Fig. 2: Deep learning system performance.
From: Determining breast cancer biomarker status and associated morphological features using deep learning

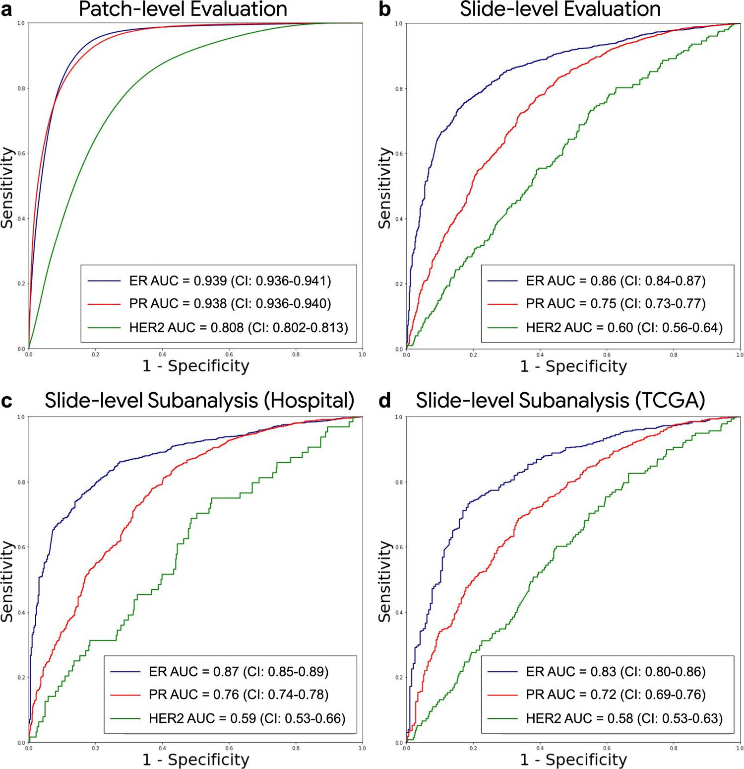
ROC curves for model performance are shown for a patch-level predictions across all tissue patches of WSIs, b slide-level predictions of the stage 2 model output on the full test set, c–d subanalysis for slide-level performance on the independent data sources of the slide level test set. Patch-level analysis represents 3-class performance (biomarker positive invasive carcinoma, biomarker negative invasive carcinoma, or non-tumor) and slide-level performance represents positive versus negative classification for biomarker status (all slides in the final datasets contain tumor). Binary patch-level performance for biomarker status across tumor regions only are shown in Supplementary Fig. 5. The number of slides, cases, and patches used for this analysis are indicated in Tables 1 and 2. ER Estrogen Receptor, PR Progesterone Receptor, HER2 human epidermal growth factor receptor 2.