant biomass C stocks in the TM type increased logarithmically during the restoration period with a rate of 5.56 Mg C ha−1 yr−1, potentially reaching a natural level after approximately 12 years (Fig. 4d). In the restored mangroves, the soil C stock and N stock increased linearly and logarithmically during the restoration period with a rate of 0.52 Mg C ha−1 yr−1 and 0.07 Mg N ha−1 yr−1, respectively, and potentially reached natural levels both after nearly 45 years (Fig. 4e, f). Plant biomass C reached its natural level within 22 years after mangrove restoration with an average rate of 10.66 Mg C ha−1 yr−1 across all the restoration types (Fig. 4h).
a, e Response ratios of soil carbon stock (lnRR of soil C). b, f Response ratios of soil nitrogen stock (lnRR of soil N). c, g Response ratios of C/N ratio (lnRR of C/N ratio). d, h Response ratios of plant biomass carbon stock (lnRR of biomass C). Restoration types include revegetation (VR), returning agricultural/aquacultural lands to wetlands (RA), shore-bank enhancement (SE), tidal connection (TC), topographical modification (TM), invasive plant eradication (IE), and habitat remediation (HR). Gray horizontal lines represent the natural levels. Shadows represent log-transformed standard errors of natural levels.
Key factors for C and N recovery
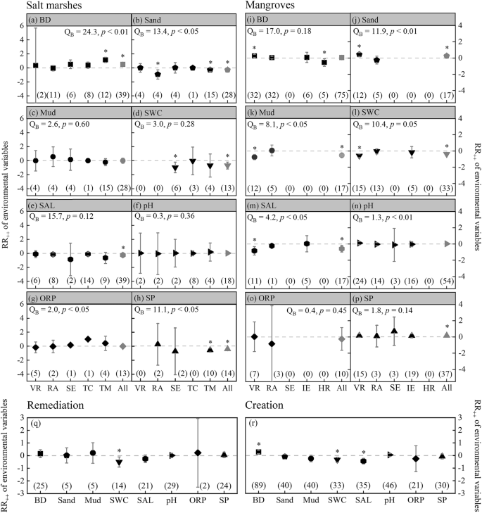
Compared to the natural wetlands, the average BD increased, whereas the average Sand, SWC, SAL, and SP decreased in the restored salt marshes (Fig. 5a–h). In the TM type, BD was significantly higher, and Sand and SP were significantly lower than the natural levels. In the SE type, SWC was significantly lower than the natural level. In the VR and TC types, the soil properties were relatively close to natural levels. The restored mangroves had higher Sand and SP and lower Mud, SWC, and SAL than the natural levels (Fig. 5i–p). The soil properties of the RA, SE, and IE types were relatively close to the natural levels. The VR type had significantly higher BD and Sand and significantly lower Mud, SWC, and SAL than the natural levels. The remediated wetlands showed environmental variables similar to those in the natural wetlands (except for SWC), whereas the BD, SWC, and SAL variables in the created wetlands differed significantly from those in the natural wetlands (Fig. 5q, r).
a, i Soil bulk density (BD). b, j Soil sand content (Sand). c, k Soil mud content (Mud). d, l Soil water content (SWC). e, m Soil salinity (SAL). f, n Soil pH. g, o Soil oxidation–reduction potential (ORP). h, p Soil total phosphorus (SP). Restoration types include revegetation (VR), returning agricultural/aquacultural lands to wetlands (RA), shore-bank enhancement (SE), tidal connection (TC), topographical modification (TM), invasive plant eradication (IE), and habitat remediation (HR). q, r The RR++ of edaphic factors in remediated and created wetlands. Numbers in parentheses represent sample sizes. Error bars represent the 95% confidence intervals (95% CI) of RR++. If the 95% CI did not overlap zero, the RR++ was considered significantly different from natural levels (the dashed horizontal lines), marked by “*”. Between-group variability (QB) with p < 0.05 indicates significant between-group heterogeneity in the variables analyzed.
Overall, the recovery of soil C stock in the restored salt marshes and mangroves was primarily driven by soil N stock, plant biomass, and the C/N ratio (Fig. 6). BD had a direct positive relationship and an indirect negative relationship with soil C stock (Fig. 6, and Fig S1). SWC, MTR, and Mud were positively correlated with soil C stock, whereas MAT was negatively correlated with soil C stock (Fig. 6, and Fig S1). pH was negatively correlated with soil C stock in the restored salt marshes, but positively correlated with soil C stock in the RA-type mangroves (Fig. S1). SAL was negatively correlated with soil C stock in the VR type and positively correlated with soil C stock in the IE-type mangroves (Fig. S1). SP was negatively correlated with IE-type soil C stocks (Fig. S1). YAR had a direct positive relationship with plant biomass C and soil N stocks (Fig. 6). Mud and SWC were positively correlated with soil N stock, whereas BD and MAT were negatively correlated (Fig. 6, and Fig S2). SAL and MTR were positively correlated with soil N stocks in the IE type (Fig. S2). pH was positively correlated with soil N stock in the RA-type mangroves (Fig. S2). SAL, MTR, BD, and pH were negatively correlated with plant biomass C stocks (Fig. 6, and Fig S3). MSR and SP were positively correlated with biomass in the VR- and TM-type salt marshes, respectively, whereas SWC was negatively correlated with biomass in RA-type mangroves (Fig. S3).
