Abstract
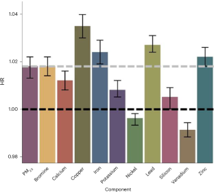
Given the increasing concerns about the mental health impacts of environmental pollutants, fine particulate matter (PM2.5) is notably significant due to its widespread presence and potential neurological effects. However, research exploring the association between PM2.5-bound trace elements and depression remains sparse. This nationwide cohort study investigates the long-term effects of exposure to PM2.5 metal components—specifically copper (Cu) and zinc (Zn)—on depression among older US adults, analyzing data from over 30 million Medicare beneficiaries spanning 2000 to 2018. Our findings reveal a strong link between extended exposure to PM2.5-bound Cu and Zn and higher depression risks, with the most significant effects observed among all studied metals. These two metals consistently showed the strongest associations across multiple models. Specifically, exposure to Cu and Zn, primarily from non-tailpipe sources such as brake and tire wear, was associated with increased depression rates of 3.5% and 2.2%, respectively, in individuals aged 65 years and older. These results underscore the necessity for targeted public health interventions and policies that address the mental health impacts of specific environmental contaminants, especially in vulnerable populations such as the elderly, and highlight the importance of considering environmental factors within the broader context of mental health and aging.
This is a preview of subscription content, access via your institution
Access options
Subscribe to this journal
Receive 12 digital issues and online access to articles
$79.00 per year
only $6.58 per issue
Buy this article
- Purchase on SpringerLink
- Instant access to the full article PDF.
USD 39.95
Prices may be subject to local taxes which are calculated during checkout




Similar content being viewed by others
Data availability
Medicare claims data used in this study (Medicare Chronic Conditions Warehouse (CCW) and Medicare Denominator File) are available from the US Centers for Medicare and Medicaid Services (CMS) but are not publicly available due to privacy and confidentiality restrictions. Researchers can apply for access through the CMS Data Request Center (https://resdac.org/cms-data/request/cms-data-request-center). PM2.5 total mass and trace element component concentration data are publicly available from the NASA Socioeconomic Data and Applications Center (SEDAC) at https://sedac.ciesin.columbia.edu.
References
Kioumourtzoglou, M. A. et al. The association between air pollution and onset of depression among middle-aged and older women. Am. J. Epidemiol. 185, 801–809 (2017).
Blazer, D., Hughes, D. C. & George, L. K. The epidemiology of depression in an elderly community population. Gerontologist 27, 281–287 (1987).
Blazer, D. G. Depression in late life: review and commentary. J. Gerontol. A 58, 249–265 (2003).
Wang, S. et al. Long-term trends in the incidence of depressive disorders in China, the United States, India and globally: a comparative study from 1990 to 2019. Front. Psychol. 13, 1066706 (2022).
Fiske, A., Wetherell, J. L. & Gatz, M. Depression in older adults. Annu. Rev. Clin. Psychol. 5, 363–389 (2009).
Vasiliadis, H. M. et al. The excess healthcare costs associated with depression and anxiety in elderly living in the community. Am. J. Geriatr. Psychiatry 21, 536–548 (2013).
Hegeman, J. M., Kok, R. M., van der Mast, R. C. & Giltay, E. J. Phenomenology of depression in older compared with younger adults: meta-analysis. Br. J. Psychiatry 200, 275–281 (2012).
Alexopoulos, G. S. Mechanisms and treatment of late-life depression. Transl. Psychiatry 9, 188 (2019).
Szymkowicz, S. M., Gerlach, A. R., Homiack, D. & Taylor, W. D. Biological factors influencing depression in later life: role of aging processes and treatment implications. Transl. Psychiatry 13, 160 (2023).
Kioumourtzoglou, M. A. Identifying modifiable risk factors of mental health disorders—the importance of urban environmental exposures. JAMA Psychiatry 76, 569–570 (2019).
Borroni, E., Pesatori, A. C., Bollati, V., Buoli, M. & Carugno, M. Air pollution exposure and depression: a comprehensive updated systematic review and meta-analysis. Environ. Pollut. 292, 118245 (2022).
