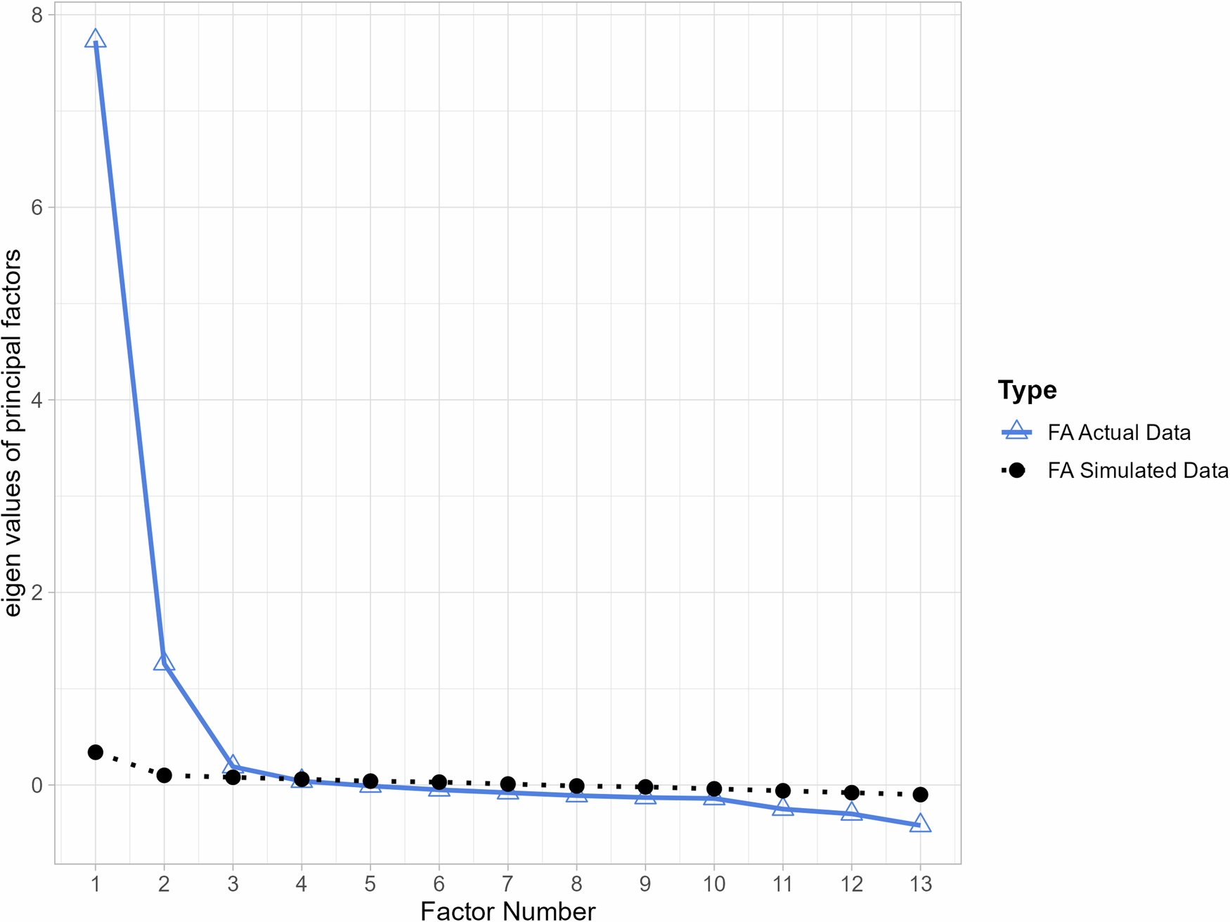
Fig. 3: Parallel Analysis Scree Plots.

The parallel analysis scree plot compares observed eigenvalues from factor analysis (blue solid line with triangles) with eigenvalues from simulated data (black dotted line with circles) across factors. Factors where the observed eigenvalue exceeds the simulated eigenvalue are considered significant and retained for further analysis. Based on this analysis, three factors were retained as suggested by the parallel analysis results (parallel analysis suggested number of factors = 3). The visualization uses a colorblind-friendly color scheme with distinct line styles and shapes to ensure accessibility for all types of color vision.