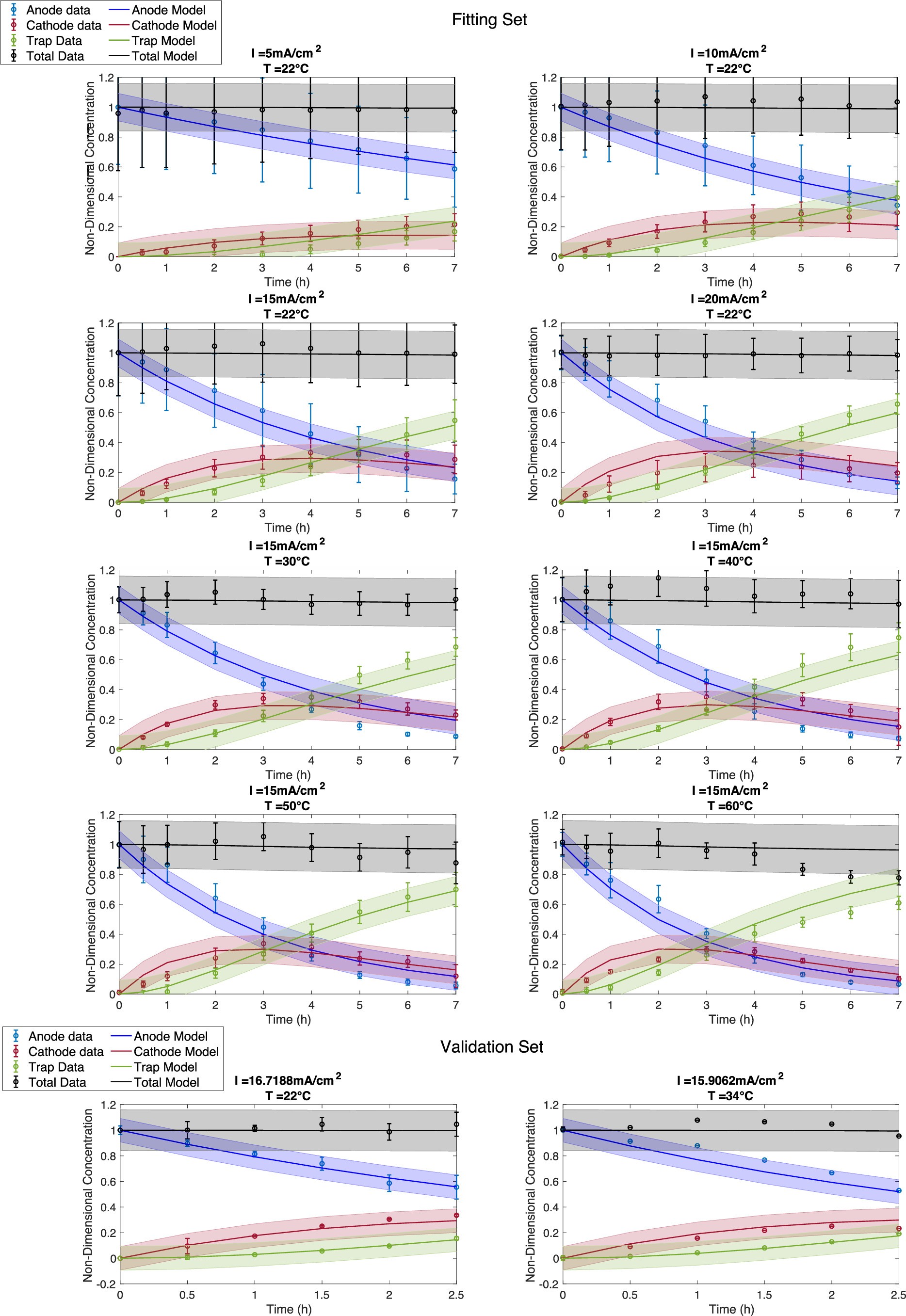
Extended Data Fig. 1: Model Fitting.

Comparison of the model output to the fitting dataset and a portion of the validation dataset (Figure S7). The y-axis of each plot is non-dimensionalized concentration; the x-axis is time. The experimental data are plotted as mean values ± s.d. (n = 3 independent experiments), with symbols representing the means and error bars representing the standard deviation (s.d.). The model output is plotted as median values ± CI (n = 10,000 model realizations), with solid lines representing the median and error bands representing the 95% confidence interval (CI).