Abstract
The outbreak of Highly Pathogenic Avian Influenza H5N1 in U.S. dairy cattle poses substantial risks to public health, economic sustainability of farming, and global food systems. Using a Computable General Equilibrium model, we simulate its short- to medium-term impacts on Gross Domestic Product and other macro-economic outcomes for the US and its main trading partners. We simulate impacts under the current situation and realistic and reasonable worst-case scenarios. We estimate domestic economic losses ranging between 0.06% and 0.9% of US GDP, with losses to the dairy sector ranging between 3.4% and 20.6%. Trading partners increase dairy production to compensate for the loss. Current government subsidies are about 1.2% (95% HDI: 1% to 1.4%) of output losses, and likely insufficient to incentivise farmers to step up surveillance and biosecurity for mitigating the possible emergence of H5N1 strains with pandemic potential into human populations.
Similar content being viewed by others
Introduction
The recent outbreak of Highly Pathogenic Avian Influenza (HPAI) H5N1 avian influenza in dairy cattle across at least 15 US states has raised substantial concern nationally and globally. H5N1 was first identified in 1996 in domestic waterfowl in Southern China. By 2005, it had spread to poultry in Africa, the Middle East, and Europe, with reports of occasional infections in various mammal species, primarily through close contact with infected birds. Recent studies have confirmed mammal-to-mammal transmission, including amongst elephant seals in Argentina and dairy cows in the USA, with transmission to cats and raccoons. There have been over 960 reported human infections since 20031, with a high mortality rate of around 50%. Human-to-human transmission remains rare.
The public health risk of the outbreak amongst US dairy cattle is currently deemed low; there have been 41 identified human cases2 attributed to direct exposure to infected cattle3, and a reported 1070 H5N1 cases among the 28,000 dairy herds by May 22, 2025 (more recent updates report zero cases). This is an underestimate of the true number of herds affected, and the outbreak is likely to spread further4. A sustained outbreak increases public health risks and could eventually necessitate more stringent government mandates, impacting the supply of and demand for dairy and beef products in the US and export countries, and disrupting global food systems. Dairy cattle are a novel host for the H5N1 virus, and the scale and duration of the outbreak mean the risk of the emergence of a human-adapted strain is intensifying. Each time an infection occurs, the virus could mutate into one that excels in transmitting between humans4,5.
Vigilant testing and monitoring of cattle and enhanced biosecurity practices are paramount to preventing further spread of H5N1 in the USA and globally. Despite government subsidies, farmers are reluctant to introduce improved biosecurity measures6,7. According to the latest available data from November 2024, 366 (1%) of the around 36,000 herds in the USA had been registered for financial assistance or emergency support to increase biosecurity8, and 75 (0.2%) herds had been enrolled in a voluntary testing programme9. But failure to contain the outbreak now may result in higher costs for the industry later. The US dairy sector was valued at $115.50bn in 202410, with the wider economic impact of the sector estimated at nearly $780bn, about 2.7% of US Gross Domestic Product (GDP)11. The dairy industry supports more than 3 million jobs (about 1.88% of total US employment) that generate $198 billion in wages11. Furthermore, according to a USDA note12, employment in agriculture, food, and related industries in 2022 accounted for 10.4% of total US jobs. Consequently, disruptions to these sectors would be expected to have ripple effects on the broader US economy and globally.
Importantly, the costs of containing the outbreak now are small when contrasted against the uncertain but potentially catastrophic health and economic costs of the emergence of an H5N1 variant that is transmissible between humans13.
Here, a Computable General Equilibrium model (CGE) is used to simulate the short-to-medium-term macro-economic impact of the H5N1 outbreak amongst dairy cattle on the US economy and its key trading partners. We estimate the impact of the current outbreak, as well as two hypothetical but plausible scenarios under more stringent interventions and reductions in domestic and international demand for US milk, milk products, and beef. The magnitudes of the shocks differ by scenario, and are informed by estimates of the impacts of Bovine spongiform encephalopathy (BSE) in the 1980s and 90s, and the H1N1 pandemic in 2009 on the livestock sector in the US.
Our findings provide urgently needed evidence to decision makers on the potential economic impact of the H5N1 outbreak, and allow them to contrast the costs of mitigation measures against their benefits for the livestock industry, the wider economy, and the health of populations in the USA and globally.
Results
Computable general equilibrium modelling to simulate short- to medium-term macro-economic impacts
The CGE model GTAP is used to simulate the short-to-medium-term macro-economic impact of the H5N1 outbreak amongst dairy cattle on the US economy and its key trading partners14,15 (Fig. 1, Supplementary Section 1). We estimate the impact of the current outbreak (Scenario S1). We also estimate two hypothetical but plausible scenarios, S2 and S3, which represent realistic and reasonable worst cases, respectively, reflecting more stringent interventions and reductions in domestic and international demand for US milk, milk products, and beef. The magnitudes of the shocks differ by scenario, and are informed by estimates of the impacts of Bovine spongiform encephalopathy (BSE)16,17,18,19,20,21 in the 1980s and 90s, and the H1N1 pandemic in 2009 on the livestock sector in the US22,23,24. The H5N1 outbreak and public health measures are modelled as four exogenous shocks: Demand, supply, international trade shocks, and subsidies to farmers.