Zhu, Q., Liu, Y. & Hasheminassab, S. Long-term source apportionment of PM2.5 across the contiguous United States (2000–2019) using a multilinear engine model. J. Hazard. Mater. 472, 134550 (2024).
Overview of Particulate Matter (PM) Air Quality in the United States (US EPA, 2023); https://www.epa.gov/system/files/documents/2022-08/PM_2021.pdf.
Li, B., Ma, Y., Zhou, Y. & Chai, E. Research progress of different components of PM2.5 and ischemic stroke. Sci. Rep. 13, 15965 (2023).
Zhang, L., Jin, X., Johnson, A. C. & Giesy, J. P. Hazard posed by metals and As in PM2.5 in air of five megacities in the Beijing–Tianjin–Hebei region of China during APEC. Environ. Sci. Pollut. Res. Int. 23, 17603–17612 (2016).
Liu, L. et al. Metals and oxidative potential in urban particulate matter influence systemic inflammatory and neural biomarkers: a controlled exposure study. Environ. Int. 121, 1331–1340 (2018).
Lopresti, A. L., Maker, G. L., Hood, S. D. & Drummond, P. D. A review of peripheral biomarkers in major depression: the potential of inflammatory and oxidative stress biomarkers. Prog. Neuropsychopharmacol. Biol. Psychiatry 48, 102–111 (2014).
Chen, J., Song, W. & Zhang, W. The emerging role of copper in depression. Front. Neurosci. 17, 1230404 (2023).
Orisakwe, O. E. The role of lead and cadmium in psychiatry. N. Am. J. Med. Sci. 6, 370–376 (2014).
Przybyłkowski, A. et al. Neurochemical and behavioral characteristics of toxic milk mice: an animal model of Wilson’s disease. Neurochem. Res. 38, 2037–2045 (2013).
Chen, L. et al. Homeostasis and metabolism of iron and other metal ions in neurodegenerative diseases. Signal Transduct. Target. Ther. 10, 31 (2025).
Sanders, T., Liu, Y., Buchner, V. & Tchounwou, P. B. Neurotoxic effects and biomarkers of lead exposure: a review. Rev. Environ. Health 24, 15–45 (2009).
Gonzalez, R. O. et al. New insights from zinc and copper isotopic compositions into the sources of atmospheric particulate matter from two major European cities. Environ. Sci. Technol. 50, 9816–9824 (2016).
Carey, J. The other benefit of electric vehicles. Proc. Natl Acad. Sci. USA 120, e2220923120 (2023).
Korsiak, J. et al. Air pollution and pediatric respiratory hospitalizations: effect modification by particle constituents and oxidative potential. Am. J. Respir. Crit. Care Med. 206, 1370–1378 (2022).
Wang, Y. S., Chang, L. C. & Chang, F. J. Explore regional PM2.5 features and compositions causing health effects in Taiwan. Environ. Manage. 67, 176–191 (2021).
Shi, W. et al. Depression and anxiety associated with exposure to fine particulate matter constituents: a cross-sectional study in North China. Environ. Sci. Technol. 54, 16006–16016 (2020).
Qiu, T. et al. Short-term exposures to PM2.5, PM2.5 chemical components, and antenatal depression: exploring the mediating roles of gut microbiota and fecal short-chain fatty acids. Ecotoxicol. Environ. Saf. 277, 116398 (2024).
Qiu, X. et al. Fine particle components and risk of psychiatric hospitalization in the US. Sci. Total Environ. 849, 157934 (2022).
Citrome, L. et al. Prevalence, treatment patterns, and stay characteristics associated with hospitalizations for major depressive disorder. J. Affect. Disord. 249, 378–384 (2019).
Straffelini, G., Ciudin, R., Ciotti, A. & Gialanella, S. Present knowledge and perspectives on the role of copper in brake materials and related environmental issues: a critical assessment. Environ. Pollut. 207, 211–219 (2015).
