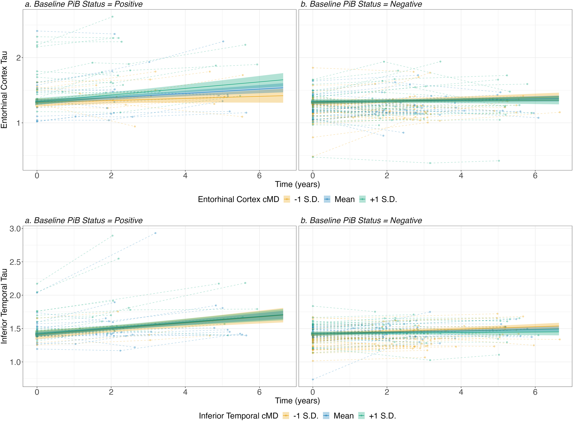
Fig. 1: Impact of entorhinal and inferior temporal cMD on longitudinal regional tau across amyloid groups.

The figure displays results from the models using either EC (I.a and I.b) or IT (II.a and II.b) cMD in interaction with time and amyloid burden. Amyloid was dichotomized, i.e., split into amyloid-positive (I.a. and II.a.) vs negative (I.b. and II.b.) based on a computed threshold using the cerebellar gray matter as reference. cMD cortical mean diffusivity, PiB 11C-Pittsburgh Compound-B, S.D. standard deviation.