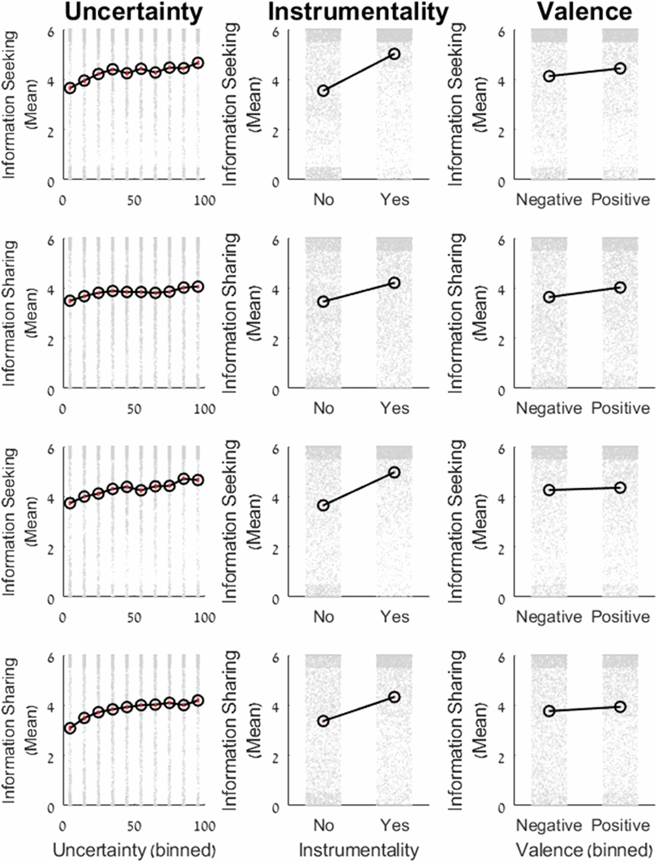
Fig. 2: Raw data of information seeking (NSeeking = 114) and sharing (NSharing = 109) across participants and trials in Exp. 1 (top two rows) and Replication (bottom two rows; NSeeking = 102 and NSharing = 100).

The figure shows mean information-seeking/sharing decisions (y-axis) as a function of uncertainty (left column, binned in groups of 10), instrumentality (middle column), and valence (right column, binned as negative/positive). Black lines represent mean decisions across participants. Gray dots represent individual data points for each participant and trial. Higher values indicate a greater willingness to seek/share information.