Economic model with H5N1 shocks for the USA, and equivalent models for key trading partners and the Rest-of-the-World without H5N1 shocks. H5N1 has adverse direct and indirect impacts on productivity, from sickness and death of dairy cattle, and from Government interventions that aim at curbing transmission. Subsidies for farmers are aimed at alleviating their financial burdens. Reduced preferences for and bans of US dairy, beef and raw milk, and increased preferences for substitutes and other goods and services, impact on both domestic and export demand (S2 and S3 only). Reduced productivity in dairy-producing sectors, increasing labour demand for farm workers. Uncertainty surrounds affected sectors and, subsequently, investment. Increased import demand leads to increased employment and higher traded quantities in other countries.
GDP impact
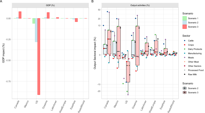
We estimate that the short- to mid-term loss associated with the current H5N1 outbreak is 0.06% (95% high density interval: −0.06% to −0.06%) of real GDP (Scenario S1, Fig. 2). The output loss in the dairy sector compared to pre-H5N1 levels is 3.4% (−3.88% to −2.92%, Supplementary Table 7). There is an increase in prices as the outbreak and mitigation measures increase production costs. We observe a 5.58% increase in the production price of raw milk and a 5.25% increase for dairy products, but cattle and beef are also affected (Supplementary Table 5). US products are less competitive on the international market because of the price increase. Consequently, dairy exports from the USA to other countries decreased by 25.30% (−28.67% to −21.91%). Should the outbreak expand to additional herds and states, we estimate that the total economic loss to the USA is greater at 0.28% (−0.3% to −0.26%) for the realistic scenario S2, and 0.91% (−1.06% to −0.78%) for the reasonable worst-case scenario S3. Regarding the sectoral impact, output losses in the dairy sector are estimated at 9.32% (−11.61% to −7.05%) and 20.6% (−25.06% to −16.42%) for S2 and S3, respectively (Supplementary Table 7).
This figure shows GDP and output quantities in response to H5N1, expressed as % deviation from pre-outbreak values (Supplementary Tables 4, and 7). A Shows the deviation from pre-outbreak GDP in % across the three scenarios. B Displays point estimates, interquartile ranges, and total ranges of estimates for S2 and S3.
Demand and supply effects
Both demand and supply effects are expected to cause reductions in output. First, there is a decrease in demand for dairy products due to changing preferences, which lowers the need for domestic production. Second, production becomes more costly, pushing farmers to either produce less at the same cost or produce the same amount at higher costs, thereby putting pressure on prices. Farmers in the US face two opposing effects: either increased employment to compensate for the loss in productivity in affected sectors, or reduced employment to adjust to lowered demand and output. We find that whether the first or second effect dominates varies by sector and scenario (Supplementary Table 8).
The outbreak and its impact on agriculture have knock-on effects on economic sectors that are not directly affected. We assume that in this short- to medium-term analysis, real wages remain constant, and workers in the raw milk and dairy sectors are mostly unskilled, which allows them to move imperfectly between sectors. The changes in employment in the raw milk and dairy sector that compensate for changes in productivity or demand are therefore associated with changes in employment in other sectors. Overall, the outbreak is contractionary, and the US economy faces a decrease in unskilled labour employment of 0.09% (S1), 0.39% (S2) and 1.24% (S3). This results in an estimated decrease in household incomes and consumption of all goods and services of 0.05% (−0.05% to −0.05%, S1), 0.21% (−0.23% to −0.19%, S2), and 0.86% (−1.05% to −0.69%, S3) in the USA (Fig. 3). Savings also decrease, resulting in a reduction in investments in the USA of 0.04% (−0.04% to −0.04%, S1), 0.19% (−0.21% to −0.17%, S2), and 0.67% (−0.78% to −0.58%, S3), which is strongest in the dairy industry at 4.76% (−5.5% to −4.02%), 20.05% (−23.62% to −16.54%), and 60.91% (−72.43% to −49.79%), (Supplementary Tables 4, 8 and 9).
This figure shows aggregate shocks on prices, consumption, investment, and exports in response to H5N1, expressed as % deviation from pre-outbreak values (Supplementary Table 4).
Impact on trade
Key trading partners of the US are also impacted, even under the assumption that H5N1 does not affect the dairy industry in their countries. The modified terms of trade and factor reallocation make the US economy more competitive internationally in non-agricultural goods and services, resulting in an increase in exports. This effect can compensate for the decrease in exports of directly affected agricultural products, resulting in an overall increase in US exports of 0.01% (0.01–0.01%), 0.11% (0.09–0.13%), and 0.75% (0.59–0.95%), respectively. Other countries make up for the reduction in US dairy and beef production, both to satisfy demand in their own domestic markets and in other countries, including the USA itself. For example, dairy exports from Canada are expected to increase by 7.67% (6.42–8.94%), 35.33% (29.12–41.92%), and 165.06% (107.67–227.39%) (Fig. 4, Supplementary Table 6). At the sectoral level, agriculture shows large distortions. However, the increase in exports is modest in absolute terms, considering the initially low baseline of export volumes. Canadian agricultural production is primarily for domestic use. The output of the dairy sector increases markedly by 0.65%, 1.29%, and 6.16%, an increase that feasibly falls within the country’s production capacity. The increase in production is reflected in increased employment in the dairy sector, prices, household consumption and investments.
The increase in other countries’ dairy exports cannot compensate fully for the reduction in exports of non-agricultural goods and services, as they are crowded out by a more competitive US manufacturing sector. For example, trade exports from Canada decrease by an estimated 0.02% (−0.02% to −0.02%), 0.03% (−0.03% to −0.03%), and 0.23% (−0.25% to 0.21%). Overall, the impacts on trading partners’ supply of affected products and GDP, and on global food systems, are negligible for an H5N1 epidemic that remains confined to US-based dairy herds.
