Abstract
Cities grow in a bottom-up manner, leading to fractal-like urban morphologies characterized by scaling laws. The correlated percolation model has succeeded in modeling urban geometries by imposing strong spatial correlations; however, the origin of the underlying mechanisms behind spatially correlated urban growth remains largely unknown. Our understanding of human movements has recently been revolutionized thanks to the increasing availability of large-scale human mobility data. This paper introduces a computational urban growth model that captures spatially correlated urban growth with a micro-foundation in human mobility behavior. We compare the proposed model with three empirical datasets, discovering that strong social interactions and long-term memory effects in human movements are two fundamental principles responsible for fractal-like urban morphology, along with the three important laws of urban growth. Our model connects the empirical findings in urban growth patterns and human mobility behavior.
This is a preview of subscription content, access via your institution
Access options
Access Nature and 54 other Nature Portfolio journals
Get Nature+, our best-value online-access subscription
$32.99 / 30 days
cancel any time
Subscribe to this journal
Receive 12 digital issues and online access to articles
$119.00 per year
only $9.92 per issue
Buy this article
- Purchase on SpringerLink
- Instant access to the full article PDF.
USD 39.95
Prices may be subject to local taxes which are calculated during checkout






Similar content being viewed by others
Data availability
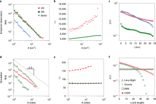
The empirical urban datasets that support the findings of this study are public available. The datasets for US and GB were released by previous research52. The Berlin dataset is extracted from the telemetry images in previous works53 (see Data Collection and Calibration for details), which is available in GitHub, https://github.com/tsinghua-fib-lab/Collective-Mobility-Model56. Source data for Figs. 3, 4 and 6 are available with this manuscript.
Code availability
The source code for numeric simulation is available online: https://github.com/tsinghua-fib-lab/Collective-Mobility-Model (ref. 56).
References
Howard, E. To-morrow: A Peaceful Path to Real Reform (Cambridge Univ. Press, 2010).
Batty, M. The size, scale, and shape of cities. Science 319, 769–771 (2008).
Batty, M. Cities and Complexity: Understanding Cities with Cellular Automata, Agent-Based Models, and Fractals (The MIT press, 2007).
Batty, M. The New Science of Cities (MIT press, 2013).
Makse, H. A., Havlin, S. & Stanley, H. E. Modelling urban growth patterns. Nature 377, 608–612 (1995).
Bettencourt, L. M. The origins of scaling in cities. Science 340, 1438–1441 (2013).
Witten Jr, T. & Sander, L. M. Diffusion-limited aggregation, a kinetic critical phenomenon. Phys. Rev. Lett. 47, 1400 (1981).
Barthélemy, M. Spatial networks. Phys. Rep. 499, 1–101 (2011).
Clark, C. Urban population densities. J. R. Stat Soc. A 114, 490–496 (1951).
Newling, B. E. The spatial variation of urban population densities. Geogr. Rev. 59, 242–252 (1969).
McDonald, J. F. Econometric studies of urban population density: a survey. J. Urban Econ. 26, 361 (1989).
Vicsek, T. Fractal Growth Phenomena (World scientific, 1992).
Essam, J. W. Percolation theory. Rep. Prog. Phys. 43, 833 (1980).
Schweitzer, F. & Steinbrink, J. Estimation of megacity growth: simple rules versus complex phenomena. Appl. Geogr. 18, 69–81 (1998).
Rybski, D., Ros, A. G. C. & Kropp, J. P. Distance-weighted city growth. Phys. Rev. E 87, 042114 (2013).
Rybski, D., Li, Y., Kropp, J. P. & Born, S. Modeling urban morphology by unifying diffusion-limited aggregation and stochastic gravitation. Urban Findings https://doi.org/10.32866/001c.22296 (2021).
Gonzalez, M. C., Hidalgo, C. A. & Barabasi, A.-L. Understanding individual human mobility patterns. Nature 453, 779–782 (2008).
Schrank, D., Eisele, B. & Lomax, T. TTI’s 2012 Urban Mobility Report Vol. 4 (Texas A&M Transportation Institute, The Texas A&M University System, 2012).
Einstein, A. Investigations on the Theory of the Brownian Movement (Courier Corporation, 1956).
