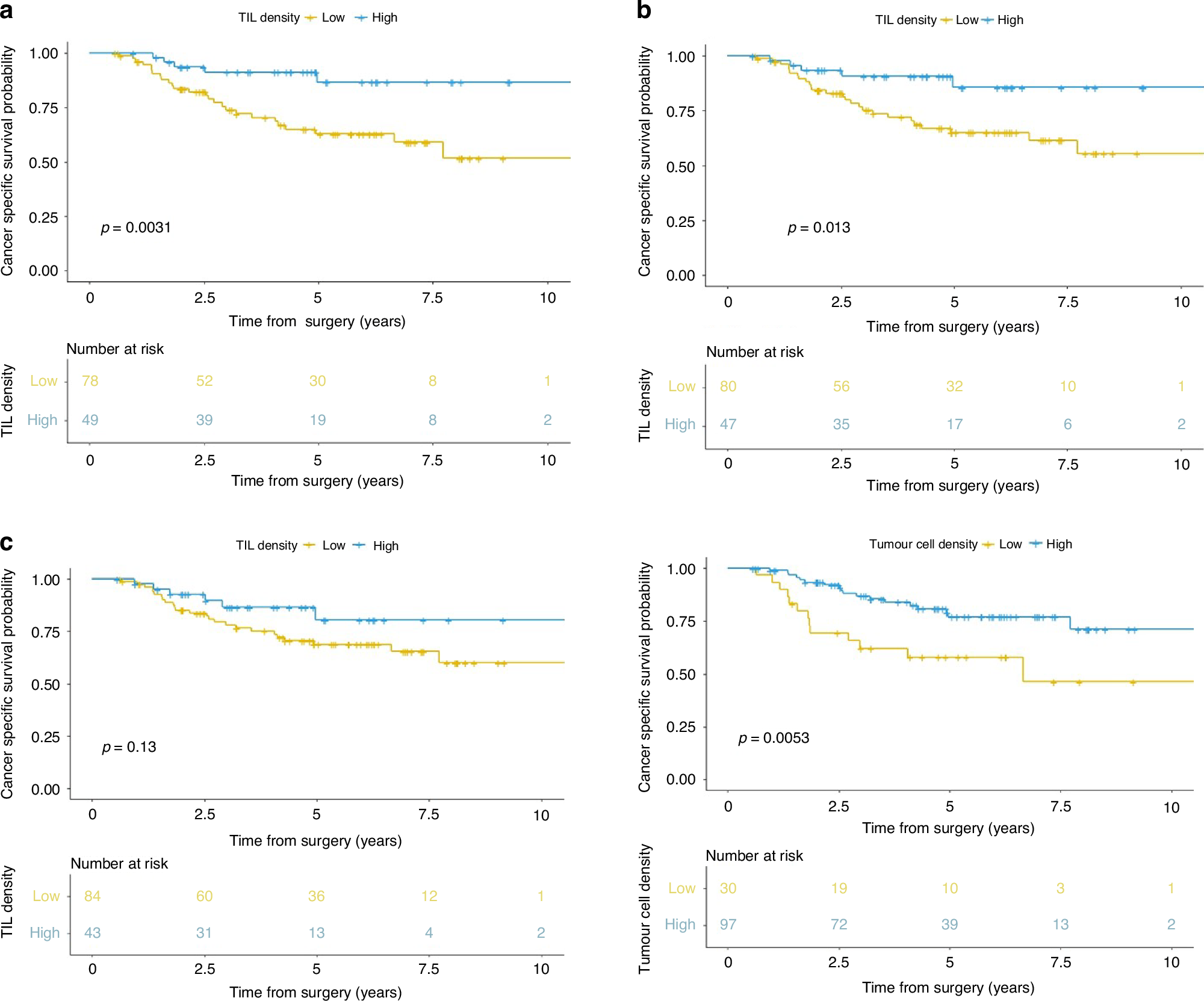
Fig. 1: Cancer specific survival according to TIL density by annotation region and TCD.

P value derived by the log rank test. a TIL at the invasive margin, b TIL across the whole tumour area, c TIL at the luminal surface, d TCD in a 3 × 3 mm box at the luminal surface. TIL tumour infiltrating lymphocytes, TCD tumour cell density.