Welfare impact
Impact estimates on welfare quantify the effect H5N1 has on households. The welfare estimates can be understood as the payment that would be required to compensate households for the aggregate welfare loss they experience due to the shocks implemented in each scenario. Welfare is decomposed into four main drivers in the GTAP model: (1) allocative efficiency; (2) technical efficiency; (3) terms of trade; (4) saving/investment change.
The welfare of US households decreases, measurable in dollar terms. In S1, welfare decreases by $11.657 (−$13.101 to −$10.221) billion, and in S2 and S3 by $53.656 (−$59.204 to −$48.300) and $179.318 (−$208.749 to −$153.495) billion, respectively (Supplementary Table 4). The shocks affect each driver, but not to the same magnitude. Indeed, the productivity shocks, driven by technical efficiency, represent a substantial portion of the welfare decrease for the household, while the other shocks have much smaller effects. In contrast to the US, the welfare of households in the trading partners increases, with the largest impacts for Canada, Oceania, and Latin America.
Subsidies impact
Subsidies range from $98 million (S1) to $612 million (S3). According to our estimates (Supplementary Table 10), the $98 million package covers only 1.2% of the total productive loss for the dairy, cattle, meat, and raw milk sectors in S1. This implies that the current subsidies make up a small portion of the losses supported by farmers and the entire agricultural supply chain.
Discussion
The economic impact of the current H5N1 outbreak in the United States reveals losses that are comparable to real-world observations reported by USDA, and in some scenarios, align with or even exceed those caused by earlier outbreaks of livestock diseases such as bovine spongiform encephalopathy (BSE) and foot-and-mouth disease (FMD) in the US and other countries. Our estimates suggest that the short- to mid-term output loss associated with the H5N1 outbreak corresponds to approximately 0.06% of GDP in the current situation, with output losses in the dairy sector at 3.4% compared to pre-H5N1 levels. Should the US fail to contain the outbreak, our estimates suggest GDP losses of 0.28% and 0.91% under realistic and worst-case scenarios, respectively, with output losses for the dairy sector estimated at 9.32% and 20.6%.
According to a USDA note25, U.S. milk production declined by approximately 8.5% between March 2024 and February 2025, falling from 18,800 to 17,200 million pounds. This outcome is broadly consistent with our simulation, which projects short- to medium-term output losses in the dairy sector ranging from 3.4% under the current situation (S1) to 9.3% under the realistic scenario (S2). However, this pattern does not hold for scenario S3, as milk production began to recover from February 2025 onward.
Several factors may explain this difference. First, we know now that cows exhibit a relatively long immunity period26, making re-infection over our projection horizon unlikely. Moreover, recent evidence suggests that states with large dairy sectors have passed the peak of their epidemics by early 20254. This implies that the outbreak subsided more quickly than anticipated, allowing many animals to recover and boosting production. Second, reports suggest that the new U.S. administration adopts a laissez-faire approach towards the H5N1 outbreak and implements drastic cost-cutting measures in public health, resulting in a reduction in the federal workforce controlling the outbreak27. The likely reduction in surveillance, biosecurity measures, and sub-optimal data collection is likely to result in a smaller shock to production costs compared to our assumption. Finally, sparse government communication on the outbreak likely leads to lower attention in the U.S. media, thereby reducing the adverse shift in consumer behaviour compared to our assumed shock27.
Our findings are comparable to estimates of the economic impact of BSE. In the USA, the BSE outbreak in 2003 resulted in estimated total losses to the beef industry equivalent to approximately 0.02% and 0.03% of GDP (Supplementary Section 6)18, which is about half of our estimated GDP loss caused by H5N1. However, it is worth mentioning that these losses were not the result of a US domestic BSE outbreak, but rather came from trade restrictions following the BSE crisis in the UK. In Brazil, the output losses to the cattle and beef sectors were approximately 3% and 3.5%, respectively28. In Northern Ireland, BSE resulted in estimated losses of 0.5% in regional GDP and employment contractions of up to 0.6%, with over 75% of these losses in the beef sector17.
The economic impacts of FMD outbreaks for previously disease-free countries typically result in GDP losses ranging between 0.2% and 0.6%29. A ten-year outbreak was simulated, projecting cumulative GDP losses of around 0.26% of US GDP, and employment losses reaching 677,000 under a no-vaccination, depopulation-only containment strategy30. The domestic welfare losses from an FMD outbreak in Brazil were estimated to account for approximately 0.013% of its GDP (Supplementary Section 6)31. On the other hand, our analysis projects greater deterioration in US household welfare under H5N1, with estimated losses of $11,657.43 million in S1 and up to $179,317.66 million in S3, corresponding to 0.06% and 0.9% of US GDP, respectively.
