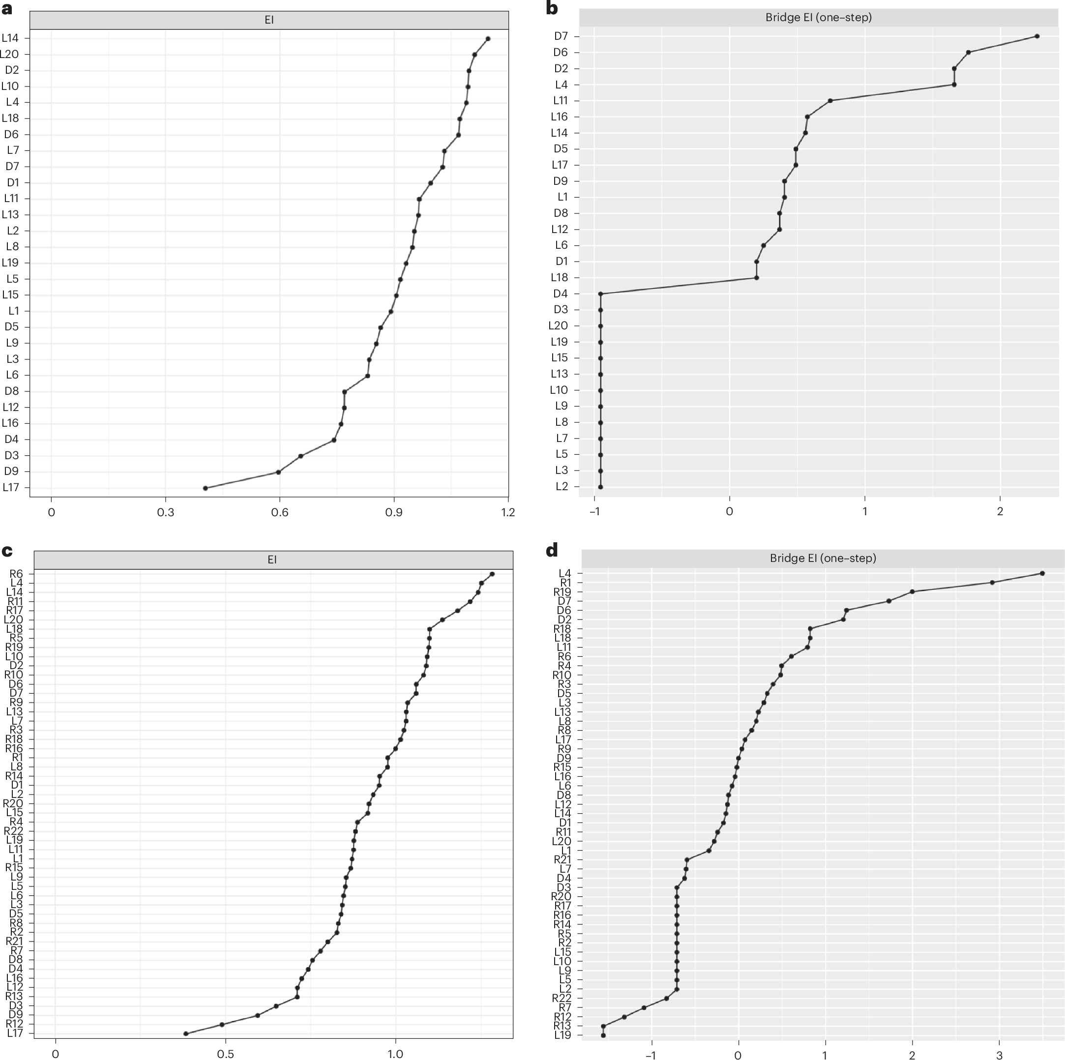
Fig. 4: Node and bridge centrality indices.
From: A network analysis of rumination on loneliness and the relationship with depression

The EI (one-step) and bridge EI (one-step) were used in the present study. One-step EI is defined as the sum of all the edges extending from a node, including both negative and positive ones. One-step bridge EI is the sum of edge weights extending from one node to all nodes in other communities. a,b, EI (a) and bridge EI (b) of each node, from the highest to the lowest, of the loneliness–depression network. c,d, EI (c) and bridge EI (d) of each node, from the highest to the lowest, of the loneliness–rumination–depression network.