Abstract
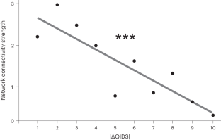
Plasticity is the ability to modify brain and behavior and allows the transition from psychopathology to mental wellbeing. High plasticity has been associated with high susceptibility to contextual factors, for example, living conditions, which ultimately drive the plasticity outcome. Here we exploited network analysis to show that plasticity—in this case, the susceptibility to modify the depression score—can be measured by assessing the symptom network connectivity: the weaker the connectivity, the higher the plasticity, resulting in a greater modification in mood symptoms. We analyzed the STAR*D dataset and found that baseline connectivity strength was weaker in responder patients than non-responder patients. Moreover, connectivity strength was inversely correlated with improvement in depression score (ρ = –0.88, P = 0.002) and susceptibility to change mood according to context (ρ = 0.78, P = 0.028). This operationalization of plasticity provides a mathematical tool to predict resilience, vulnerability and recovery, and to develop novel approaches for the prevention and treatment of major depressive disorder.
This is a preview of subscription content, access via your institution
Access options
Subscribe to this journal
Receive 12 digital issues and online access to articles
$79.00 per year
only $6.58 per issue
Buy this article
- Purchase on SpringerLink
- Instant access to the full article PDF.
USD 39.95
Prices may be subject to local taxes which are calculated during checkout




Similar content being viewed by others
Data availability
The dataset used in the present study is available through the NIMH Data Archive. Researchers interested in using the Sequenced Treatment Alternatives to Relieve Depression (STAR*D) dataset should request it from the NIMH (https://nda.nih.gov/).
Code availability
The R codes used for the analyses are publicly available and can be downloaded at https://figshare.com/s/a7874b5986b9a27aa030.
References
Lindenberger, U., Wenger, E. & Lovden, M. Towards a stronger science of human plasticity. Nat. Rev. Neurosci. 18, 261–262 (2017).
Humeau, Y. & Choquet, D. The next generation of approaches to investigate the link between synaptic plasticity and learning. Nat. Neurosci. 22, 1536–1543 (2019).
Branchi, I. Plasticity in mental health: a network theory. Neurosci. Biobehav. Rev. 138, 104691 (2022).
Price, R. B. & Duman, R. Neuroplasticity in cognitive and psychological mechanisms of depression: an integrative model. Mol. Psychiatry 25, 530–543 (2020).
Duman, R. S., Malberg, J. & Thome, J. Neural plasticity to stress and antidepressant treatment. Biol. Psychiatry 46, 1181–1191 (1999).
Branchi, I. The double edged sword of neural plasticity: increasing serotonin levels leads to both greater vulnerability to depression and improved capacity to recover. Psychoneuroendocrinology 36, 339–351 (2011).
Delli Colli, C. et al. Time moderates the interplay between 5-HTTLPR and stress on depression risk: gene x environment interaction as a dynamic process. Transl. Psychiatry 12, 274 (2022).
Viglione, A., Chiarotti, F., Poggini, S., Giuliani, A. & Branchi, I. Predicting antidepressant treatment outcome based on socioeconomic status and citalopram dose. Pharmacogenomics J. 19, 538–546 (2019).
Chiarotti, F., Viglione, A., Giuliani, A. & Branchi, I. Citalopram amplifies the influence of living conditions on mood in depressed patients enrolled in the STAR*D study. Transl. Psychiatry 7, e1066 (2017).
Carhart-Harris, R. L. et al. Psychedelics and the essential importance of context. J. Psychopharmacol. 32, 725–731 (2018).
Lepow, L., Morishita, H. & Yehuda, R. Critical period plasticity as a framework for psychedelic-assisted psychotherapy. Front. Neurosci. 15, 710004 (2021).
Bottemanne, H. et al. Evaluation of early ketamine effects on belief-updating biases in patients with treatment-resistant depression. JAMA Psychiatry 79, 1124–1132 (2022).
Cuijpers, P., Stringaris, A. & Wolpert, M. Treatment outcomes for depression: challenges and opportunities. Lancet Psychiatry 7, 925–927 (2020).
Klobl, M. et al. Escitalopram modulates learning content-specific neuroplasticity of functional brain networks. Neuroimage 247, 118829 (2022).
Alboni, S. et al. Fluoxetine effects on molecular, cellular and behavioral endophenotypes of depression are driven by the living environment. Mol. Psychiatry 22, 552–561 (2017).
Branchi, I. et al. Antidepressant treatment outcome depends on the quality of the living environment: a pre-clinical investigation in mice. PLoS ONE 8, e62226 (2013).
Poggini, S. et al. Selecting antidepressants according to a drug-by-environment interaction: a comparison of fluoxetine and minocycline effects in mice living either in enriched or stressful conditions. Behav. Brain Res. 408, 113256 (2021).
Borgi, M. et al. Nature-based interventions for mental health care: social network analysis as a tool to map social farms and their response to social inclusion and community engagement. Int. J. Environ. Res. Public Health 16, 3501 (2019).
