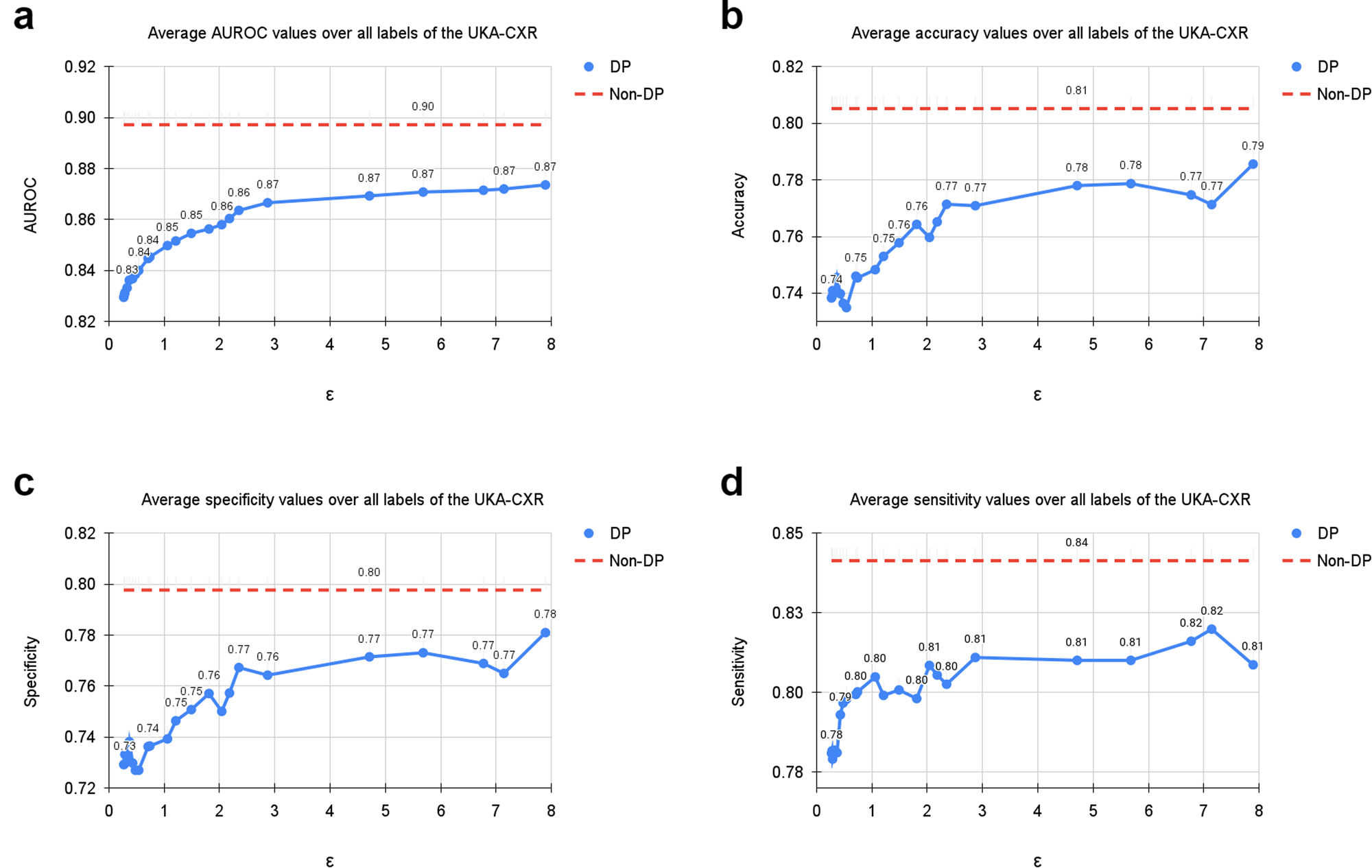
Fig. 2: Average results of training with differential privacy (DP) with different ϵ values for δ = 6 ⋅ 10−6.
From: Preserving fairness and diagnostic accuracy in private large-scale AI models for medical imaging

The curves show the average (a) area under the receiver operating characteristic curve (AUROC), (b) accuracy, (c) specificity, and (d) sensitivity values over all labels, including cardiomegaly, congestion, pleural effusion right, pleural effusion left, pneumonic infiltration right, pneumonic infiltration left, atelectasis right, and atelectasis left tested on N = 39,809 test images. The training dataset includes N = 153,502 images. Note, that the AUROC is monotonically increasing, while sensitivity, specificity and accuracy exhibit more variation. This is due to the fact that all training processes were optimized for the AUROC. Dashed lines correspond to the non-private training results. Source data are provided as a Source Data file.