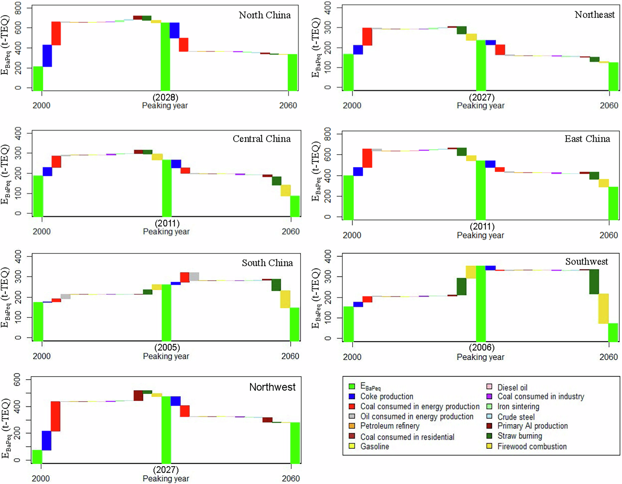
Fig. 3: Regional source contributions to EBaPeq changes before and after peak emissions.

Source contribution ladder diagram of EBaPeq changes in the seven regions of China from 2000 to the year when EBaPeq peaked and from the peak year to 2060.

Source contribution ladder diagram of EBaPeq changes in the seven regions of China from 2000 to the year when EBaPeq peaked and from the peak year to 2060.