Our study has many limitations. Firstly, our analysis does not provide an estimate of the overall impact of H5N1 on the agricultural sector in the USA. The focus of our study is the dairy sector, supplementing existing literature on the economic impact of H5N1 on the poultry sector32,33. Second, the model assumes that labour markets adjust quickly, limiting its ability to fully capture unemployment effects. To provide a more realistic outcome of labour market responses, we adopt an approach that keeps real wages fixed while allowing the quantity of unskilled labour to adjust endogenously. Even with this modification, employment adjustments can be counterintuitive in some cases; thus, underlying mechanisms are discussed in detail in the Supplementary Section 4. Third, some of the simulated export increases may appear large in terms of percentage change; however, the quantities produced at the sectoral level remain within realistic adjustment ranges. In other words, while trade is increasing very substantially, this increase can be accommodated by the sectors because it represents a relatively small share of total production. The magnitude of this percentage change should therefore not be over-interpreted. The model also indicates a rise in US trade. While this is explained by the model’s mechanics, such as factor reallocation, one could question the real-world implications of an H5N1 outbreak boosting the manufacturing or services sectors. Fourth, the model does not incorporate the uncertainty of the 2025 trade environment, characterised by escalating trade tensions and plausible changes in tariff regimes, which may substantially affect current trade flows and economic activity. Five, reducing sectoral detail through a less detailed aggregation level can introduce aggregation bias, potentially impacting the measurement of indirect effects and spillovers. However, our results are strongly in line with the literature, reinforcing the strength of our results.
Importantly, the scenarios we discuss are hypothetical and, while informed by empirical estimates from historical outbreaks, are unlikely to exactly reflect the impacts of H5N1. Additionally, vigilant monitoring of cattle and enhanced biosecurity practices are vital to detect any changes in outbreak dynamics and eventually contain its spread. Given these considerations, future research would focus on developing an integrated epidemiological-economic framework that combines this economic model with a mathematical model of H5N1 transmission in dairy cattle4. Such integration would allow for more accurate evaluations of the magnitude of shocks and the effectiveness of policy interventions. This would also enhance our ability to simulate the value of prevention, mitigation, and response strategies under different outbreak scenarios.
Despite the limitations, this study provides insight into the potential economic impacts of an H5N1 outbreak for the US and its trading partners. These economic impacts would pale in comparison to the health and economic impacts of an H5N1 outbreak among humans. Recent research suggests that the virus has gained genetic mutations in the months since it was first detected in cattle, increasing the risk of zoonotic spillover5,34. Compared with ten months ago, the virus now has more opportunities to adapt to its new mammalian hosts because of insufficiently controlled transmission, resulting in increasing numbers of infections amongst cows and other animals across the United States4.
Considering the high potential economic losses and the potential risk to human health, the currently introduced measures are disproportionately lax given the scale of the potential impact. We estimate that the current subsidies for enhanced testing and biosecurity (around $98m) are covering about 1.2% of the aggregate output loss of the dairy, cattle, and raw milk sector due to the outbreak. There is robust research evidence on the economic benefits of animal tracing systems. The European Commission mandates that for the purpose of outbreak control, all bovine animal movements, births and deaths must be electronically registered within 7 days to the authorities. There is no such nationwide tracing system in the USA, although some states have introduced them. Animal tracking, combined with enhanced monitoring and biosecurity, should help reduce the risk of the current outbreak from escalating, reduce economic costs to farmers, and mitigate the potential emergence of highly virulent H5N1 strains with pandemic potential into human populations.
Methods
Description of the economic model
We use the Global Trade Analysis Project (GTAP) model14. The GTAP model is a CGE model (Supplementary Fig. 1), widely chosen for economic analyses due to several key strengths that make it particularly suitable for evaluating global trade, policy changes, external events, and economic interactions. It is a multi-region, multi-sector CGE model, allowing for the simulation of how economies respond to changes in policy, technology, or external shocks by modelling the entire economy, including production, consumption, trade, and government behaviour. It includes harmonised data for over 140 countries and regions, allowing for consistent cross-country comparisons and global impact assessments. GTAP models a wide range of economic sectors, enabling detailed analysis of sector-specific impacts, and it explicitly models bilateral trade flows using the Armington assumption (which assumes similar goods from different countries are imperfect substitutes) and includes international transport margins, making it highly realistic for trade analysis. The GTAP model, developed and maintained by Purdue University, is widely used by multilateral organisations, including the World Bank, WTO, and IMF, as well as governments and researchers internationally.
We have chosen the GTAP model for several reasons. First, it provides a greater disaggregation of the agricultural sector than other CGE models, distinguishing beef, dairy, cattle, raw milk, crops, and other meats. Second, it captures trade flows between multiple regions, allowing for the analysis of the H5N1 outbreak’s impact on the trade output of affected sectors. Third, its general equilibrium nature enables the analysis of spillover effects across sectors and regions. Lastly, it allows us to model the impact of H5N1 on the supply chain, as dairy products are used in many final goods of the food and beverage industry, pharmaceuticals and nutraceuticals, animal feed, cosmetics and personal care, and industrial uses as casein for adhesives, paints and plastics, and lactic acid used in biodegradable plastics and food preservation. Any disruption to the production of dairy products is likely to have large spillover effects across multiple supply chains of the economy, which are better captured with a CGE model.
The GTAP model consists of equations and a detailed database (Version 11C, base year 2017) describing the behaviour of economic agents (here, households, firms, and the government)15. Firms produce an output using intermediate goods, and factors of production including Unskilled and Skilled Labour, Capital, Land, and Natural Resources (Supplementary Table 1). Dairy farming may require intermediate output, skilled and unskilled labour (such as agricultural engineers and farm workers), capital (which is invested in technology such as milking machines), land (for grazing and housing dairy cows), and natural resources (the dairy cows). Additionally, it is worth noting that we assume a constant elasticity of substitution (CES) production function, which represents the firm’s ability to substitute one input factor for another, including labour, capital, land, or natural resources. In our analysis, which focuses on the short to medium term, we assume all factors of production are imperfectly mobile between sectors.
