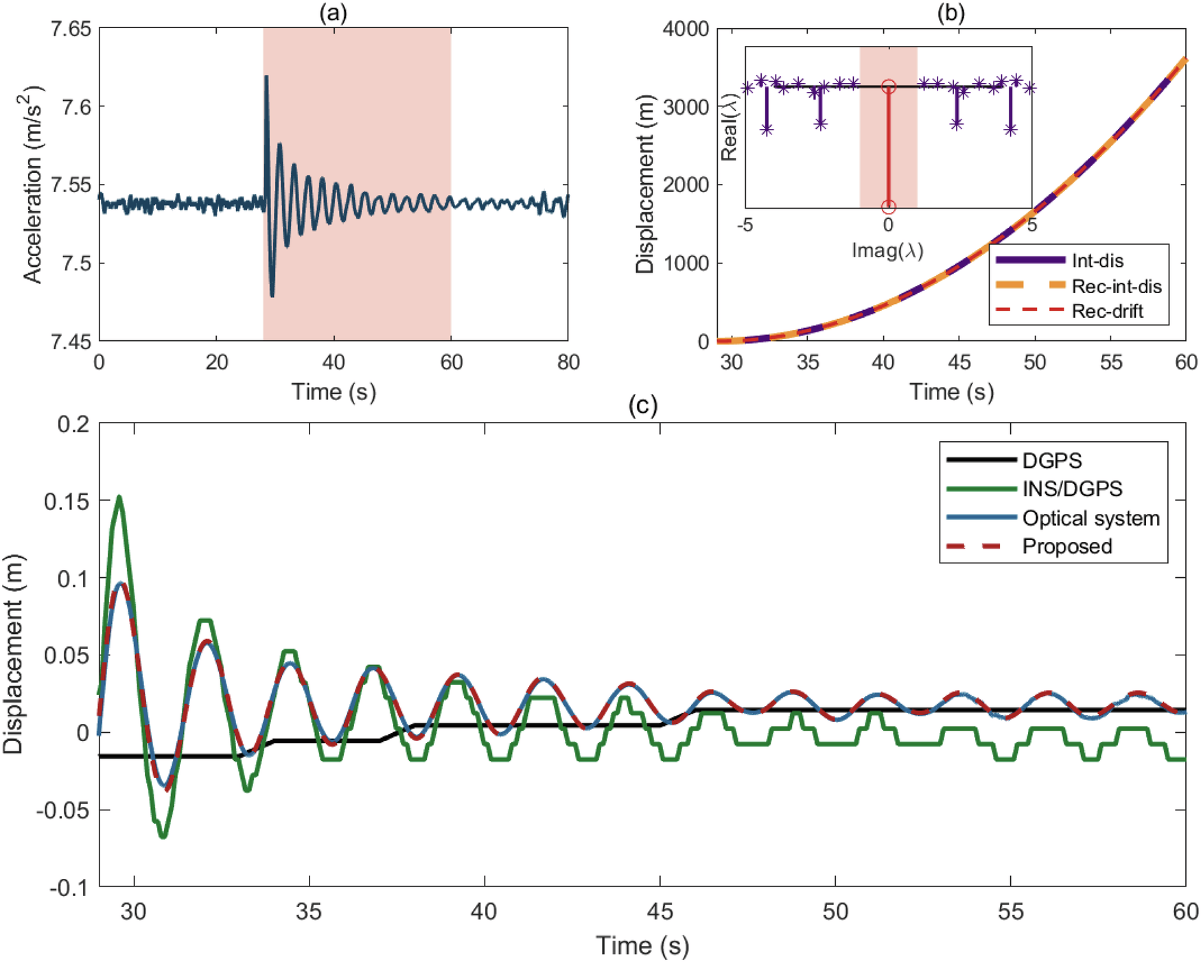
Fig. 8: Displacement reconstruction results of the heave-free motion case of the outdoor experiment.

a Measured acceleration. b Comparison of integrated displacement, reconstructed integrated displacement, and reconstructed drift terms. c Comparison of measured displacement with the reconstructed displacement.