Brockmann, D., Hufnagel, L. & Geisel, T. The scaling laws of human travel. Nature 439, 462–465 (2006).
Song, C., Koren, T., Wang, P. & Barabási, A.-L. Modelling the scaling properties of human mobility. Nat. Phys. 6, 818–823 (2010).
Simini, F., González, M. C., Maritan, A. & Barabási, A.-L. A universal model for mobility and migration patterns. Nature 484, 96–100 (2012).
Note: The traffic flow from location \(\overrightarrow{r}^{\prime}\) to \(\overrightarrow{r}\), \(T(\overrightarrow{r},\overrightarrow{r}^{\prime} )\equiv P(\overrightarrow{r}| \overrightarrow{r}^{\prime} )\rho (\overrightarrow{r}^{\prime} )=(\rho (\overrightarrow{r})+{\rho }_{0})\rho (\overrightarrow{r}^{\prime} )/| \overrightarrow{r}-\overrightarrow{r}^{\prime} {| }^{d+\alpha }\), in line with the convectional form at the strong coupling limit ρo → 0.
Grabowicz, P. A., Ramasco, J. J., Gonçalves, B. & Eguíluz, V. M. Entangling mobility and interactions in social media. PLoS ONE 9, e92196 (2014).
Deville, P. et al. Scaling identity connects human mobility and social interactions. Proc. Natl Acad. Sci. USA 113, 7047–7052 (2016).
Wang, D. & Song, C. Impact of human mobility on social networks. J. Commun. Networks 17, 100–109 (2015).
Note: \(l \approx {{\mathrm{log}}}\,\frac{1-{A}^{1-\zeta }}{\zeta -1}\) in ref. [21], where ζ is the Zipf’s exponents. For ζ > 1, l saturates at large A, which accounts for the home range effect for daily movements. For ζ < 1, \(l \approx {{\mathrm{log}}}\,(A)\) captures unbounded movements, that is, a migration process. We ignore the marginal double-logarithmic case when ζ = 1.
Burt, W. H. Territoriality and home range concepts as applied to mammals. J. Mammal. 24, 346–352 (1943).
Pappalardo, L. et al. Returners and explorers dichotomy in human mobility. Nat. Commun. 6, 1–8 (2015).
Pappalardo, L., Rinzivillo, S. & Simini, F. Human mobility modelling: exploration and preferential return meet the gravity model. Proc. Comput. Sci. 83, 934–939 (2016).
Toole, J. L., Herrera-Yaqüe, C., Schneider, C. M. & González, M. C. Coupling human mobility and social ties. J. R. Soc. Interface 12, 20141128 (2015).
Batty, M. & Longley, P. A. Fractal Cities: A Geometry of Form and Function (Academic, 1994).
Encarnação, S., Gaudiano, M., Santos, F. C., Tenedório, J. A. & Pacheco, J. M. Fractal cartography of urban areas. Sci. Rep. 2, 1–5 (2012).
Benguigui, L., Czamanski, D., Marinov, M. & Portugali, Y. When and where is a city fractal? Environ. Plann. B 27, 507–519 (2000).
Rozenfeld, H. D., Rybski, D., Gabaix, X. & Makse, H. A. The area and population of cities: new insights from a different perspective on cities. Am. Econ. Rev. 101, 2205–25 (2011).
Sen, P. K. Estimates of the regression coefficient based on kendall’s tau. J. Am. Stat. Assoc. 63, 1379–1389 (1968).
Woldenberg, M. J. An allometric analysis of urban land use in the united states. Ekistics 36, 282–290 (1973).
Coffey, W. J. Allometric growth in urban and regional social-economic systems. Canadian J. Region. Sci. 11, 49–65 (1979).
Chen, Y., Wang, J. & Feng, J. Understanding the fractal dimensions of urban forms through spatial entropy. Entropy 19, 600 (2017).
Falconer, K. Fractal Geometry: Mathematical Foundations and Applications (John Wiley & Sons, 2004).
Wilson, A. Entropy in Urban and Regional Modelling Vol. 1 (Routledge, 2011).
Karemera, D., Oguledo, V. I. & Davis, B. A gravity model analysis of international migration to North America. Applied Econ. 32, 1745–1755 (2000).
Dagger, R. Metropolis, memory, and citizenship. Am. J. Political Sci. 25, 715–737 (1981).
