Fig. 3
From: Early warning of thermal runaway based on state of safety for lithium-ion batteries

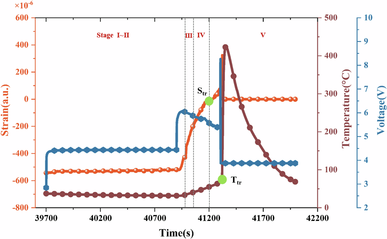
The parameter variation curves with 110% SOC over-charge.
From: Early warning of thermal runaway based on state of safety for lithium-ion batteries

The parameter variation curves with 110% SOC over-charge.