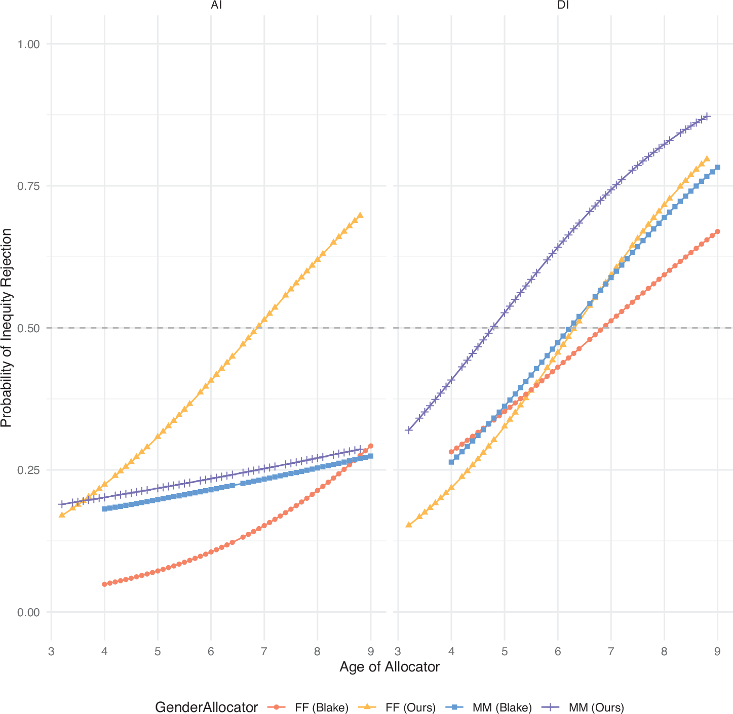
Fig. 6: Comparison of predicted effects on inequity rejection with data from ref. 16.
From: Egalitarian preferences in young children depend on the genders of the interacting partners

Figure shows the predicted effects of the interaction between Age and GenderAllocator on Inequity Rejection. Fits are made separately on our data (FF vs MM only) and the Blake dataset. Model fits are shown, for costly choices only (our data) and WEIRD children ages 4–9 only (Blake data). Dashed horizontal lines indicate predicted inequity indifference (50% inequity rejections). Datapoints are N = 50 interpolated points on the predicted effect curve. 95% CI shading omitted for clarity. FF Female Allocator with Female Recipient N = 76, MM Male Allocator with Male Recipient N = 64.