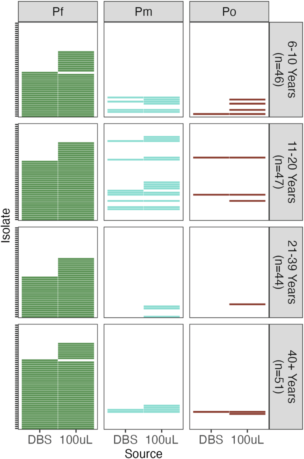
Fig. 2: Relative to sampling of DBS, sampling of larger pRBC volumes yielded increased prevalence of Plasmodium spp. infections.

Data shown for Plasmodium spp. detection by species-specific 18S rRNA PCR on DBS and 100μL-pRBC for N = 188 isolates, stratified by host age (6–10 years (n = 46 isolates), 11–20 years (n = 47 isolates), 21-39 years (n = 44 isolates), and ≥40 years (n = 51 isolates)). All infections were negative for P. vivax and therefore excluded from this figure. Presence or absence of P. falciparum, P. malariae, and P. ovale spp. as indicated by Pf, Pm, and Po respectively.