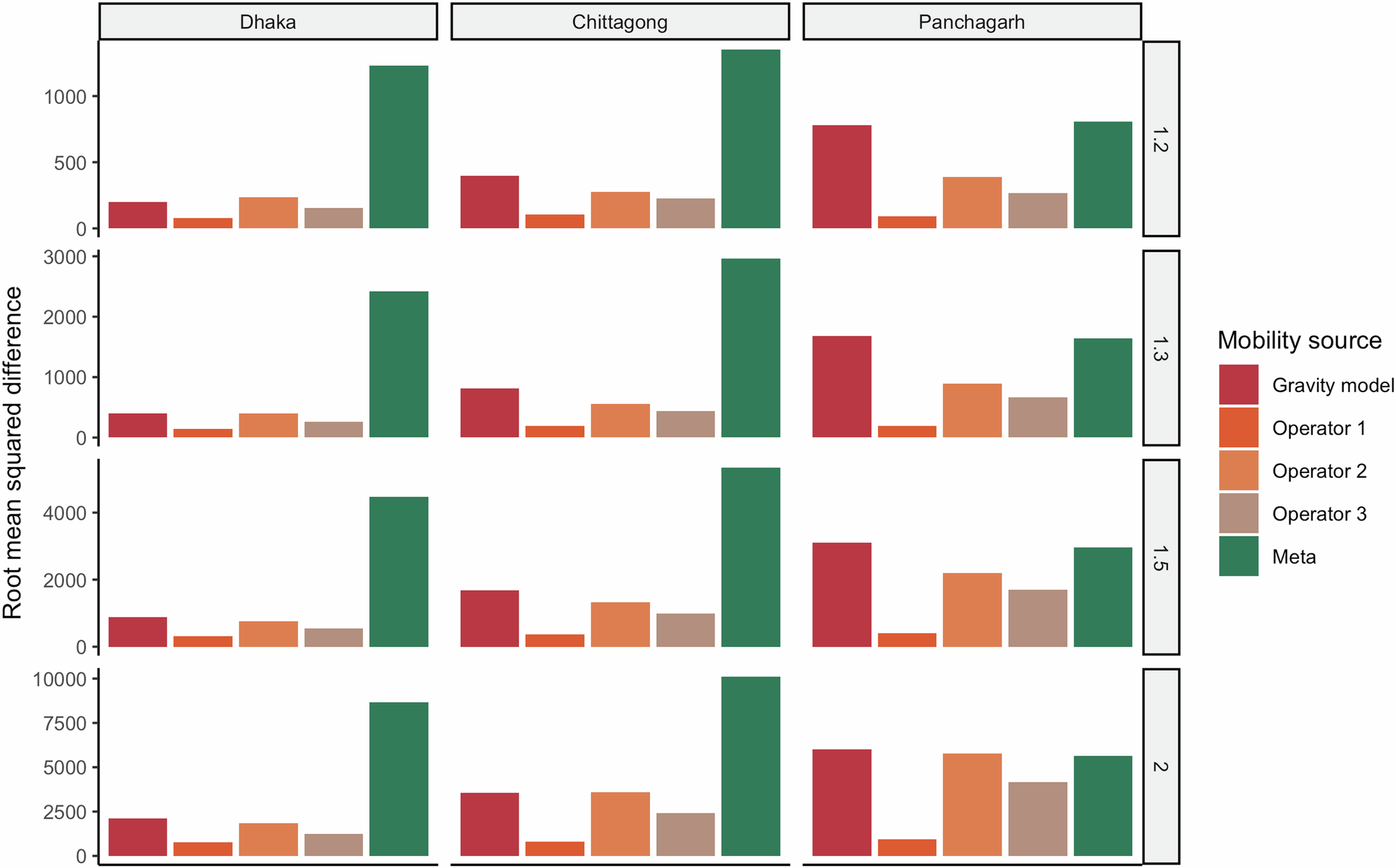
Fig. 6: Difference between the simulated incidence for each mobility source and the combined dataset from all three operators (representing greatest population coverage).
From: Bias in mobility datasets drives divergence in modeled outbreak dynamics

The difference is calculated as the square root of the mean squared difference across all time points and all districts. Differences are shown by seed city and \({R}_{0}\) values. Note that that y-axis scaling is different for each row since epidemic sizes, and therefore magnitude of differences, vary by \({R}_{0}\).