Next, households are assumed to maximise their utility from the consumption of goods and services, subject to the constraints given by their incomes. Households generate an income from supplying labour (for which they receive wages) and capital (wealth they have accumulated). They also receive government transfers, for example, social security payments or tax breaks. Households spend their income on consumption, saving, and paying taxes according to a constant difference of elasticities (CDE) utility function. This means that as incomes increase, consumers adjust their spending towards “luxury” goods while allocating less to necessities, and vice versa. It also implies that when the price of a necessity drops, people might buy more of it (and vice versa). Alternatively, they may buy the same quantity and use the savings they have made due to the price reduction to increase their purchasing of luxury goods. This “choice” is dependent on elasticities. This is relevant for our analysis here because dairy products are considered necessities. In their consumption decision, households also make a choice between domestic and imported goods, assuming they are prepared to substitute one for the other and a rate governed by the Armington elasticity. A higher Armington elasticity indicates that consumers are more willing to switch between domestic and foreign products in response to price changes. This elasticity is crucial for our analysis because it measures how changes in the price of domestic dairy products affect demand for imported ones. The government collects taxes from various sources to finance public goods, transfers, and subsidies under a budget constraint.
Additionally, the database (version 11C, base year 2017)14,15 uses social accounting matrices and input-output tables to represent the economy, and parameters to capture behavioural responses. These databases offer granularity down to both sectoral and country levels, supporting meso- to macro-economic analysis but not the direct modelling of individual responses. Nested production functions account for the complete supply chain, allowing for the modelling of spillover effects of a given shock. Different utility functions incorporate households’ aggregated reactions to price and income. Demand is both domestic and international, accounting for international responses. Welfare impact can be evaluated, showing the effect of a given shock on society. Different factors of production are accounted for: labour (unskilled and skilled), capital, land, and natural resources. Elasticities are also used to capture the relative responsiveness of each agent and component to a specific economic shock.
We analyse the economic sectors of raw milk, dairy products, meat products, and cattle, but also account for Grain & Crops, other meats, processed food, and manufacturing; all other sectors are aggregated into one combined industry. Apart from the USA, we analyse Canada, Mexico, Oceania, East Asia, Latin America, Western Europe, Other Asia and Africa & the Middle East as the US’s biggest trading partners for dairy products and beef. All other countries are aggregated into ‘Rest of the World’ (Supplementary Section 1). This disaggregation enables a detailed analysis of the impact of H5N1 on the U.S., its various trading partners, and the spillover effects on other sectors.
Scenarios
We estimate the economic impacts of three hypothetical scenarios, informed by similar historic outbreaks. We make assumptions on the spread of H5N1 across the US, the change in domestic and export demand for raw milk, dairy products and beef, the change in government mandates for cattle movement and testing, treatment of affected milk, biosecurity measures, and other government interventions like wastewater surveillance, Table 1.
Scenario 1 reflects the current situation. We assume there is no impact on the meat sectors or trade and minimal impact on the supply of dairy and raw milk markets. Scenario 2 reflects a realistic scenario where we assume the outbreak expands to additional herds and states and where government interventions intensify. We assume that disease spread remains limited, that key US trading partners impose limited import restrictions for US dairy and beef products, and that consumers and suppliers react across all markets with changed demand. Scenario 3 reflects a reasonable worst-case situation, assuming widespread economic impacts comparable to previous outbreaks of H1N1 and BSE on the US economy (Supplementary Section 3). There is a heightened awareness of H5N1 in public perception, causing both domestic and international demand to substantially decrease, while suppliers are now largely constrained by disease containment measures and cows’ decrease in productivity. We also model that the US government mandates more stringent restrictions on the dairy and beef agricultural sectors in scenario S3.
Economic shocks
We model the H5N1 outbreak in US cattle, the reaction of domestic demand and trade, and the corresponding mandated government containment measures as four exogenous shocks that impact the entire economy at equilibrium. We distinguish four types of shocks: demand shock, supply shock, international trade shock, and US government subsidies for dairy farmers. The shock magnitudes differ by scenario (see Table 2).
The shocks and variables shown in Table 2 reflect the main disruptions to domestic and export demand, reductions in supply, as well as government-mandated containment measures and subsidies. First, by affecting demand quantities (qpa), we account for demand shocks to raw milk, dairy products, and beef (scenarios S2 and S3 only)28, driven by reduced consumption due to fear of infection or changed preferences. Second, a supply shock is implemented by affecting total factor productivity (aoall) and input productivity (afeall), resulting in productivity losses linked to direct impacts of H5N1 on cattle, via reduced milk yields and livestock mortality, and indirect impacts of containment efforts, including biosecurity protocols, worker protection, testing, and restrictions on cattle movement31,35. Third, through exports (qxs), we incorporate various international trade shocks that decrease export demand for U.S. raw milk, dairy products, beef and cattle28. Fourth, with subsidy per sector (to), we implement a small fiscal shock representing government subsidies that partially cover farmers’ losses from production declines, containment costs, and veterinary expenses35. Elasticities are not directly impacted, except to account for a short- to medium-run analysis along with the changes to closures (Supplementary Section 1). A full sensitivity analysis on relevant elasticities is conducted (Supplementary Section 5).
