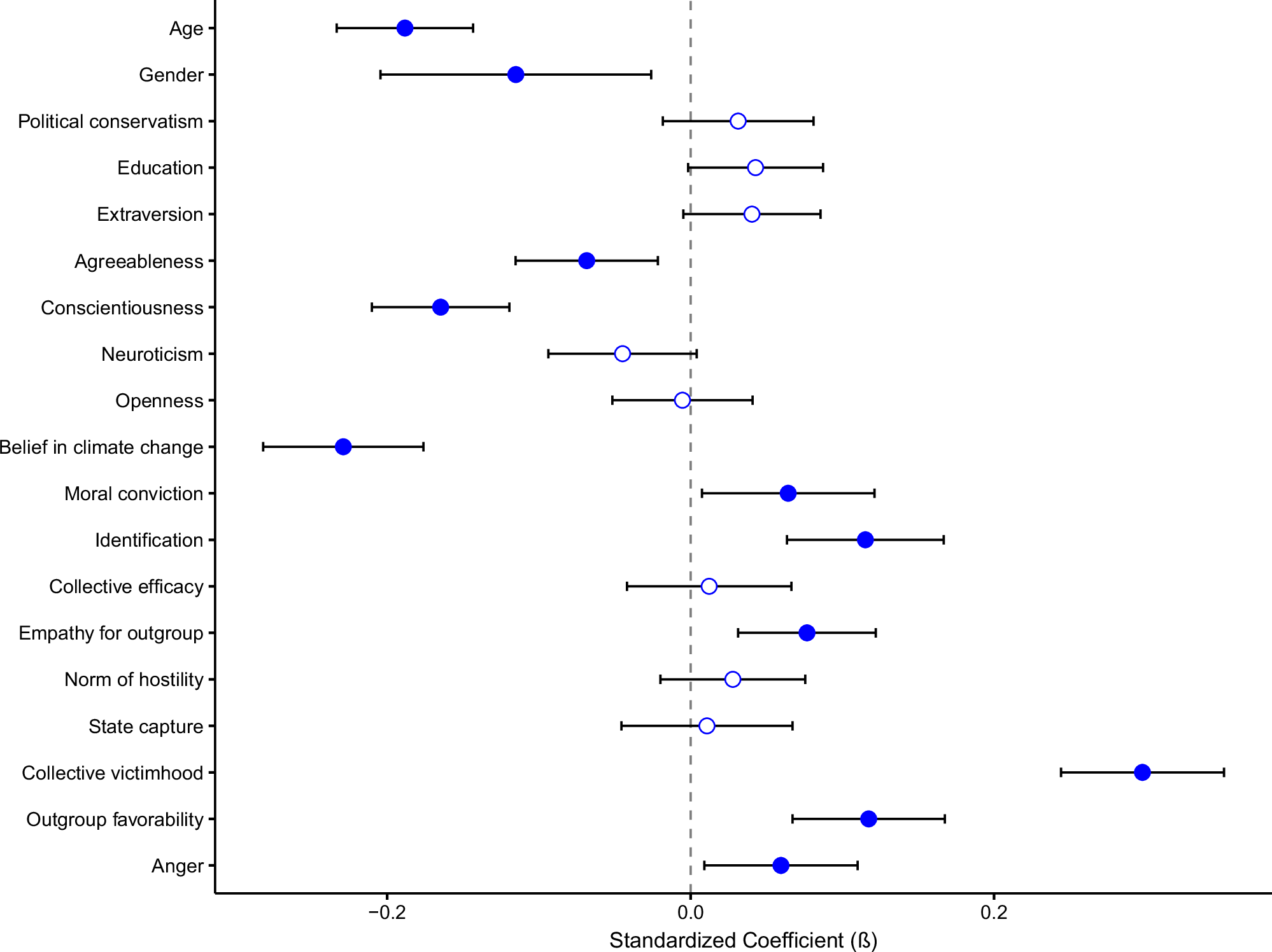
Fig. 2: Predictors of support for radical collective action as analysed over time (through multi-level modelling).
From: Youth, personality and collective victimhood distinguish support for radical climate action

Error bars are 95% confidence intervals. Shaded in diamonds represent a significant unique prediction. N = 1427 participants.