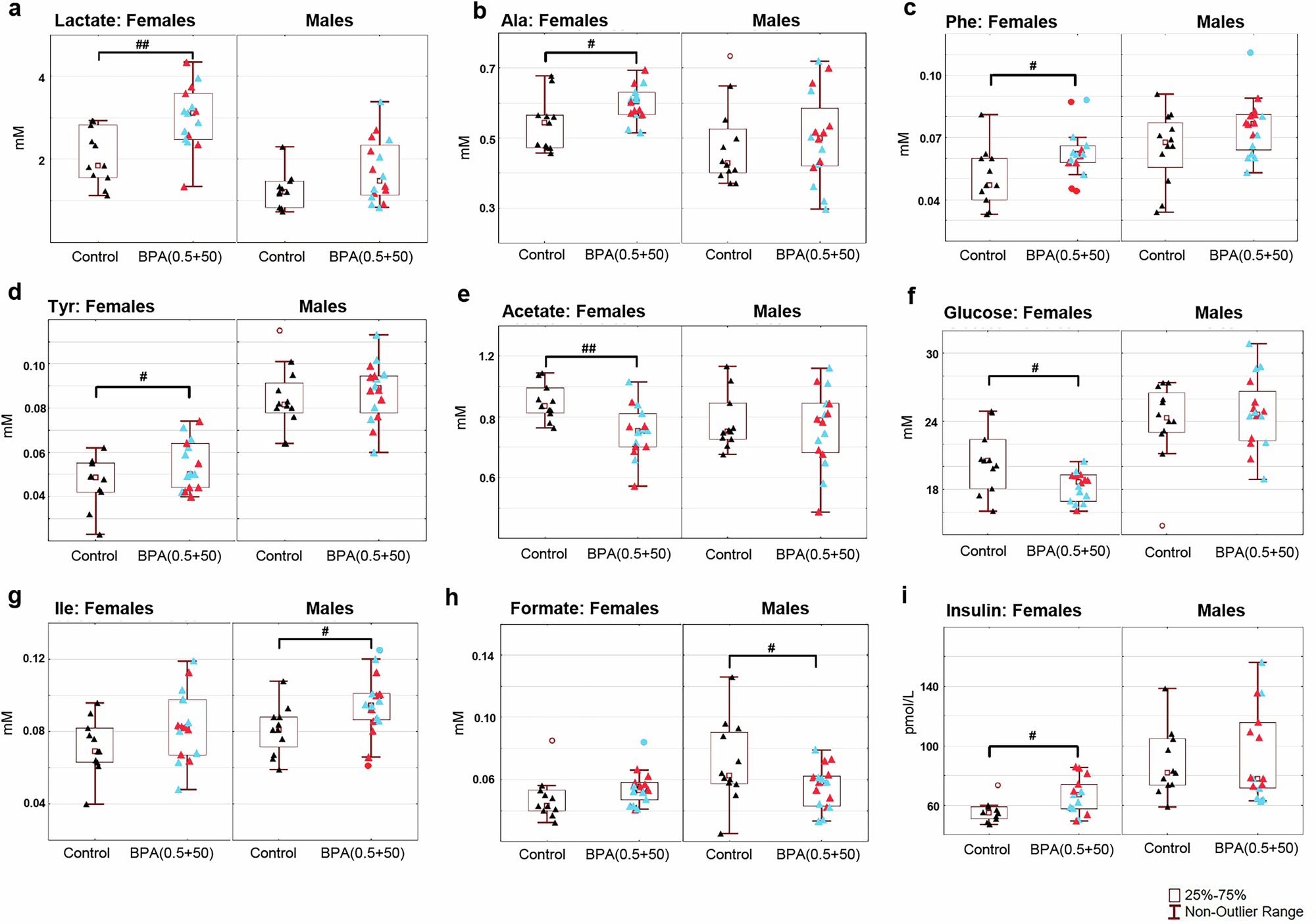
Fig. 4: Rat plasma NMR metabolite profiling and ELISA insulin levels in combined female bisphenol A, BPA(0.5 + 50), and male BPA(0.5 + 50) exposure groups.

NMR results: a Lactate. b Alanine. c Phenylalanine. d Tyrosine. e Acetate. f Glucose. g Isoleucine. h Formate. ELISA insulin: (i). Results are expressed as box plots. Blue triangles represent BPA0.5 exposure, red triangles represent BPA50 exposure, and black triangles represent controls. BPA-exposed males (n = 16), control males (n = 12), BPA-exposed females (n = 15), and control females (n = 11). #p < 0.05 and ##p < 0.01 vs control, Student’s t-test, text for exact p-values.