Cooney, G. M. et al. Exercise for depression. Cochrane Database Syst. Rev. 2013, CD004366 (2013).
Sarris, J., O’Neil, A., Coulson, C. E., Schweitzer, I. & Berk, M. Lifestyle medicine for depression. BMC Psychiatry 14, 107 (2014).
Wiles, N. et al. Cognitive behavioural therapy as an adjunct to pharmacotherapy for primary care based patients with treatment resistant depression: results of the CoBalT randomised controlled trial. Lancet 381, 375–384 (2013).
Branchi, I. A mathematical formula of plasticity: measuring susceptibility to change in mental health and data science. Neurosci. Biobehav. Rev. 152, 105272 (2023).
van Borkulo, C. D. et al. Comparing network structures on three aspects: a permutation test. Psychol. Methods https://doi.org/10.1037/met0000476 (2022).
Schweren, L., van Borkulo, C. D., Fried, E. & Goodyer, I. M. Assessment of symptom network density as a prognostic marker of treatment response in adolescent depression. JAMA Psychiatry 75, 98–100 (2018).
Lee Pe, M. et al. Emotion-network density in major depressive disorder. Clin. Psychol. Sci. 3, 292–300 (2015).
McElroy, E., Napoleone, E., Wolpert, M. & Patalay, P. Structure and connectivity of depressive symptom networks corresponding to early treatment response. EClinicalMedicine 8, 29–36 (2019).
Ashaie, S. A., Hung, J., Funkhouser, C. J., Shankman, S. A. & Cherney, L. R. Depression over time in persons with stroke: a network analysis approach. J. Affect. Disord. Rep. 4, 100131 (2021).
Kendler, K. S., Karkowski, L. M. & Prescott, C. A. Causal relationship between stressful life events and the onset of major depression. Am. J. Psychiatry 156, 837–841 (1999).
Walsh, K., McLaughlin, K. A., Hamilton, A. & Keyes, K. M. Trauma exposure, incident psychiatric disorders, and disorder transitions in a longitudinal population representative sample. J. Psychiatr. Res. 92, 212–218 (2017).
Kendler, K. S., Kuhn, J. & Prescott, C. A. The interrelationship of neuroticism, sex, and stressful life events in the prediction of episodes of major depression. Am. J. Psychiatry 161, 631–636 (2004).
Peel, A. J. et al. Comparison of depression and anxiety symptom networks in reporters and non-reporters of lifetime trauma in two samples of differing severity. J. Affect. Disord. Rep. 6, 100201 (2021).
Bringmann, L. F. et al. Assessing temporal emotion dynamics using networks. Assessment 23, 425–435 (2016).
Hakulinen, C. et al. Network structure of depression symptomology in participants with and without depressive disorder: the population-based health 2000-2011 study. Soc. Psychiatry Psychiatr. Epidemiol. 55, 1273–1282 (2020).
Kuckertz, J. M. et al. Does the network structure of obsessive-compulsive symptoms at treatment admission identify patients at risk for non-response? Behav. Res. Ther. 156, 104151 (2022).
Groen, R. N., Wichers, M., Wigman, J. T. W. & Hartman, C. A. Specificity of psychopathology across levels of severity: a transdiagnostic network analysis. Sci. Rep. 9, 18298 (2019).
Hirota, T., McElroy, E. & So, R. Network analysis of internet addiction symptoms among a clinical sample of Japanese adolescents with autism spectrum disorder. J. Autism Dev. Disord. 51, 2764–2772 (2021).
Fried, E. I. et al. Measuring depression over time… or not? Lack of unidimensionality and longitudinal measurement invariance in four common rating scales of depression. Psychol. Assess. 28, 1354–1367 (2016).
Madhoo, M. & Levine, S. Z. Network analysis of the Quick Inventory of Depressive Symptomatology: reanalysis of the STAR*D clinical trial. Eur. Neuropsychopharmacol. 26, 1768–1774 (2016).
Danese, A. & Widom, C. S. Objective and subjective experiences of child maltreatment and their relationships with psychopathology. Nat. Hum. Behav. 4, 811–818 (2020).
Wallsten, S. M., Tweed, D. L., Blazer, D. G. & George, L. K. Disability and depressive symptoms in the elderly: the effects of instrumental support and its subjective appraisal. Int. J. Aging Hum. Dev. 48, 145–159 (1999).
Fakhoury, W. K., Kaiser, W., Roeder-Wanner, U. U. & Priebe, S. Subjective evaluation: is there more than one criterion? Schizophr. Bull. 28, 319–327 (2002).
Wen, M., Hawkley, L. C. & Cacioppo, J. T. Objective and perceived neighborhood environment, individual SES and psychosocial factors, and self-rated health: an analysis of older adults in Cook County, Illinois. Soc. Sci. Med. 63, 2575–2590 (2006).
Borsboom, D. & Cramer, A. O. Network analysis: an integrative approach to the structure of psychopathology. Annu. Rev. Clin. Psychol. 9, 91–121 (2013).