While hypothetical and surrounded by considerable uncertainty, our scenarios are based on previous literature that estimates the impact of past similar outbreaks, including Bovine Spongiform Encephalopathy (BSE) in the 1980s and 1990s, and the 2009 H1N1 pandemic. Although H5N1 differs in nature, these previous events offer a reasonable basis for estimating its potential economic impact.
In particular, with respect to demand shocks, both from reductions in domestic consumption and export demand, our estimates are informed by nine papers. Devadoss et al.19 apply a general equilibrium approach to estimating the impact of a foreign demand shock during the BSE in the US. They suggest a 90% reduction in export demand for beef from the USA. They considered three different scenarios, with (aggregate domestic and export) demand reductions of 0%, 10% and 25%. Similarly, McDonald & Roberts21 use a CGE model to model three scenarios where they modify the inter-industry coefficient for cattle by 25% and increase it for other livestock. They reduce the consumption of meat by 10% and, through price modification, assume no cattle related trade. In other scenarios, they analyse the importance of government intervention. Attavanich et al.22 base their estimates on a survey conducted by the U.S. Meat Export Federation, which found that 64% of respondents stopped eating pork in the short term during the H1N1 swine flu. Coffey, Brian et al.18 inferred a 20% drop in consumption during BSE. Jin et al.20 estimate the impact of BSE with four scenarios, assuming reductions in domestic beef consumption ranging from 5% to 20%, and reductions in US beef exports between 0% and 100%. Huang et al.24 analysed the Chinese chicken meat market’s response to an HPAI outbreak, and highlighted a number of adverse impacts on the consumption and supply of chicken meat. They did not provide direct quantitative estimates that we could use here, but they found that the outbreak’s impacts on “chicken meat supply and demand were highest in 2004 and 2005 when the industry suffered considerable total losses equalling 4,496,700 tons” in China. Ashworth & Mainland16 discuss the impact of BSE on consumer behaviour. They show that at the peak of BSE between 1988 and 1990, the consumption of beef decreased by 20%. They discuss a public opinion survey which showed that 40% of people were eating less meat and that 26% wanted to stop consuming beef. Caskie et al.17 use an input-output model to study the economic impact of BSE at the regional level in Northern Ireland. They show that slaughterhouses lost about 27% of their output and that the final output at the farm level was reduced by 23%. At the sectoral level, the beef sectors lost about 58% of the total income lost. They particularly underline the substitution effect happening between sectors.
Sensitivity analysis
Given the high uncertainty of the shocks described previously, we conduct a sensitivity analysis36. We report the results in terms of the 95% highest density interval (HDI) for each variable of interest and assume a normal distribution of our variables. We let each previously defined shock vary independently within ±25% of its baseline value using a triangular distribution. We then apply Stroud’s third-order Gaussian quadrature methods to capture the uncertainty, preserving key statistical moments37. Finally, we extract mean values and standard deviations of model outputs, defining uncertainty intervals as ±2 times standard deviations in line with the normal distribution assumption (Supplementary Section 5). This approach is also applied to relevant elasticities, the price elasticity of demand for consumers and the Armington elasticity, as their reactions are uncertain. Results of this sensitivity analysis are displayed in Supplementary Section 5. Overall, the sensitivity analysis shows very robust results for Scenarios 1 and 2, and more uncertainty surrounding Scenario 3.
Data availability
GTAP 11C Data Base and GTAP Model v7 are available to purchase from the Global Trade Analysis Project (GTAP) at https://www.gtap.agecon.purdue.edu/databases/v11/ and https://www.gtap.agecon.purdue.edu/models/current.asp. All data needed to replicate our figures are available at https://github.com/cm401/H5N1_economic_impact or https://doi.org/10.5281/zenodo.17454141.
Code availability
This study can be fully replicated using the GTAP database. A replication guide and all relevant code for reproducing the experiments are available online: https://github.com/cm401/H5N1_economic_impact or https://doi.org/10.5281/zenodo.17454141.
References
CDC. Cumulative number of confirmed human cases for avian influenza A(H5N1) reported to WHO, 2003-2025, 20 January 2025. Tech. Rep. https://www.who.int/publications/m/item/cumulative-number-of-confirmed-human-cases-for-avian-influenza-a(h5n1)-reported-to-who-2003-2025--20-january-2025 (2025).
CDC. H5 Bird Flu: current situation https://www.cdc.gov/bird-flu/situation-summary/index.html (2024).
Neumann, G. & Kawaoka, Y. Highly pathogenic H5N1 avian influenza virus outbreak in cattle: the knowns and unknowns. Nat. Rev. Microbiol. 22, 525–526 (2024).
Rawson, T. et al. A mathematical model of H5N1 influenza transmission in US dairy cattle. Nat. Commun. 16, 4308 (2025).
Lin, T.-H. et al. A single mutation in bovine influenza H5N1 hemagglutinin switches specificity to human receptors. Science 386, 1128–1134 (2024).
Animal and Plant Health Inspection Service. Detections of Highly Pathogenic Avian Influenza (HPAI) in livestock https://www.aphis.usda.gov/livestock-poultry-disease/avian/avian-influenza/hpai-detections/livestock (2024).
Chaters, G. L. et al. Analysing livestock network data for infectious disease control: an argument for routine data collection in emerging economies. Philos. Trans. R. Soc. B Biol. Sci. 374, 20180264 (2019).
U.S. Department of Agriculture. Financial assistance. https://www.aphis.usda.gov/livestock-poultry-disease/avian/avian-influenza/hpai-detections/livestock/financial-assistance (2024).