Soil C: response ratios of soil carbon stock. Soil N: response ratios of soil nitrogen stock. Plant biomass: response ratios of plant biomass carbon stock. C/N ratio: soil organic carbon/nitrogen ratio. MTR: mean tidal range. SAL: soil salinity. BD: soil bulk density. Mud: soil mud content. pH: soil pH. SWC: soil water content. YAR: year after restoration. Blue, red, and dashed gray arrows indicate positive, negative, and insignificant relationships, respectively. Values associated with arrows represent standardized path coefficients, with significance indicated by asterisks (“*” for p < 0.05 and “**” for p < 0.01). The R2 values associated with the response variables indicate the proportion of the variation explained by the other variables. The model fit to the data was tested using chi-square (χ2), normed chi-square (χ2 / df), probability (p), root mean square error of approximation (RMSEA), comparative fit (CFI), and Tucker–Lewis indices (TLI). The sample size is 262.
Discussion
Wetland C and N recovery efficiency
On a global scale, restored salt marshes and mangroves exhibit significant heterogeneity in soil and plant C and N stocks owing to various restoration practices and environmental variables. Our results reflect the different recovery efficiencies of ecosystem C and N stocks among the restoration types influenced by land-use histories and engineering approaches (Fig. S4). Chronologically, the AGBC stock of restored salt marshes reaches natural levels relatively quickly (approximately 10 years), whereas the total plant biomass C stock of restored mangroves requires approximately 20 years to recover (Fig. 4). Subsequently, the recovery of soil C and N stocks requires approximately 40 years to reach natural levels (Figs. 4, 6). The possible reason is that some degraded coastal wetland had very low initial soil C stocks ( < 20% of natural levels) before restoration, leading to such a long time for soil C recovery. Effective recovery of soil N stock and vegetation is also a prerequisite for restoring soil C stocks22,26.
Revegetation is a common restoration practice for degraded wetlands resulting from deforestation and land development. However, ecosystem C and N stocks in the VR type (for both salt marshes and mangroves) were significantly lower than the natural levels (Figs. 2, 3, and Table 3). This indicates that the initial effects of VR on organic C and N accumulation in the tidal flats were poor (Fig. S4). The survival rate of newly planted vegetation was generally low under strong wave disturbances and frequent tidal inundation, and young seedlings were susceptible to harsh environmental stresses27,28. In addition, we found that many revegetation practices relied on monotype plantations, and thus the low plant diversity was unfavorable for the formation of a stable top community with high biomass levels17,29. Thus, ecosystem C and N development in the VR type requires a long period of time.
In the salt marshes restored from agricultural lands, the average ecosystem C and N stocks approached natural levels compared with the other restoration types (Figs. 2, 3, and Table 3). When natural wetlands are converted to agricultural fields, there is substantial SOC stock loss from management practices such as drainage, cultivation, and harvesting3,5. However, over time, crop growth can contribute organic C to the soil and partially mitigate SOC loss, particularly with appropriate hydrological and fertilization management30. Fertilization during cultivation can increase soil N content31 and stimulate plant growth, facilitating SOC storage. Moreover, rewetting drained agricultural land can reduce the decomposition of soil organic matter (SOM) and subsequent greenhouse gas emissions12. Therefore, the initial SOC level was generally higher in the RA type than in the other degraded wetlands (Fig. S4). However, in mangroves restored from aquacultural lands, SOC content and density were still significantly lower than the natural levels, although N content and density were close to the natural levels (Figs. 2, 3). This can be attributed to the fact that most of the degraded mangroves were previously converted to aquaculture ponds (Fig. S4), where large amounts of forage residuals and animal feces notably increased sediment N loads6.
The tidal reconnection for the salt marshes also demonstrated good restoration efficiency, as ecosystem C and N stocks were relatively close to natural levels, and the SC stock was the highest compared with the other restoration types (Figs. 2, 3, and Table 3). Tidal reconnection can result in high sedimentation rates32,33, particularly by providing appropriate conditions for vegetation regrowth and tidal flat accretion34,35. Both autochthonous litters and allochthonous materials contributed to the high sedimentation rates32. Moreover, the diversity of native vegetation species can also be enhanced through tidal transportation of seeds and propagules to new colonization areas1. Therefore, the high soil C and N accumulation rates may be attributed to the combined effects of the increased sedimentation rate and rapid recovery of diverse plant community (Fig. S4). Moreover, Kroeger et al. (2017) reported that substantial reductions in CH4 emissions have been achieved through the restoration of tidal connectivity36.
Many salt marshes have suffered bank erosion owing to land reclamation and storm events. Bank erosion generally inhibits the survival and development of vegetation37. In shore-bank enhancement- and topographical modification-type restored salt marshes, dredged sediment or upland soil that contained low SOM and nutrient contents was often used as a substrate to elevate the marsh basement or to recreate new tidal mudflats (Fig. S4). This would lead to the initially low C and N storage in the young restored wetlands38,39. Although the SOC and SN stocks in the SE and TM types remained significantly lower than the natural levels (Fig. 3), the soil C stock recovered steadily over time (Fig. 4). Furthermore, SE-type mangroves showed SOC and SN stocks relatively close to natural levels (Fig. 3) compared with that of the salt marshes. Mangroves are more effective than salt marshes for wave attenuation and erosion mitigation because of their denser canopies and greater root biomass40,41. This may be the reason why the degradation of C and N storage was less severe in the mangroves than in the salt marshes under eroding conditions (Fig. S4).
