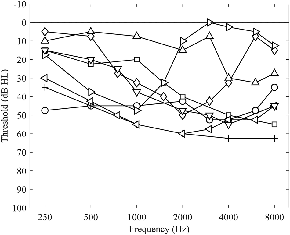
Fig. 4: Individual participant audiograms.
From: A brain-inspired algorithm improves “cocktail party” listening for individuals with hearing loss

The different curves show pure-tone thresholds for each of the eight participants (averaged over left and right ears). Unique symbols distinguish individual subjects.