Harrison, R. M., Jones, A. M., Gietl, J., Yin, J. & Green, D. C. Estimation of the contributions of brake dust, tire wear, and resuspension to nonexhaust traffic particles derived from atmospheric measurements. Environ. Sci. Technol. 46, 6523–6529 (2012).
Denier van der Gon, H. A. C., Hulskotte, J. H. J., Visschedijk, A. J. H. & Schaap, M. A revised estimate of copper emissions from road transport in UNECE-Europe and its impact on predicted copper concentrations. Atmos. Environ. 41, 8697–8710 (2007).
Review of Current Knowledge on Non-exhaust Emissions from Conventional and Electric Vehicles (EPRI, 2022).
Woo, S.-H., Jang, H., Lee, S.-B. & Lee, S. Comparison of total PM emissions emitted from electric and internal combustion engine vehicles: an experimental analysis. Sci. Total Environ. 842, 156961 (2022).
One Million Electric Vehicles by 2015 (Department of Energy, 2011).
Gerlofs-Nijland, M. E. et al. Inhalation toxicity profiles of particulate matter: a comparison between brake wear with other sources of emission. Inhal. Toxicol. 31, 89–98 (2019).
Stojanovic, N., Glisovic, J., Abdullah, O. I., Belhocine, A. & Grujic, I. Particle formation due to brake wear, influence on the people health and measures for their reduction: a review. Environ. Sci. Pollut. Res. 29, 9606–9625 (2022).
Thomas, A. E. et al. Automotive braking is a source of highly charged aerosol particles. Proc. Natl Acad. Sci. USA 121, e2313897121 (2024).
Grubman, A. & White, A. R. Copper as a key regulator of cell signalling pathways. Expert Rev. Mol. Med. 16, e11 (2014).
Hongrong, W. et al. BMI modifies the association between depression symptoms and serum copper levels. Biol. Trace Elem. Res. 201, 4216–4229 (2023).
Cardno ChemRisk. State of Knowledge Report: Contribution of Zinc to Watersheds from Building Materials, Consumer Products, Tires and Other Sources (USTMA, 2018).
Bouredji, A., Pourchez, J. & Forest, V. Biological effects of tire and road wear particles (TRWP) assessed by in vitro and in vivo studies—a systematic review. Sci. Total Environ. 894, 164989 (2023).
Baensch-Baltruschat, B., Kocher, B., Stock, F. & Reifferscheid, G. Tyre and road wear particles (TRWP)—a review of generation, properties, emissions, human health risk, ecotoxicity, and fate in the environment. Sci. Total Environ. 733, 137823 (2020).
Cakmak, S. et al. Metal composition of fine particulate air pollution and acute changes in cardiorespiratory physiology. Environ. Pollut. 189, 208–214 (2014).
Toxicological Profile for Zinc (Agency for Toxic Substances and Disease Registry, 2005).
Carlson, K. H. The Effects of Zinc Ammonium Sulfate on Rabbit Alveolar Macrophages (The University of Arizona, 1979); https://repository.arizona.edu/handle/10150/557324
O'Day, P. A., Pattammattel, A., Aronstein, P., Leppert, V. J. & Forman, H. J. Iron speciation in respirable particulate matter and implications for human health. Environ. Sci. Technol. 56, 7006–7016 (2022).
Fussell, J. C. et al. A review of road traffic-derived non-exhaust particles: emissions, physicochemical characteristics, health risks, and mitigation measures. Environ. Sci. Technol. 56, 6813–6835 (2022).
Zhou, Y. et al. Can global warming bring more dust? Clim. Dyn. 61, 2693–2715 (2023).
Khan, R. K. & Strand, M. A. Road dust and its effect on human health: a literature review. Epidemiol. Health 40, e2018013 (2018).
Lee, W., Lee, J. G., Yoon, J. H. & Lee, J. H. Relationship between occupational dust exposure levels and mental health symptoms among Korean workers. PLoS ONE 15, e0228853 (2020).
Jellinger, K. A. in International Review of Neurobiology Vol. 110 (eds. Bhatia, K. P. & Schneider, S. A.) 1–47 (Academic Press, 2013).
