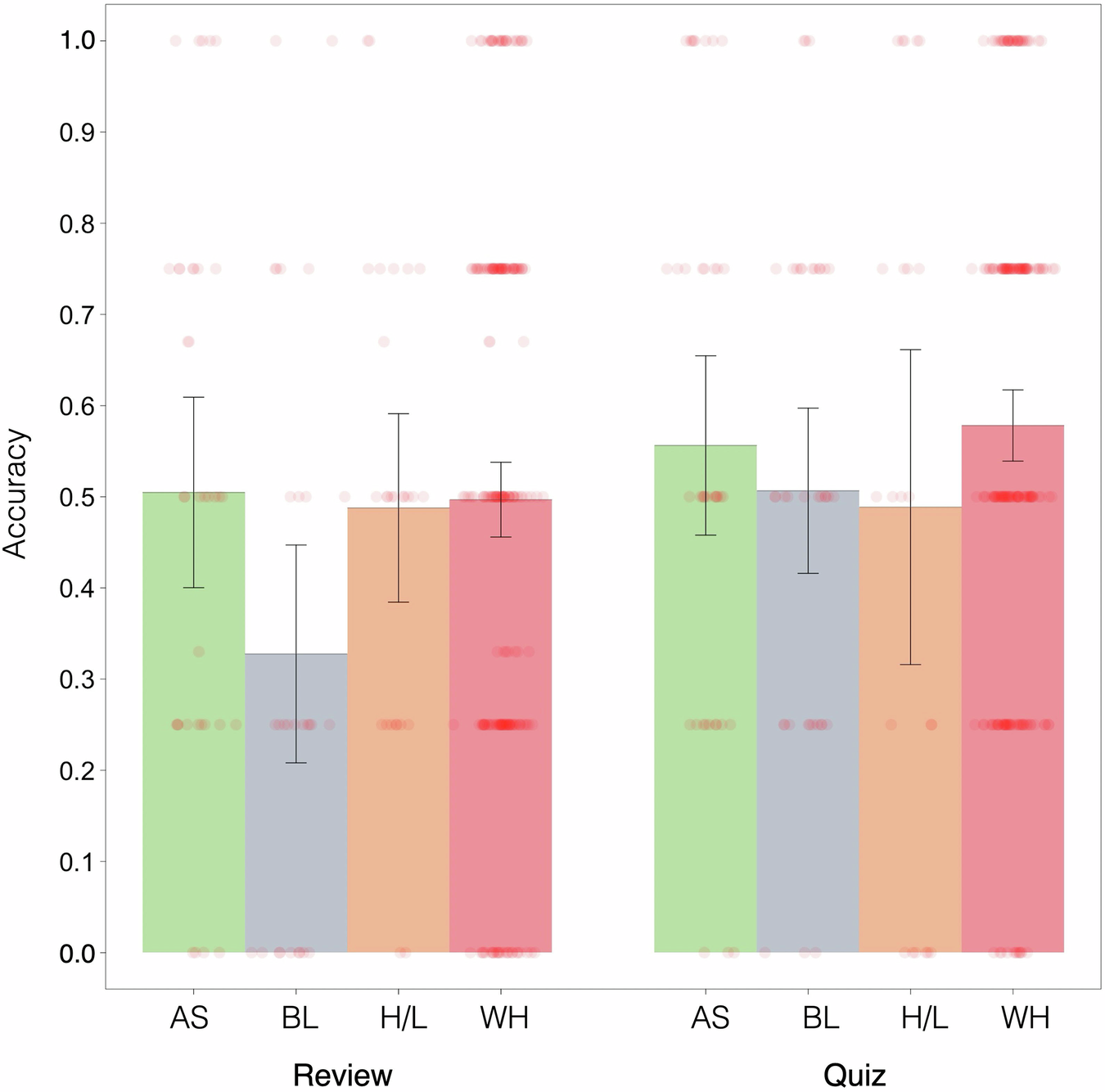
Fig. 6: Criterial test performance as a function of interpolated activity and race.
From: In-lecture quizzes improve online learning for university and community college students

AS refers to Asians/Asian-Americans/Asian-Canadians (N = 76), BL refers to Black (N = 67), H/L refers to Hispanic/Latinx (N = 49), WH refers to White (N = 421). Error bars are 95% confidence intervals. Each dot represents the data of an individual participant. The dots were displaced horizontally to improve visibility.