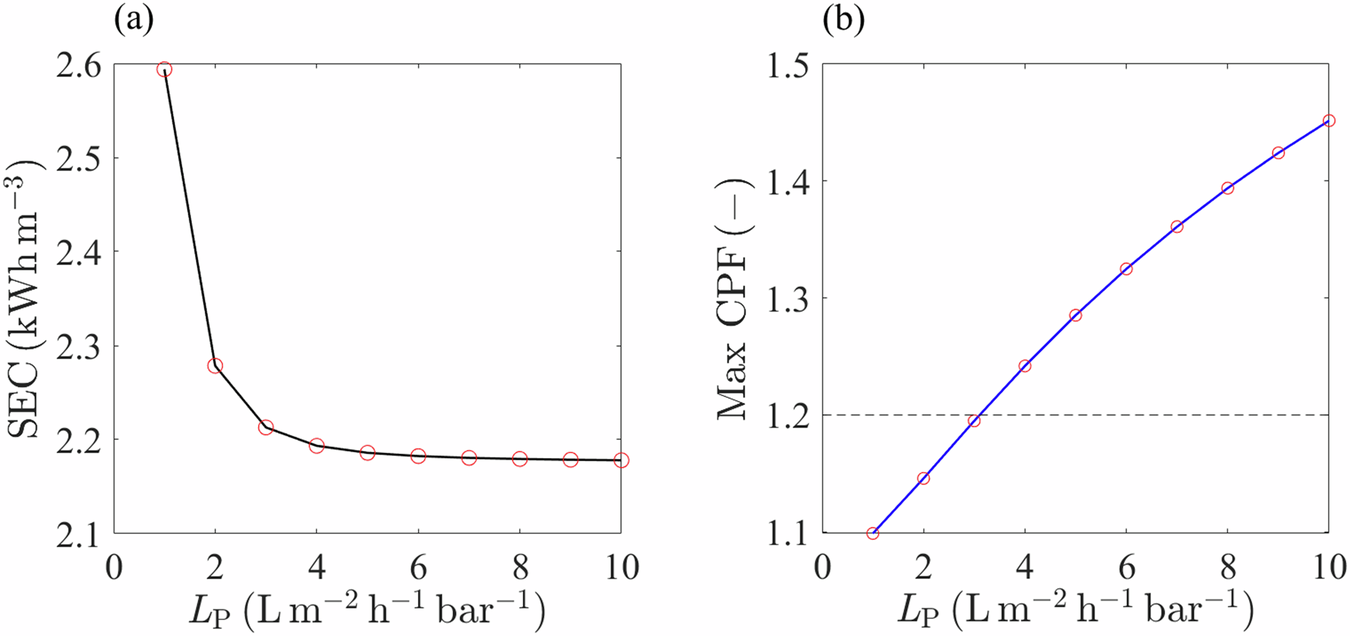
Fig. 6: Performance predictions by FFHE for membrane materials with respect to various membrane permeabilities.
From: Holomorphic embedding method for large-scale reverse osmosis desalination optimization

a Specific energy consumption (SEC). b Maximum concentration polarization factor (Max CPF). The black dotted line denotes an upper bound of the Max CPF in generic flow arrangements for membrane modules.