Wissen, L. J. G. & Bonnerman, F. A Dynamic Model of Simultaneous Migration and Labour Market Behaviour (Faculty of Economics and Business Administration, Free University, 1991).
Camagni, R., Gibelli, M. C. & Rigamonti, P. Urban mobility and urban form: the social and environmental costs of different patterns of urban expansion. Ecol. Econ. 40, 199–216 (2002).
Krajzewicz, D., Erdmann, J., Behrisch, M. & Bieker, L. Recent development and applications of sumo-simulation of urban mobility. Int. J. Adv. Syst. Measurements 5, 128–138 (2012).
Jacobs, J. The Death and Life of Great American Cities (Vintage, 2016).
Millington, J. D., O’Sullivan, D. & Perry, G. L. Model histories: Narrative explanation in generative simulation modelling. Geoforum 43, 1025–1034 (2012).
Marsaglia, G. et al. Fast generation of discrete random variables. J. Stat. Softw. 11, 1–11 (2004).
US Census Data in 2000 (accessed 3 March 2018); https://www.census.gov/
Great Britain Census Data in 1991 (accessed 5 March 2018); http://ec.europa.eu/eurostat
Rozenfeld, H. D. et al. Laws of population growth. Proc. Natl Acad. Sci. USA 105, 18702–18707 (2008).
Frankhauser, P. La Fractalité des Structures Urbaines (Economica, 1994).
Makse, H. A. et al. Modeling urban growth patterns with correlated percolation. Phys. Rev. E 58, 7054 (1998).
Engle, R. F. Wald, likelihood ratio, and lagrange multiplier tests in econometrics. Handbook Economet. 2, 775–826 (1984).
Xu, F., Li, Y., Jin, D., Lu, J., & Song, C. tsinghua-fib-lab/Collective-Mobility-Model: First Release (Zenodo, 2021); https://doi.org/10.5281/zenodo.5722743
Acknowledgements
Y. Li, F. Xu and D. Jin were supported by the National Key Research and Development Program of China (grant no. 2020AAA0106000) and the National Natural Science Foundation of China (grant no. U1936217). We are also grateful for the insightful discussion with Prof. Z. Wang, Prof. J. Yuan and Dr. J. Ding at Tsinghua University.
Author information
Authors and Affiliations
Contributions
F. Xu and Y. Li contributed to the empirical implementation and evaluation of the proposed models. C. Song performed the theoretical analysis of human mobility modeling and complex urban system. D. Jin and J. Lu offered empirical motivations and insights to this research. All authors contributed to the writing of this manuscript.
Corresponding authors
Ethics declarations
Competing interests
The authors declare no competing interests.
Additional information
Peer review information Nature Computational Science thanks Pu Wang, Marta Gonzalez and the other, anonymous, reviewer(s) for their contribution to the peer review of this work.
Publisher’s note Springer Nature remains neutral with regard to jurisdictional claims in published maps and institutional affiliations.
Editor recognition statement: Handling editor: Fernando Chirigati, in collaboration with the Nature Computational Science team.
Supplementary information
Supplementary Information (download PDF )
Supplementary Figs. 1–11, Tables 1 and 2, and discussion.
Source data
Source Data Fig. 3 (download XLSX )
Statistical Source Data for Fig. 3.
Source Data Fig. 4 (download XLSX )
Statistical Source Data for Fig. 4.
Source Data Fig. 6 (download XLSX )
Statistical Source Data for Fig. 6.
Rights and permissions
About this article
Cite this article
Xu, F., Li, Y., Jin, D. et al. Emergence of urban growth patterns from human mobility behavior. Nat Comput Sci 1, 791–800 (2021). https://doi.org/10.1038/s43588-021-00160-6
Received:
Accepted:
Published:
Version of record:
Issue date:
DOI: https://doi.org/10.1038/s43588-021-00160-6
This article is cited by
-
Spatial Access of America: Multiple indicators of accessibility to opportunities
Scientific Data (2025)
-
Urban planning in the era of large language models
Nature Computational Science (2025)
-
Using human mobility data to quantify experienced urban inequalities
Nature Human Behaviour (2025)
-
City models: past, present and future prospects
Frontiers of Urban and Rural Planning (2025)
-
Unravelling the spatial directionality of urban mobility
Nature Communications (2024)