Along China’s coastline, a serious ecological risk arises from the rapid invasion of Spartina alterniflora, which exerts a strong competitive pressure on native marsh and mangrove species. Consequently, a national-scale ecological engineering project was conducted to remove invasive S. alterniflora from the coast42. An eco-friendly solution is to plant mangroves in areas from which S. alterniflora has been cleared. Soil C and N densities in the IE-type mangroves were close to natural levels (Fig. 3, and Fig S4
). Similar to China’s S. alterniflora control project, the US and European countries have also carried out the engineering projects to remove the exotic plants and restore the native salt marsh species43,44. These practices had been successful in enhancing C storage and mitigating eutrophication. We also found that the SOC density in the habitat remediation-type was close to the natural level, and the AGBC stock was the highest among all restoration types (Figs. 2, 3). A possible reason for this is that degraded mangroves, despite environmental pollution, may still retain appropriate hydrological, nutrient, and saline conditions, and further improvements in habitat quality could efficiently support plant growth and C sequestration (Fig. S4).
Additionally, we found that the recovery efficiency of ecosystem C and N stocks was generally higher in the remediated than in the created wetlands (Fig. 3). This may be because the edaphic characteristics of the remediated wetlands were similar to those of the natural wetlands (Fig. 5). In North Carolina, the recovery rate of SOM in remediated forest wetlands was higher than in created wetlands because of the organic-rich substrate of the remediation sites45. In Hawaii, the SOM content, soil mud content, and pH in remediated coastal wetlands were closer to natural levels, which was more favorable for vegetation development than in created coastal wetlands46. Song et al. (2023) summarized that the remediation of existing mangrove habitats is more cost-effective than the conversion or creation of new mangrove ecosystems47. Another reason is that the conversion of natural wetlands to other land uses and land covers results in a high degree of C loss5,6. The reclamation and development of natural coastal wetlands will block the exchange of tidal water and nutrient matter from coastal waters, and the consequent drainage and agricultural management practices (tillage, fertilization, and irrigation) will profoundly reduce the water table and increase ammonium and nitrate concentrations in the soil. This stimulates the activity of nitrifying and denitrifying bacteria and soil C conversion, leading to high nitrous oxide and CO2 emissions, and soil C loss. Therefore, additional effort, cost, and time are required for plant community reintroduction, topographical rebuilding, and hydrological regulation in created wetlands.
Although this study was able to estimate the recovery rates of ecosystem C and N stocks in the restored coastal wetlands, there still remain gaps in the quantification of lateral element exchange in ecosystem C and N cycles. The tidal transportation of dissolved fractions of ecosystem C and N (soil dissolved organic C and N) between coastal ecosystems and adjacent waters plays an important role in C and N budgets. The effects of wetland restoration practices on lateral C and N exchange require additional attention.
Roles of environmental factors
During wetland restoration, soil C stocks increased with increasing plant biomass and soil N stocks (Fig. 6). Increased plant biomass leads to an increased plant-derived C input into the soil profile, and sediment particles with organic materials are trapped by dense plant canopies, prop roots, and pneumatophores26. New plant-derived organic matter inputs (cellulose and lignin-like material) and a low degree of decomposition generally enhance the ecosystem organic C stock48,49. The plant-derived C influx (litters) into the soil also facilitated the formation of soil aggregates which are difficult for microbes to decompose in a short-term50. Moreover, an increase in soil N content supports plant biomass growth and alters microbial enzyme activity, which may result in slower decomposition of recalcitrant SOM51. N availability may also affect the formation and release of dissolved organic C and improve SOC stocks52,53. Additionally, low latitude and high MAT were associated with lower soil C and N stocks in the restored wetlands (Figs. S1, and Fig S2). This may be due to the stimulatory effects of high temperatures on soil respiration and N mineralization, leading to reduced C and N retention30,54.
Soil C and N stocks increased with SWC, whereas BD had a negative effect on soil C stocks (Fig. 6, Fig S1, and Fig S2). In general, wetland soils with a higher BD have fewer fine-grained sediments and a lower water-holding capacity55,56. In coastal wetlands, high mud content and fine-grained sediments are favorable for nutrient and SOM retention57,58. A higher BD also represents increased anaerobic conditions and a lower SOM mineralization rate59. In contrast, BD negatively affected plant growth in salt marshes (Fig. S3) owing to poor soil nutrient storage under low soil porosity60.
Soil salinity negatively affected vegetation C stocks, indicating that salt stress affects plant growth (Fig. 6). In contrast, soil salinity positively affected soil organic C and N (in the IE type) because high salinity can inhibit SOM mineralization59,61 (Figs. S1, and Fig S2), which is favorable for C and N preservation. MTR negatively affected vegetation C due to lengthy inundation and strong tidal flushing under high MTR conditions, which inhibited plant colonization and growth. Conversely, MTR promoted soil C stocks, possibly because of the high sediment C availability due to tidal runoff. Low soil pH also negatively affected soil C and N stocks in RA-type mangroves (Figs. S1, and Fig S2). Several RA-type examples have shown soil acidification, likely a consequence of aquaculture pond construction, resulting in low N availability, low inorganic C preservation, and inhibition of plant and microbial metabolism58,62.
Implications for coastal wetland restoration
Enhancing coastal ecosystem C and N sinks and reducing greenhouse gas emissions are considered biotic marine CO2 removal pathway to mitigate global warming, and nature-based solution to reduce marine nutrient loading. However, a better understanding of coastal wetland restoration is required to improve C- and N-related benefits. Here, we discuss valuable insights for improving the coastal wetland restoration projects based on land-sea coordination and propose a workflow to better implement restoration projects for recovering ecosystem C and N sinks (Fig. 7).
