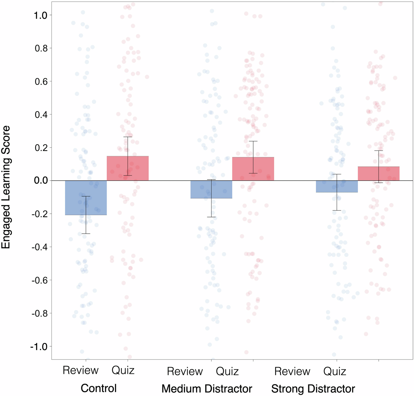
Fig. 4: Engaged learning composite score as a function of interpolated activity and onscreen distraction.
From: In-lecture quizzes improve online learning for university and community college students

Error bars are 95% confidence intervals. Participants in the control condition did not have any onscreen distractors (N = 235). Participants in the medium distractor condition had three memes on the right side of the screen during the lecture (N = 235). Participants in the strong distractor condition had three TikTok videos playing on the right side of the screen throughout the lecture (N = 233). Each dot represents the data of an individual participant. The dots are displaced horizontally to improve visibility. The y-axis is truncated at -1 and +1 to promote visibility of the central tendency.