U.S. Department of Agriculture. Dairy herd status program. https://www.aphis.usda.gov/livestock-poultry-disease/avian/avian-influenza/hpai-detections/livestock/dairy-herd-status-program (2024).
EMR CLAIGHT. United States dairy market growth analysis report - market size, share, forecast trends and outlook (2025-2034). Tech. Rep. https://www.expertmarketresearch.com/reports/us-dairy-market (2025).
International Dairy Foods Association. New report highlights dairy’s deep economic impact in communities across America. Tech. Rep., IDFA https://www.idfa.org/news/new-report-highlights-dairys-deep-economic-impact-in-communities-across-america (2025).
USDA Economic Research Service. Selected charts from Ag and food statistics charting the essentials. 121 https://ers.usda.gov/sites/default/files/_laserfiche/publications/108461/AP-121.pdf?v=68558 (2024).
Burns, A., Mensbrugghe, D. & van der Timmer, H. Evaluating the economic consequences of avian influenza https://documents.worldbank.org/en/publication/documents-reports/documentdetail/977141468158986545/evaluating-the-economic-consequences-of-avian-influenza (2006).
Aguiar, A., Chepeliev, M., Corong, E. & Van Der Mensbrugghe, D. The Global Trade Analysis Project (GTAP) Data Base: Version 11. J. Glob. Econ. Anal. 7, 1–37 (2022).
Corong, E., Thomas, H., Robert, M., Tsigas, M. & Van Der Mensbrugghe, D. The standard GTAP model, version 7. J. Glob. Econ. Anal. 2, 1–119 (2017).
Ashworth, S. W. & Mainland, D. D. The economic impact of BSE on the UK beef industry. Outlook Agric. 24, 151–154 (1995).
Caskie, P., Davis, J. & Moss, J. E. The economic impact of BSE: a regional perspective. Appl. Econ. 31, 1623–1630 (1999).
Coffey, B., Mintert, J., Fox, J. A., Schroeder, T. C. & Valentin, L. The economic impact of BSE on the U.S. beef industry: product value losses, regulatory costs, and consumer reactions. Tech. Rep. http://hdl.handle.net/2097/12460 (2005).
Devadoss, S., Holland, D. W., Stodick, L. & Ghosh, J. A general equilibrium analysis of foreign and domestic demand shocks arising from mad cow disease in the United States https://ageconsearch.umn.edu/record/8607 (Unknown, 2006).
Jin, H. J., Skripnitchenko, A. & Koo, W. W. The effects of the BSE outbreak in the United States on the beef and cattle industry https://ageconsearch.umn.edu/record/23072 (Unknown, 2004).
McDonald, S. & Roberts, D. The economy-wide effects of the BSE crisis: a CGE analysis. J. Agric. Econ. 49, 458–471 (1998).
Attavanich, W., McCarl, B. A. & Bessler, D. The effect of H1N1 (swine flu) media coverage on agricultural commodity markets. Appl. Econ. Perspect. Policy 33, 241–259 (2011).
Condry, S. C., Cuite, C. L., Hallman, W. K. & Vata, M. Avian influenza in poultry: American knowledge, perceptions, and responses. Tech. Rep., Rutgers University https://scholarship.libraries.rutgers.edu/esploro/outputs/report/991031549870904646 (2007).
Huang, Z., Loch, A., Findlay, C. & Wang, J. HPAI impacts on Chinese chicken meat supply and demand. World’s. Poult. Sci. J. 73, 543–558 (2017).
United States Department of Agriculture, National Agricultural Statistics Service. Milk production https://downloads.usda.library.cornell.edu/usda-esmis/files/h989r321c/0c485h164/br86d2132/mkpr0725.pdf (2025).
Facciuolo, A. et al. Dairy cows develop protective immunity against reinfection with bovine H5N1 influenza virus. Nat. Microbiol. https://www.nature.com/articles/s41564-025-01998-6 (2025).
Mandavilli, A. The campaign to curb bird flu on farms has been hobbled by budget cuts, scientists say https://www.nytimes.com/2025/05/01/health/bird-flu-farms-usda.html. The New York Times (2025).
De Menezes, T. C., Countryman, A. M., Hagerman, A. D. & Galvão De Miranda, S. H. Economy-wide effects of bovine spongiform encephalopathy in Brazil https://ageconsearch.umn.edu/record/342181 (Unknown, 2024).
Knight-Jones, T. & Rushton, J. The economic impacts of foot and mouth disease - what are they, how big are they and where do they occur? Prev. Vet. Med. 112, 161–173 (2013).
Miller, M., Liu, L., Shwiff, S. & Shwiff, S. Macroeconomic impact of foot-and-mouth disease vaccination strategies for an outbreak in the Midwestern United States: a computable general equilibrium. Transbound. Emerg. Dis. 66, 156–165 (2019).
De Menezes, T. C., Countryman, A. M., Ferreira Filho, J. B. D. S. & Ferreira, F. Economic assessment of foot-and-mouth disease outbreaks in Brazil. Q Open 2, qoac028 (2022).
Djunaidi, H. & Djunaidi, A. C. The economic impacts of avian influenza on world poultry trade and the U.S. poultry industry: a spatial equilibrium analysis. J. Agric. Appl. Econ. 39, 313–323 (2007).
Ramos, S., MacLachlan, M. & Melton, A. Impacts of the 2014-2015 highly pathogenic avian influenza outbreak on the U.S. poultry sector. Tech. Rep., USDA https://spaces-cdn.owlstown.com/blobs/pwvhcmuk5ncgzv04ac9xepifkmgg (2017).