Workflow to implement land-sea coordination projects for recovering ecosystem C and N sinks in coastal wetlands.
Degraded salt marshes and mangrove habitats typically face adverse conditions, such as vegetation community issues, topography, salinity, nutrient levels, and other environmental factors47. First, a substantial amount of information on wetland degradation or damage is necessary to identify various restoration requirements, including vegetation state, soil quality, and hydrological and topographical regimes (Fig. 7). It is also crucial to identify the factors that limit wetland restoration. A well-designed restoration plan can enhance resistance to uncertainty and challenges and improve the recovery of geomorphology and environmental quality in coastal wetlands.
Furthermore, a series of suitable techniques must be employed to achieve wetland restoration, depending on the degree of damage and restoration goals (Fig. 7), which are particularly important for creation projects that typically face adverse environments for restoration. For instance, terrain modification and hydrological regulation should be conducted before vegetation restoration because topographical and flooding regimes greatly influence the survival and development of vegetation in tidal flats in the coastal environment. For topographical modification, it is advisable to use environmentally friendly substrates or appropriate textures to increase the flat elevation (layer increment with dredged sediment) and maintain the sedimentation rate (using wooden and bamboo piles as wave barriers). Monoculture planting is a common revegetation method63,64,65. However, monoculture ecosystems may not sustain increased C and N storage because of their susceptibility to diseases and environmental impacts29,66. Particularly for wetlands converted to aquaculture ponds in many Asian countries, the edaphic conditions, topography, and vegetation communities are challenging to restore to their original states. Additional time is required for soil quality improvement and vegetation restoration, and artificial adjustments to plant communities should be considered to accelerate the adaptation of vegetation to soil exposure, nutrient changes, and salinity during the transition from impounded ponds to open tidal habitats67,68. Additionally, weed invasion can limit mangrove growth owing to the rapid expansion and strong competition for nutrients by invasive weeds. Mangroves have a higher capacity for ecosystem C storage than herbaceous species69. Therefore, ecological substitution with native mangrove species could efficiently reduce the risk of C and N stock losses.
Conclusions
Based on the global meta-analysis, coastal wetland restoration practices exhibit varying climate-mitigation potentials depending on the type of restoration and original land use. In some cases, restored sites showed up to a 1.5-fold increase in vegetative biomass C following restoration, while the soil C and N, though slower to respond, also exhibited a positive trajectory, reaching levels comparable to those of natural wetlands in both salt marsh and mangrove ecosystems. Plant biomass C might require approximately 20 years to reach natural levels, whereas soil C and N stocks might require approximately 40 years. We also found that the remediated wetlands have lower recovery resistance than created wetlands. The efficiency of ecosystem C and N recovery is influenced by engineering approaches (topographical modification and tidal reconnection), vegetation regrowth (biomass accumulation and species composition), soil properties (sediment texture, BD, pH, and nutrient content), hydrological conditions (tidal regime, soil water content, and SAL), and restoration duration. This study provides a more holistic understanding of varying restoration approaches relative to wetland C and N stock recovery, both above and belowground. Here, a land-sea coordination workflow was developed to guide restoration projects and heighten their success – from problem identification through design to implementation.
Methods
Data compilation
The peer-reviewed published articles were drawn from the Web of Science (http://www.isiknowledge.com/) to obtain data on the changes in ecosystem C and N due to global salt marsh and mangrove restoration practices. The paper retrieval followed the keywords search terms: “AB = (coastal wetland* OR tidal wetland* OR estuarine wetland* OR tidal marsh* OR coastal marsh* OR estuarine marsh* OR salt marsh* OR saltmarsh* OR mangrove* OR tidal flat* OR mudflat* OR mud flat* OR degraded*) AND TI = (enhance* OR creat* OR restor* OR recover* OR rehabilitat* OR modif* OR construct* OR conversion* OR engineering* OR artificial* OR manag* OR reforest* OR afforest* OR revegetat* OR planted* OR plantation* OR planting* OR replant*) AND AB = (carbon* OR nitrogen* OR GPP* OR NPP* OR primary producti* OR biomass*) NOT TS = (model* OR map* OR remot* sens*)” with a time span of 1980‒2023. A total of 3,555 articles were found. We assessed the qualification of each article to be selected for analysis following four basic criteria: (a) the studies have to be based on field sampling; (b) the restored wetlands match at least one type listed in Table 2, listing five salt marsh and mangrove restoration types (modes); (c) the wetlands must be restored by engineering approaches, not passive restoration; (d) the articles include at least one of the following information: soil total carbon content (SC, organic C + inorganic C, g kg−1), soil total carbon density (SCD, g cm−3), soil organic carbon content (SOC, g kg−1), soil organic carbon density (SOCD, g cm−3), soil total nitrogen content (SN, g kg−1), soil total nitrogen density (SND, g cm−3), aboveground biomass carbon (AGBC, g C m−2), belowground biomass carbon (BGBC, g C m−2), and total biomass carbon (g C m−2).
A total of 110 sites for salt marshes (Supplementary Data 1) and 190 sites for mangroves (Supplementary Data 2) were eventually selected. Distribution of these sites was shown in Fig. 1. For salt marsh, there were 15 sites for revegetation (VR), 12 sites for returning agricultural lands to wetlands (RA), 32 sites for shore-bank enhancement (SE), 18 sites for tidal connection (TC), and 33 sites for topographical modification (TM). For mangrove, there were 80 sites for revegetation (VR), 50 sites for returning aquacultural lands to wetlands (RA), 12 sites for shore-bank enhancement (SE), 20 sites for invasive plant eradication (IE), and 28 sites for habitat remediation (HR). These restoration types were methodologically classified into wetland creation and remediation (Table 2). Generally, the restored sites appeared with natural wetland sites (reference sites). When a restored site in an article didn’t have reference site, a natural site was chosen from another study that was conducted nearby (mostly within 100 miles). Data only expressed in digitized graphs were extracted using Digitizer tool of Origin 2021 (OriginLab, USA).