Branchi, I. & Giuliani, A. Shaping therapeutic trajectories in mental health: instructive vs. permissive causality. Eur. Neuropsychopharmacol. 43, 1–9 (2021).
Hartung, T. J., Fried, E. I., Mehnert, A., Hinz, A. & Vehling, S. Frequency and network analysis of depressive symptoms in patients with cancer compared to the general population. J. Affect. Disord. 256, 295–301 (2019).
Hayes, A. M., Yasinski, C., Ben Barnes, J. & Bockting, C. L. Network destabilization and transition in depression: new methods for studying the dynamics of therapeutic change. Clin. Psychol. Rev. 41, 27–39 (2015).
Kuppens, P., Allen, N. B. & Sheeber, L. B. Emotional inertia and psychological maladjustment. Psychol. Sci. 21, 984–991 (2010).
Holtzheimer, P. E. & Mayberg, H. S. Stuck in a rut: rethinking depression and its treatment. Trends Neurosci. 34, 1–9 (2011).
Rush, A. J. et al. The 16-Item Quick Inventory of Depressive Symptomatology (QIDS), clinician rating (QIDS-C), and self-report (QIDS-SR): a psychometric evaluation in patients with chronic major depression. Biol. Psychiatry 54, 573–583 (2003).
Trivedi, M. H. et al. Maximizing the adequacy of medication treatment in controlled trials and clinical practice: STAR(*)D measurement-based care. Neuropsychopharmacology 32, 2479–2489 (2007).
Endicott, J., Nee, J., Harrison, W. & Blumenthal, R. Quality of life enjoyment and satisfaction questionnaire: a new measure. Psychopharmacol. Bull. 29, 321–326 (1993).
Stevanovic, D. Quality of life enjoyment and satisfaction questionnaire-short form for quality of life assessments in clinical practice: a psychometric study. J. Psychiatr. Ment. Health Nurs. 18, 744–750 (2011).
Epskamp, S. & Fried, E. I. A tutorial on regularized partial correlation networks. Psychol. Methods 23, 617–634 (2018).
Epskamp, S., Waldorp, L. J., Mottus, R. & Borsboom, D. The Gaussian graphical model in cross-sectional and time-series data. Multivar. Behav. Res. 53, 453–480 (2018).
Friedman, J., Hastie, T. & Tibshirani, R. Sparse inverse covariance estimation with the graphical LASSO. Biostatistics 9, 432–441 (2008).
Burger, J. et al. Reporting standards for psychological network analyses in cross-sectional data. Psychol. Methods 28, 806–824 (2023).
Acknowledgements
The research was supported by the grant from the Italian Ministry of Health Ricerca Finalizzata RF-2018-12367249 and the Istituto Superiore di Sanità ISS20-4f4dcc4bflbc to I.B. We thank F. Cirulli (Istituto Superiore di Sanità) and J. Niedda (Sapienza University, Rome, Italy) for critical reading and inputs on data interpretation, and A. Maione (Istituto Superiore di Sanità) for editorial support.
Author information
Authors and Affiliations
Contributions
I.B. conceptualized theoretical background underpinning the study and wrote the manuscript in collaboration with C.D.C., A.G. and F.C. C.D.C. wrote the R codes and supervised the analyses in consultation with F.C., A.G. and I.B. The manuscript was reviewed and edited by F.C., A.G. and P.C. All of the authors of this study have fulfilled the criteria for authorship required by Nature Portfolio journals as their participation was essential for the design and implementation of the study. Roles and responsibilities were agreed among authors. All authors have agreed to all of the content within the manuscript.
Corresponding author
Ethics declarations
Competing interests
The authors declare no competing interests.
Peer review
Peer review information
Nature Mental Health thanks Mayank Jog, Claus Normann and the other, anonymous, reviewer(s) for their contribution to the peer review of this work.
Additional information
Publisher’s note Springer Nature remains neutral with regard to jurisdictional claims in published maps and institutional affiliations.
Supplementary information
Supplementary Information
Supplementary Figs. 1–8 and Table 1.
Rights and permissions
Springer Nature or its licensor (e.g. a society or other partner) holds exclusive rights to this article under a publishing agreement with the author(s) or other rightsholder(s); author self-archiving of the accepted manuscript version of this article is solely governed by the terms of such publishing agreement and applicable law.
About this article
Cite this article
Delli Colli, C., Chiarotti, F., Campolongo, P. et al. Towards a network-based operationalization of plasticity for predicting the transition from depression to mental health. Nat. Mental Health 2, 200–208 (2024). https://doi.org/10.1038/s44220-023-00192-z
Received:
Accepted:
Published:
Version of record:
Issue date:
DOI: https://doi.org/10.1038/s44220-023-00192-z
This article is cited by
-
A network-based analysis anticipates time to recovery from major depression revealing a plasticity by context interplay
Translational Psychiatry (2025)
-
The Interface as a Privileged Level of Organization in Life Sciences: Implications for Control and Causation in Complex Systems
Biological Theory (2025)


