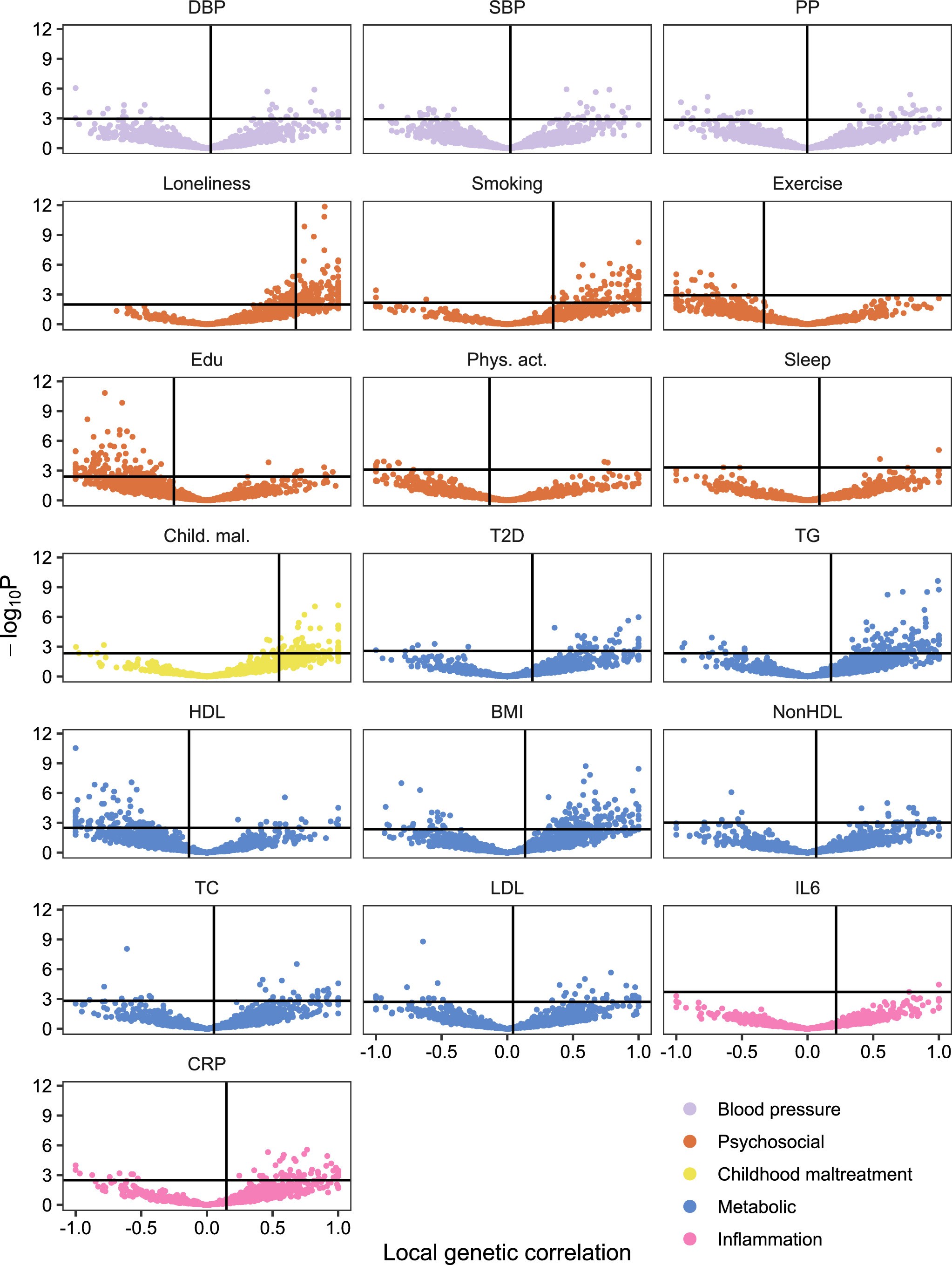
Extended Data Fig. 7: Local genetic correlations between MDD and risk factors.

Volcano plots based on LAVA results. Local genetic correlation between MDD and each of the risk factors (x-axis) and the corresponding -log10 transformed P-value (y-axis). Empirical P-values were obtained via a permutation procedure with partial integration, evaluating the two-sided hypothesis of no association using the estimated parameters as test statistics. Correlations were estimated in the loci that showed marginally significant local heritability in 2,495 considered genomic regions. Loci exceeding the horizontal line are significant at \({P}_{{\rm{FDR}}}\)<.05. Multiple testing was adjusted individually for each trait over considered loci using the Benjamini-Hochberg procedure. Sample sizes for underlying GWAS summary statistics are reported in Supplementary Table 1. Child. Mal.=Childhood Maltreatment; CRP = C-Reactive Protein; DBP=Diastolic Blood Pressure; Edu=Educational attainment; HDL=High-Density Lipoprotein; IL6=Interleukin-6; LDL=Low-Density Lipoprotein; MDD=Major Depressive Disorder; NonHDL=Non-High-Density Lipoprotein; Phys. Act.=Physical activity; PP=Pulse Pressure; Psychosocial=Psychosocial/lifestyle; SBP=Systolic Blood Pressure; T2D=Type II Diabetes; TC=Total Cholesterol; TG=Triglycerides.