The soil properties of the top 30 cm of wetlands are the most sensitive to land management practices6,63,70, therefore, we used soil C and N data from the top 30 cm of the soil layer for analysis in this study (Supplementary Data 3-4). The soil C and N contents (soil total C content (SC), soil organic C content (SOC), or soil total N content (SN), g kg−1) and bulk density (BD, g cm−3) were used to calculate C (soil total C density (SCD) and soil organic C density (SOCD), g cm−3) and N density (soil total N density (SND), g cm−3) as follows:
The SC, SOC, and SN stocks were derived by multiplying SCD, SOCD, and SND by soil depth (30 cm). The C/N ratio was calculated as the atomic ratio of measured organic C to N. Plant biomass was converted to aboveground biomass C (AGBC) and belowground biomass C (BGBC) by multiplying the biomass by the C conversion ratio (Supplementary Data 5-6).
For each site, information on longitude, latitude, years after restoration (YAR), mean annual temperature (MAT, °C), mean solar radiation (MSR, kJ m−2 d−1), mean tidal range (MTR, m), BD, soil sand content (Sand %), soil mud content (Mud, silt + clay, %), soil water content (SWC), salinity (SAL), pH, oxidation–reduction potential (ORP, mV), and soil total phosphorus (SP, g kg−1) were extracted from articles (Supplementary Data 7-8). The SAL was reported in one of three ways: porewater salinity (PSU), soil salinity (g kg−1), and electrical conductivity (S m−1), whereas SWC was reported in two ways: gravimetric (g %) and volumetric fractions (m3 %). Articles reporting longitude and latitude but not MAT or MSR were obtained from the WorldClim database (https://www.worldclim.org/).
Data analyses
To evaluate the recovery of ecosystem C and N in each case, the natural log of the response ratio (lnRR) was calculated as
where Xe and Xc are the values of the variables of interest at each pair of restored and reference sites, respectively. For the variables with negative values (e.g. ORP), the values were normalized to [0, 1] with min-max normalization method. A grouped meta-analysis was conducted to evaluate the C and N recovery for each restoration type. This method provides the weighted response ratio (RR++) for each restoration type based on the sample size and the standard deviation of each restoration case classified under this type. Due to the interchangeable use of standard deviation and standard error in the collected database, we employed an alternative weighting method only requiring sample size to calculate RR++, following Adams et al. (1997)71. A rank correlation test was employed to test the effects of publication bias of the meta-analysis (Table S1).
The bootstrapping method with 9999 iterations was used to calculate the 95% confidence intervals (95% CI) of RR++. If the 95% CI did not overlap with zero, the variable in question was considered significantly different from the natural level (p < 0.05). A randomization test was used to evaluate the heterogeneity of the variable among restoration types using the between-group variability (QB) and p-value. The percentage of a variable in restored wetlands relative to the natural level was calculated as \({{{\rm{e}}}}^{{{{\rm{RR}}}}_{++}}\times 100 \%\).
One-way analysis of variance (ANOVA) was conducted to test the differences in ecosystem C and N stocks among restoration types. The normality assumption was tested using the Shapiro-Wilk test. Levene’s test was used to assess the homogeneity of variance. For data with homogeneous variance, the least significant difference test was used for multiple comparisons; for data with nonhomogeneous variance, Tamhane’s T2 test was applied. Linear regression and non-linear regression analysis based on logarithmic functions were performed to examine the relationships between the C and N variables and environmental factors. Finally, a structural equation model (SEM) was used to assess the direct and indirect effects of factors on C and N variables across all restoration cases. Factors with relatively fewer missing data, which can be effectively processed by the full information maximum likelihood procedure, were included in the model, such as MAT, MTR, SAL, SWC, BD, Mud, pH, and YAR. In the regression analysis and SEM, if more than one soil C indicator was reported in an article, only one indicator was selected to represent soil C (“lnRR of soil C”), following the sequence of SOC, SOCD, SC, and SCD. Similarly, for each article, only one N indicator was selected to represent soil N (“lnRR of soil N”), following the sequence of SN and SND, and only one biomass indicator was selected to represent biomass C (“lnRR of plant biomass C”), following the sequence of total biomass carbon, AGBC, and BGBC.
Grouped meta-analysis was performed using MetaWin, version 3.0 (Sinauer Associates). Regression analysis and ANOVA were conducted using SPSS Statistics for Windows, version 20.0 (IBM). SEM and the data gap-filling process were carried out using SPSS Amos, version 26.0 (IBM). Mean values are reported as mean ± standard error in this paper.
Reporting summary
Further information on research design is available in the Nature Portfolio Reporting Summary linked to this article.
Data availability
The data that support this study and detailed descriptions72 can be accessed at https://doi.org/10.5281/zenodo.17364227.
References
Macreadie, P. I. et al. Blue carbon as a natural climate solution. Nat. Rev. Earth Environ. 2, 826–839 (2021).
Newton, A. et al. Anthropogenic, direct pressures on coastal wetlands. Front Ecol. Evol. 8, 144 (2020).
