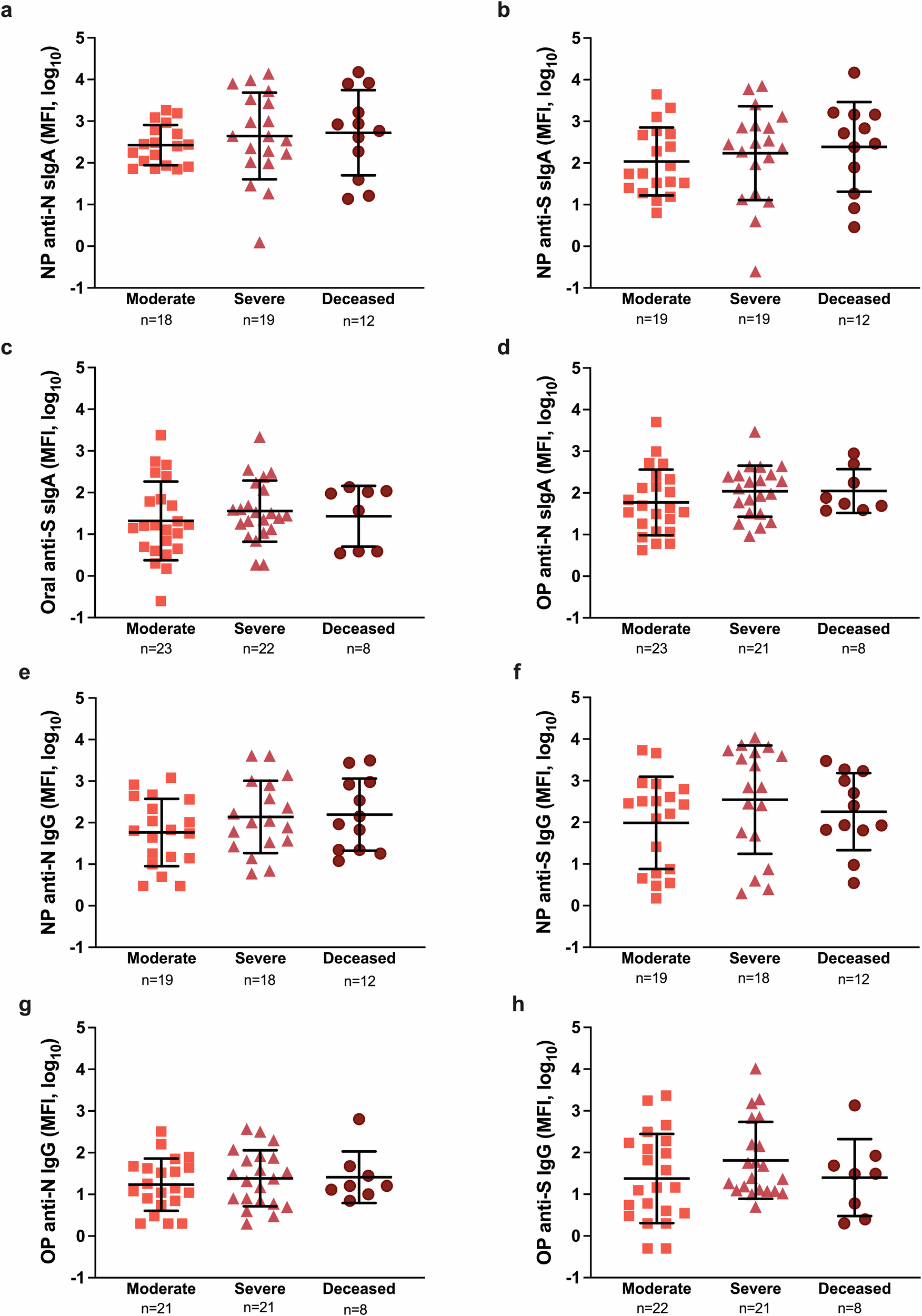
Fig. 2: Mucosal antibody responses among hospitalized COVID-19 patients at enrollment.

a–d Anti-nucleocapsid (N) and anti-spike (S) secretory IgA or (e–h) IgG responses were measured as median fluorescence intensity (MFI) in nasopharyngeal (NP) or oropharyngeal (OP) samples and compared among COVID-19 hospitalized patients classified as moderate (WHO score 3–4), severe (WHO score 5–7), or deceased (WHO score 8). Data are analyzed using Welch’s ANOVA and presented as means with standard deviations, indicated by error bars.