Yu, P. et al. Heavy metal content and health risk assessment of atmospheric particles in China: a meta-analysis. Sci. Total Environ. 867, 161556 (2023).
Maciejczyk, P., Chen, L.-C. & Thurston, G. The role of fossil fuel combustion metals in PM2.5 air pollution health associations. Atmosphere 12, 1086 (2021).
Cybulska, A. M. et al. Are cadmium and lead levels linked to the development of anxiety and depression? A systematic review of observational studies. Ecotoxicol. Environ. Saf. 216, 112211 (2021).
Zhang, Q. et al. The acute effects of fine particulate matter constituents on circulating inflammatory biomarkers in healthy adults. Sci. Total Environ. 707, 135989 (2020).
Xia, B. et al. Personal exposure to PM2.5 constituents associated with gestational blood pressure and endothelial dysfunction. Environ. Pollut. 250, 346–356 (2019).
Bouchard, M. F. et al. Blood lead levels and major depressive disorder, panic disorder, and generalized anxiety disorder in US young adults. Arch. Gen. Psychiatry 66, 1313–1319 (2009).
Thangavel, P., Park, D. & Lee, Y. C. Recent insights into particulate matter (PM2.5)-mediated toxicity in humans: an overview. Int. J. Environ. Res. Public Health 19, 7511 (2022).
Jinghui, W. et al. Prevalence of depression and depressive symptoms among outpatients: a systematic review and meta-analysis. BMJ Open 7, e017173 (2017).
Mohamed, I. I., Ahmad, H. E. K., Hassaan, S. H. & Hassan, S. M. Assessment of anxiety and depression among substance use disorder patients: a case-control study. Middle East Curr. Psychiatry 27, 22 (2020).
Schouten, M. J. E. et al. Alcohol use as a predictor of the course of major depressive disorder: a prospective population-based study. Epidemiol. Psychiatr. Sci. 32, e14 (2023).
Yadav, K. & Lewis, R. J. Immortal time bias in observational studies. JAMA 325, 686–687 (2021).
Amini, H. et al. Hyperlocal super-learned PM2.5 components across the contiguous US. Research Square https://doi.org/10.21203/rs.3.rs-1745433/v1 (2022).
Keil, A. P. et al. A quantile-based g-computation approach to addressing the effects of exposure mixtures. Environ. Health Perspect. 128, 47004 (2020).
Acknowledgements
We thank the Centers for Medicare and Medicaid Services for providing access to Medicare claims data used in this study. This work was supported by the National Institute on Aging (grant R01AG074357 K.S.) and the National Institute of Environmental Health Sciences (1R01ES034175 Y.L.).
Author information
Authors and Affiliations
Contributions
H.H., Y.L. and K.S. designed the research; H.H., Y.D. and K.X. performed the research; H.H., Y.D. and K.X. analyzed the data; and H.H. wrote the paper.
Corresponding authors
Ethics declarations
Competing interests
The authors declare no competing interests.
Peer review
Peer review information
Nature Mental Health thanks Ravi Philip Rajkumar and the other, anonymous, reviewer(s) for their contribution to the peer review of this work.
Additional information
Publisher’s note Springer Nature remains neutral with regard to jurisdictional claims in published maps and institutional affiliations.
Supplementary information
Supplementary Information (download PDF )
Supplementary Figs. 1–4 and Tables 1–11.
Rights and permissions
Springer Nature or its licensor (e.g. a society or other partner) holds exclusive rights to this article under a publishing agreement with the author(s) or other rightsholder(s); author self-archiving of the accepted manuscript version of this article is solely governed by the terms of such publishing agreement and applicable law.
About this article
Cite this article
Hao, H., Deng, Y., Xu, K. et al. A national cohort study of long-term exposure to PM2.5 trace element components and depression in older adults in the USA. Nat. Mental Health 4, 377–386 (2026). https://doi.org/10.1038/s44220-025-00524-1
Received:
Accepted:
Published:
Version of record:
Issue date:
DOI: https://doi.org/10.1038/s44220-025-00524-1