Li, J. et al. Evolution of soil properties following reclamation in coastal areas: a review. Geoderma 226, 130–139 (2014).
Spivak, A. C., Sanderman, J., Bowen, J. L., Canuel, E. A. & Hopkinson, C. S. Global-change controls on soil-carbon accumulation and loss in coastal vegetated ecosystems. Nat. Geosci. 12, 685–692 (2019).
Tan, L. et al. Conversion of coastal wetlands, riparian wetlands, and peatlands increases greenhouse gas emissions: A global meta-analysis. Glob. Chang. Biol. 26, 1638–1653 (2020).
Tan, L. et al. Land use and land cover changes in coastal and inland wetlands cause soil carbon and nitrogen loss. Glob. Ecol. Biogeogr. 31, 2541–2563 (2022).
Atwood, T. B. et al. Global patterns in mangrove soil carbon stocks and losses. Nat. Clim. Change 7, 523–528 (2017).
Campbell, A. D., Fatoyinbo, L., Goldberg, L. & Lagomasino, D. Global hotspots of salt marsh change and carbon emissions. Nature 612, 701–706 (2022).
Doney, S. C., Wolfe, W. H., McKee, D. C. & Fuhrman, J. G. The science, engineering, and validation of marine carbon dioxide removal and storage. Annu. Rev. Mar. Sci. 17, 1–6.27 (2024).
Cheng, F., Van Meter, K. J., Byrnes, D. K. & Basu, N. B. Maximizing US nitrate removal through wetland protection and restoration. Nature 588, 625 (2020).
Curado, G., Grewell, B. J., Figueroa, E. & Castillo, J. M. Effectiveness of the aquatic halophyte Sarcocornia perennis spp. perennis as a biotool for ecological restoration of salt marshes. Water Air Soil Pollut. 225, 2108 (2014).
Iram, N. et al. Climate change mitigation and improvement of water quality from the restoration of a subtropical coastal wetland. Ecol. Appl. 32, e2620 (2022).
Morris, R. L., Fest, B., Stokes, D., Jenkins, C. & Swearer, S. E. The coastal protection and blue carbon benefits of hybrid mangrove living shorelines. J. Environ. Manag. 331, 117310 (2023).
Zou, J. et al. Rewetting global wetlands effectively reduces major greenhouse gas emissions. Nat. Geosci. 15, 627–632 (2022).
Mason, V. G. et al. Blue carbon benefits from global saltmarsh restoration. Glob. Chang. Biol. 29, 6517–6545 (2023).
Temmink, R. J. M. et al. Recovering wetland biogeomorphic feedbacks to restore the world’s biotic carbon hotspots. Science 376, eabn1479 (2022).
Bourgeois, C. F. et al. Four decades of data indicate that planted mangroves stored up to 75% of the carbon stocks found in intact mature stands. Sci. Adv. 10, eadk5430 (2024).
Suir, G. M., Sasser, C. E., DeLaune, R. D. & Murray, E. O. Comparing carbon accumulation in restored and natural wetland soils of coastal Louisiana. Int. J. Sediment Res. 34, 600–607 (2019).
Xin, P. et al. Surface water and groundwater interactions in salt marshes and their impact on plant ecology and coastal biogeochemistry. Rev. Geophys. 60, e2021RG000740 (2022).
Perrow, M. R. & Davy, A. J. Hand Book of Ecological Restoration: Principles of Restoration 5–6 (Cambridge University Press, 2002).
Mitsch, W. J. & Gosselink, J. G. Wetlands 270–382 (John Wiley & Sons, Inc., 2007).
Billah, M. M., Bhuiyan, M. K. A., Islam, M. A., Das, J. & Hoque, A. R. Salt marsh restoration: an overview of techniques and success indicators. Environ. Sci. Pollut. Res. 29, 15347–15363 (2022).
Dontis, E. E., Radabaugh, K. R., Chappel, A. R., Russo, C. E. & Moyer, R. P. Carbon storage increases with site age as created salt marshes transition to mangrove forests in Tampa Bay, Florida (USA). Estuaries Coasts 43, 1470–1488 (2020).
O’Connor, J. J., Fest, B. J., Sievers, M. & Swearer, S. E. Impacts of land management practices on blue carbon stocks and greenhouse gas fluxes in coastal ecosystems-A meta-analysis. Glob. Chang. Biol. 26, 1354–1366 (2020).
Moreno-Mateos, D., Power, M. E., Comín, F. A. & Yockteng, R. Structural and functional loss in restored wetland ecosystems. PLoS Biol. 10, e1001247 (2012).
Duarte, C. M., Losada, I. J., Hendriks, I. E., Mazarrasa, I. & Marbà, N. The role of coastal plant communities for climate change mitigation and adaptation. Nat. Clim. Change 3, 961–968 (2013).
Islam, M. S., Pervez, A., Rahman, M. A. & Molla, M. H. R. Eco-engineering of coastal environment through saltmarsh restoration towards climate change impact mitigation and community adaptation in Bangladesh. Reg. Stud. Mar. Sci. 46, 101880 (2021).
Liu, Z. et al. A global meta-analysis on the drivers of salt marsh planting success and implications for ecosystem services. Nat. Commun. 15, 3643 (2024).
Rahman, M. M. et al. Co-benefits of protecting mangroves for biodiversity conservation and carbon storage. Nat. Commun. 12, 3875 (2021).
Xu, S., Liu, X., Li, X. & Tian, C. Soil organic carbon changes following wetland restoration: a global meta-analysis. Geoderma 353, 89–96 (2019).