Dholakia, V. et al. Polymerase mutations underlie early adaptation of H5N1 influenza virus to dairy cattle and other mammals https://doi.org/10.1101/2025.01.06.631435 (2025).
Burfisher, M. E. Introduction to Computable General Equilibrium Model 3rd edn (Cambridge Univ. Press, 2021).
Arndt, C. An introduction to systematic sensitivity analysis via Gaussian quadrature. GTAP Technical Papers https://docs.lib.purdue.edu/cgi/viewcontent.cgi?article=1002&context=gtaptp (1996).
Arndt, C. & Pearson, K. Implementing systematic sensitivity analysis using GEMPACK https://ideas.repec.org/p/gta/techpp/474.html (2000).
Marsh, J. M., Brester, G. W. & Smith, V. H. Effects of North American BSE events on U.S. cattle prices. Rev. Agric. Econ. 30, 136–150 (2008).
Johnson, R. Potential farm sector effects of 2009 H1N1 “swine flu”: questions and answers https://crsreports.congress.gov/product/pdf/R/R40575/11 (2010).
U.S. Department of Agriculture. USDA, HHS announce new actions to reduce impact and spread of H5N1 https://www.usda.gov/media/press-releases/2024/05/10/usda-hhs-announce-new-actions-reduce-impact-and-spread-h5n1 (2024).
Acknowledgements
A.P., C.M., J.T.H., T.R. and K.H. acknowledge funding from the Medical Research Council (MRC) Centre for Global Infectious Disease Analysis (MR/X020258/1) funded by the UK MRC and carried out in the frame of the Global Health EDCTP3 Joint Undertaking supported by the EU; the NIHR for support for the Health Research Protection Unit in Modelling and Health Economics, a partnership between the UK Health Security Agency (UKHSA), Imperial College London, and London School of Hygiene & Tropical Medicine (grant code NIHR200908); G.M., A.P., T.R., G.F. and K.H. acknowledge funding from Community Jameel and Kenneth C Griffin supporting the work of the “Jameel Institute-Kenneth C Griffin Initiative for the Economics of Pandemic Preparedness” at the Jameel Institute, Imperial. C.M. acknowledges support from The Eric and Wendy Schmidt Fund for Strategic Innovation via the Schmidt Polymath Award (G-22-63345). A.P. also acknowledges funding by a joint investigator award to Prof Azra Ghani and K.H. from the Wellcome Trust (220900/Z/20/Z). The funders of the study had no role in the study design, data collection, data analysis, data interpretation, or writing of the report. For the purpose of open access, the authors have applied a ‘Creative Commons Attribution’ (CC BY) licence to any Author Accepted Manuscript version arising from this submission.
Author information
Authors and Affiliations
Contributions
All authors conceptualised the study. Guillaume Morel, Anh Pham, Christian Morgenstern, Joseph T. Hicks, Thomas Rawson, Victoria Y. Fan, W. John Edmunds, Giovanni Forchini and Katharina Hauck curated and validated the data. Guillaume Morel and Anh Pham formally analysed the data, and Christian Morgenstern visualised the data. Katharina Hauck acquired funding and supervised the study. Katharina Hauck, Guillaume Morel and Anh Pham wrote the original manuscript draft. All authors were responsible for the methodology and review and editing of the manuscript. All authors discussed, edited, and approved the final version of the manuscript. All authors had final responsibility for the decision to submit the manuscript for publication.
Corresponding author
Ethics declarations
Competing interests
K.H. declares private fees from Munich Re for work unrelated to this project. The other authors declare no competing interests.
Peer review
Peer review information
Communications Earth and Environment thanks Emanuele Ferrari and the other anonymous reviewer(s) for their contribution to the peer review of this work. Primary Handling Editors: Martina Grecequet. [A peer review file is available].
Additional information
Publisher’s note Springer Nature remains neutral with regard to jurisdictional claims in published maps and institutional affiliations.
Supplementary information
43247_2025_3153_MOESM2_ESM.pdf (download PDF )
Supplementary Information An outbreak of highly pathogenic avian influenza H5N1 could impact the dairy cattle sector and the broader economy in the United States
Rights and permissions
Open Access This article is licensed under a Creative Commons Attribution-NonCommercial-NoDerivatives 4.0 International License, which permits any non-commercial use, sharing, distribution and reproduction in any medium or format, as long as you give appropriate credit to the original author(s) and the source, provide a link to the Creative Commons licence, and indicate if you modified the licensed material. You do not have permission under this licence to share adapted material derived from this article or parts of it. The images or other third party material in this article are included in the article’s Creative Commons licence, unless indicated otherwise in a credit line to the material. If material is not included in the article’s Creative Commons licence and your intended use is not permitted by statutory regulation or exceeds the permitted use, you will need to obtain permission directly from the copyright holder. To view a copy of this licence, visit http://creativecommons.org/licenses/by-nc-nd/4.0/.
About this article
Cite this article
Morel, G., Pham, A., Morgenstern, C. et al. An outbreak of highly pathogenic avian influenza H5N1 could impact the dairy cattle sector and the broader economy in the United States. Commun Earth Environ 7, 135 (2026). https://doi.org/10.1038/s43247-025-03153-9
Received:
Accepted:
Published:
Version of record:
DOI: https://doi.org/10.1038/s43247-025-03153-9






