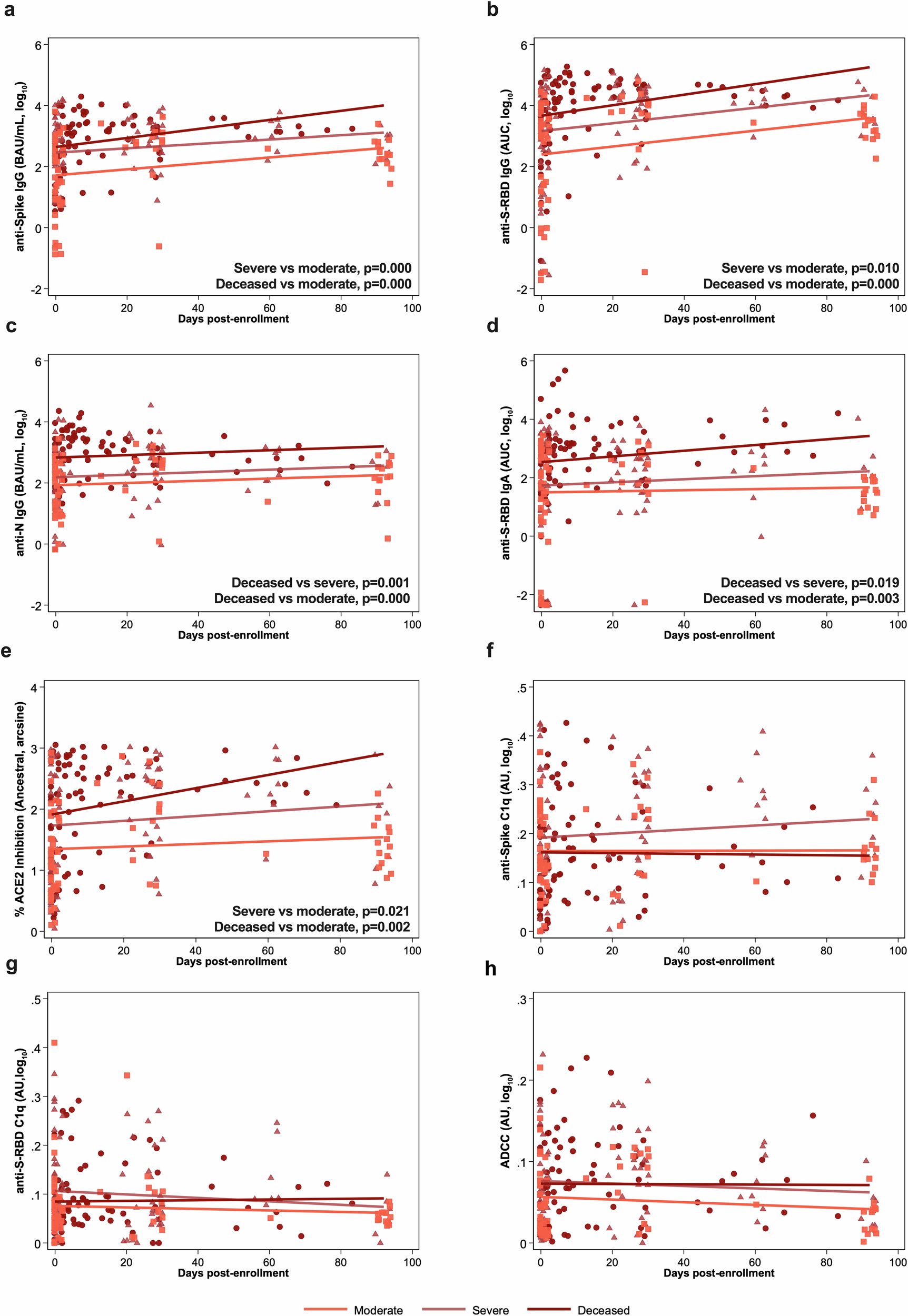
Fig. 6: Antibody responses against ancestral SARS-CoV-2 over continuous days since enrollment until 100 days post-enrollment (DPE) or subsequent death among hospitalized COVID-19 patients.

Linear mixed-effects regression models for (a–d) anti-spike (S), anti-spike receptor binding domain (S-RBD), or anti-nucleocapsid (N) IgG or IgA, measured as the binding antibody units (BAU) per ml if international standards were available or as the area under the curve (AUC) if standards were not available and only titration curves could be generated; (e) the percentage ACE2 inhibition against ancestral SARS-CoV-2 as a surrogate of virus neutralization, and (f–h) Fc effector antibody responses as measured by complement fixation against spike or S-RBD or antibody-dependent cellular cytotoxicity (ADCC) up until 100 DPE or death among hospitalized patients classified as moderate (WHO score 3–4; n = 41), severe (WHO score 5–7; n = 40), or deceased (WHO score 8; n = 24). P-values for statistically significant differences (p < 0.05) by linear mixed-effects regression contrasts are shown within the figures.