Burden, A., Garbutt, R. A., Evans, C. D., Jones, D. L. & Cooper, D. M. Carbon sequestration and biogeochemical cycling in a saltmarsh subject to coastal managed realignment. Estuar., Coast. Shelf Sci. 120, 12–20 (2013).
Eagle, M. J. et al. Soil carbon consequences of historic hydrologic impairment and recent restoration in coastal wetlands. Sci. Total Environ. 848, 157682 (2022).
Craft, C. Tidal marsh restoration on Sapelo Island: a legacy of R.J. Reynolds, Jr., Eugene Odum and the University of Georgia Marine Institute. Ecol. Eng. 187, 106875 (2023).
Anisfeld, S. C., Hill, T. D. & Cahoon, D. R. Elevation dynamics in a restored versus a submerging salt marsh in Long Island Sound. Estuar. Coast. Shelf Sci. 170, 145–154 (2016).
Wang, F., Eagle, M., Kroeger, K. D., Spivak, A. C. & Tang, J. Plant biomass and rates of carbon dioxide uptake are enhanced by successful restoration of tidal connectivity in salt marshes. Sci. Total Environ. 750, 141566 (2021).
Kroeger, K. D., Crooks, S., Moseman-Valtierra, S. & Tang, J. Restoring tides to reduce methane emissions in impounded wetlands: a new and potent Blue Carbon climate change intervention. Sci. Rep. 7, 11914 (2017).
Ge, Z., Li, S., Tan, L., Li, Y. & Hu, Z. The importance of the propagule-sediment-tide “power balance” for revegetation at the coastal frontier. Ecol. Appl. 29, e01967 (2019).
Cornell, J. A., Craft, C. B. & Megonigal, J. P. Ecosystem gas exchange across a created salt marsh chronosequence. Wetlands 27, 240–250 (2007).
Wood, S. E., White, J. R. & Armbruster, C. K. Microbial processes linked to soil organic matter in a restored and natural coastal wetland in Barataria Bay, Louisiana. Ecol. Eng. 106, 507–514 (2017).
Chen, Y., Li, Y., Cai, T., Thompson, C. & Li, Y. A comparison of biohydrodynamic interaction within mangrove and saltmarsh boundaries. Earth Surf. Process. Landf. 41, 1967–1979 (2016).
Temmerman, S. et al. Marshes and mangroves as nature-based coastal storm buffers. Annu. Rev. Mar. Sci. 15, 95–118 (2023).
Zheng, X. et al. Impact of Spartina alterniflora invasion in coastal wetlands of China: Boon or bane? Biology 12, 1057 (2023).
Curado, G., Rubio-Casal, A. E., Figueroa, E., Grewell, B. J. & Castillo, J. M. Native plant restoration combats environmental change: development of carbon and nitrogen sequestration capacity using small cordgrass in European salt marshes. Environ. Monit. Assess. 185, 8439–8449 (2013).
Artigas, F. et al. Long term carbon storage potential and CO2 sink strength of a restored salt marsh in New Jersey. Agric. Meteorol. 200, 313–321 (2015).
Bruland, G. L. & Richardson, C. J. Comparison of soil organic matter in created, restored and paired natural wetlands in North Carolina. Wetl. Ecol. Manag. 14, 245–251 (2006).
Bantilan-Smith, M., Bruland, G. L., MacKenzie, R. A., Henry, A. R. & Ryder, C. R. A comparison of the vegetation and soils of natural, restored, and created coastal lowland wetlands in Hawai’i. Wetlands 29, 1023–1035 (2009).
Song, S. et al. Mangrove reforestation provides greater blue carbon benefit than afforestation for mitigating global climate change. Nat. Commun. 14, 756 (2023).
Paul, E. A. The nature and dynamics of soil organic matter: Plant inputs, microbial transformations, and organic matter stabilization. Soil Biol. Biochem. 98, 109–126 (2016).
Xia, S. et al. Distribution, sources, and decomposition of soil organic matter along a salinity gradient in estuarine wetlands characterized by C:N ratio, δ13C-δ15N, and lignin biomarker. Glob. Chang. Biol. 27, 417–434 (2021).
Assavapanuvat, P. et al. Contrasting stocks and origins of particulate and mineral-associated soil organic carbon in a mangrove-salt marsh ecotone. Geoderma 446, 116904 (2024).
Bowden, R. D. et al. Long-term nitrogen addition decreases organic matter decomposition and increases forest soil carbon. Soil Sci. Soc. Am. J. 83, S82–S95 (2019).
Chang, R. et al. Nitrogen addition reduces dissolved organic carbon leaching in a montane forest. Soil Biol. Biochem. 127, 31–38 (2018).
Qu, W. et al. Nitrogen input in different chemical forms and levels stimulates soil organic carbon decomposition in a coastal wetland. Catena 194, 104672 (2020).
Gao, H. et al. High temperature and salinity enhance soil nitrogen mineralization in a tidal freshwater marsh. PLoS ONE 9, e95011 (2014).
Torres, J. R., Barba, E. & Choix, F. J. Mangrove productivity and phenology in relation to hydroperiod and physical–chemistry properties of water and sediment in biosphere reserve, Centla wetland, Mexico. Trop. Conserv Sci. 11, 194008291880518 (2018).
Magha, A. M. et al. Soil water characteristics of Gleysols in the Bamenda (Cameroon) wetlands and implications for agricultural management strategies. Appl. Environ. Soil Sci. 2021, 1–15 (2021).
