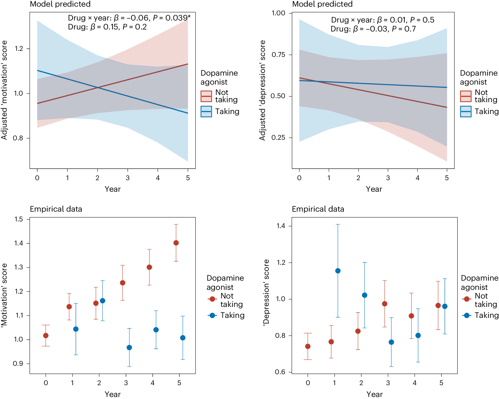
Fig. 1: Relationship between different depression symptoms dimensions and dopamine agonist treatment over time.

Top row: adjusted linear mixed-effects model of the predicted relationship between dopamine agonist treatment and ‘motivation’ factor score (top left) and ‘depression’ factor score (top right) over time (n = 412, categorized as taking (blue) and not taking (red) dopamine agonists across six time points). Shown as the mean estimate (red and blue lines) ±95% CIs (red and blue shading). Bottom row: empirical data showing (symptom factor score means and standard errors) the same pattern as the modeled estimates between dopamine agonist treatment and ‘motivation’ factor score (bottom left) and ‘depression’ factor score (bottom right).