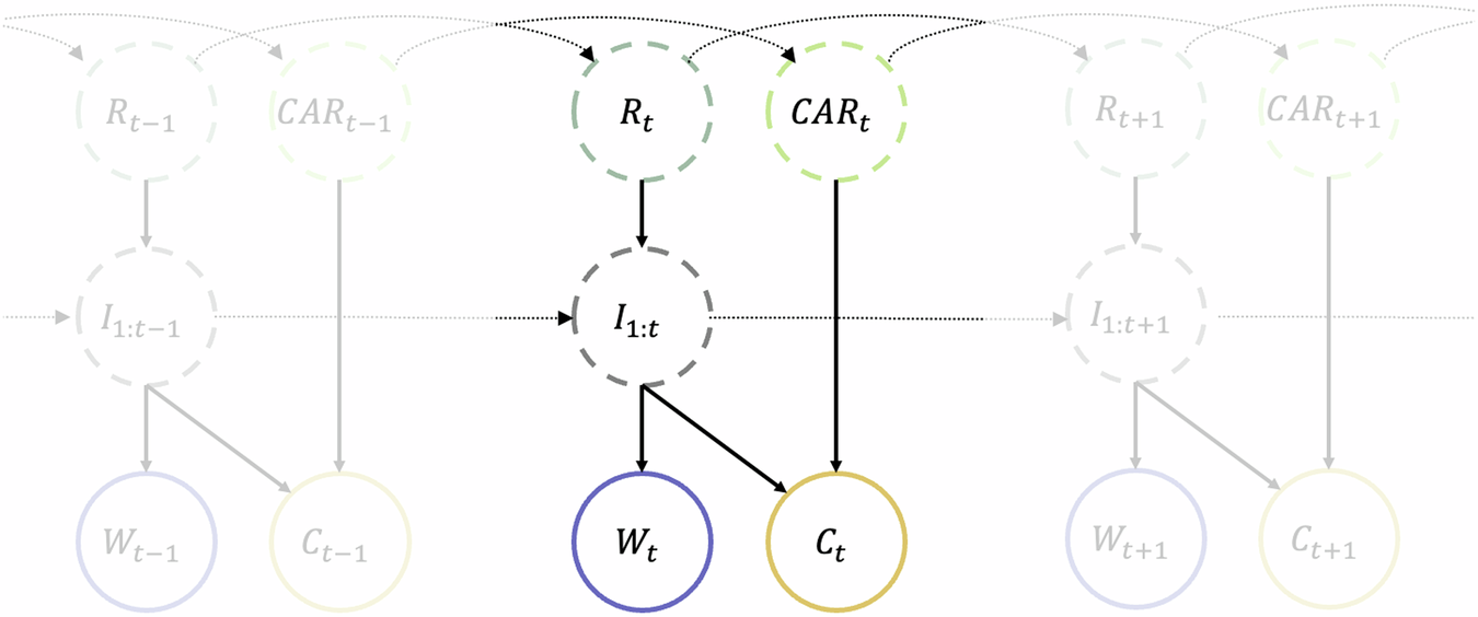
Fig. 2: Diagram of the state-space model.

Schematic of the model showing the dependency between hidden-states (dashed circles) and the observed data (solid circles). Rt is the instantaneous reproduction number on day t, CARt is the case ascertainment rate on day t, It is the number of new infections on day t, Ct is the number of reported cases on day t, and Wt is the observed wastewater, measured as the total genome copies per person per day for the sites that were sampled on day t. I1:t denotes the set of states \(\left\{{I}_{1},{I}_{2},\ldots ,{I}_{t}\right\}\). In practice, the current infections It, reported cases Ct and wastewater Wt depend only on recent values of It as specified by the generation interval distribution, the infection-to-reporting distribution, and infection-to-shedding distribution, respectively (see Methods).