Plante, A. F., Conant, R. T., Stewart, C. E., Paustian, K. & Six, J. Impact of soil texture on the distribution of soil organic matter in physical and chemical fractions. Soil Sci. Soc. Am. J. 70, 287–296 (2006).
Xiong, Y. et al. Factors influencing mangrove forest recruitment in rehabilitated aquaculture ponds. Ecol. Eng. 168, 106272 (2021).
Luo, M., Huang, J., Zhu, W. & Tong, C. Impacts of increasing salinity and inundation on rates and pathways of organic carbon mineralization in tidal wetlands: a review. Hydrobiologia 827, 31–49 (2019).
Stagg, C. L. & Mendelssohn, I. A. Restoring ecological function to a submerged salt marsh. Restor. Ecol. 18, 10–17 (2010).
Bowen, J. L., Spivak, A. C., Bernhard, A. E., Fulweiler, R. W. & Giblin, A. E. Salt marsh nitrogen cycling: where land meets sea. Trends Microbiol. 32, 565–576 (2024).
Amelia, R. et al. Evaluation of plant growth and potential of carbon storage in the restored mangrove of an abandoned pond in Lubuk Kertang, North Sumatra, Indonesia. Forests 14, 158 (2023).
Chen, W. et al. Soil carbon and nitrogen storage in recently restored and mature native Scirpus marshes in the Yangtze Estuary, China: Implications for restoration. Ecol. Eng. 104, 150–157 (2017).
Noll, A., Mobilian, C. & Craft, C. Five decades of wetland soil development of a constructed tidal salt marsh, North Carolina, USA. Ecol. Restor. 37, 163–170 (2019).
Carnell, P. E. et al. Blue carbon drawdown by restored mangrove forests improves with age. J. Environ. Manag. 306, 114301 (2022).
Seddon, N. et al. Understanding the value and limits of nature-based solutions to climate change and other global challenges. Philos. Trans. R. Soc. B 375, 20190120 (2020).
Emery, H. E. & Fulweiler, R. W. Incomplete tidal restoration may lead to persistent high CH4 emission. Ecosphere 8, e01968 (2017).
Lynum, C. A. et al. Microbial community response to a passive salt marsh restoration. Estuaries Coasts 43, 1439–1455 (2020).
Alongi, D. M. Carbon balance in salt marsh and mangrove ecosystems: a global synthesis. J. Mar. Sci. Eng. 8, 767 (2020).
Ratul, S. B. et al. Blue carbon sequestration following mangrove restoration: evidence from a carbon neutral case in China. Ecosys Health Sustain 8, 2101547 (2022).
Adams, D. C., Gurevitch, J. & Rosenberg, M. S. Resampling tests for meta-analysis of ecological data. Ecology 78, 1277–1283 (1997).
Chen, H. Ecosystem carbon and nitrogen recovery in restored coastal wetlands, Supplementary Data (Final Version). Zenodo https://doi.org/10.5281/zenodo.17364227 (2025).
Acknowledgements
This study is funded by the National Key R&D Program of China (2023YFE0113104 and 2024YFF0808804), the National Natural Science Foundation of China (42576159, 42141016, and 52325903), the grants from Shanghai Municipal Science and Technology Commission (22dz1209600 and 24520790302), the grants from Jiangsu Key Lab of Coast Ocean Resources Development and Environmental Security (JSCE202301), the C-BLUES project funded by the European Union under Grant agreement ID 101137844, and the Science and Technology Project of Zhejiang Province (2022R52018).
Author information
Authors and Affiliations
Contributions
Hua-Yu Chen and Zhen-Ming Ge conceived the study, collected data, conducted the analyses, and wrote the first manuscript; Ke-Hua Zhu, Wei Zhao, Xue-Chu Chen, Xiu-Zhen Li, Pei Xin, Zeng Zhou, Shang Chen, and Richard Bellerby discussed the results and contributed to the writing and editing of the manuscript.
Corresponding author
Ethics declarations
Competing interests
The authors declare no competing interests.
Peer review
Peer review information
Communications Earth & Environment thanks the anonymous reviewers for their contribution to the peer review of this work. Primary Handling Editors: Nicole Khan, Martina Grecequet, and Mengjie Wang. A peer review file is available.
Additional information
Publisher’s note Springer Nature remains neutral with regard to jurisdictional claims in published maps and institutional affiliations.
Rights and permissions
Open Access This article is licensed under a Creative Commons Attribution-NonCommercial-NoDerivatives 4.0 International License, which permits any non-commercial use, sharing, distribution and reproduction in any medium or format, as long as you give appropriate credit to the original author(s) and the source, provide a link to the Creative Commons licence, and indicate if you modified the licensed material. You do not have permission under this licence to share adapted material derived from this article or parts of it. The images or other third party material in this article are included in the article’s Creative Commons licence, unless indicated otherwise in a credit line to the material. If material is not included in the article’s Creative Commons licence and your intended use is not permitted by statutory regulation or exceeds the permitted use, you will need to obtain permission directly from the copyright holder. To view a copy of this licence, visit http://creativecommons.org/licenses/by-nc-nd/4.0/.
About this article
Cite this article
Chen, HY., Ge, ZM., Zhu, KH. et al. Ecosystem carbon and nitrogen recovery in restored coastal wetlands. Commun Earth Environ 7, 8 (2026). https://doi.org/10.1038/s43247-025-03036-z
Received:
Accepted:
Published:
Version of record:
DOI: https://doi.org/10.1038/s43247-025-03036-z









