Abstract
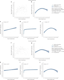
Exposure to green spaces is a boon to urbanites. Over the last four decades, an increasing number of researchers have shown interest in exploring the relationship between the dose of greenness and mental health response. Early studies suggested a linear dose–response relationship, making it challenging to identify the most beneficial doses of greenness. However, findings from a rapidly growing body of recent research indicate the possible existence of a generalized curvilinear pattern. Despite this, these studies have used varying measures and contexts, resulting in inconclusive evidence. Without fully understanding the nature of the relationship, we do not know how to allocate green landscape resources to maximize mental health benefits. This study aimed to identify a generalized pattern to describe the dose–response relationship between urban greenness and mental health. Through a meta-analysis of all relevant studies, we found sufficient samples to generalize the dose–response curve for greenness intensity. Our analysis revealed that a quadratic pattern best fits most of the published greenness curves, and we identified the highly beneficial and best doses of eye-level greenness and top-down greenness. This study identifies and rationalizes a generalized quadratic pattern describing the dose of greenness–mental health response curves, addressing a critical knowledge gap across multiple fields. In practice, a moderate ‘dose’ of urban greenness exposure provides the most salubrious supply of mental health benefits.
This is a preview of subscription content, access via your institution
Access options
Subscribe to this journal
Receive 12 digital issues and online access to articles
$119.00 per year
only $9.92 per issue
Buy this article
- Purchase on SpringerLink
- Instant access to the full article PDF.
USD 39.95
Prices may be subject to local taxes which are calculated during checkout




Similar content being viewed by others
Data availability
All datasets supporting the findings of this study are publicly accessible via GitHub at https://github.com/jli1102/Dose.git. The repository comprises five structured databases: (1) Data 1_Eligibility_784 studies; (2) Data 2_Inclusion_133 studies; (3) Data 3_Extraction_69 curves; (4) Data 4_Curve refitting results; (5) Data 5_Risk of Assessment results. Database 1 includes the full list of 784 eligible studies with key information after screening. The ‘source’ variable indicated the search iteration, with six iterations conducted: sources 0 and 1 searched Web of Science and Scopus from 1985 to 2021; sources 2 and 3 searched the Web of Science and Scopus from 2021 to 2022; sources 4 and 5 included additional studies from citations or alternative sources; source 6 searched the Web of Science and Scopus from 2022 to 2025 and PubMed from 1985 to 2025. Database 2 contains the full list of 133 studies for inclusion with key information, namely, study ID, title, first author, study year, continent, relationship (causal–correlational), mental health type, mental health description, dose type, dose measured range, optimal dose, satisfactory dose and checked (Y/N). Database 3 is the full list of 69 curves with extracted key information for the final curve refitting. The information included curve ID, citation, title, published year, continent, study design type, relationship, DV, DV description, IV presentation methods, dose audit methods, dose description, dose range, optimal dose, satisfactory dose and quality check results. Dataset 4 includes the standardized curve data points and curve-fitting results across four worksheets: eye-level dose curve data points and curve-refitting results; quality-verified eye-level curve-fitting results after risk-of-bias assessment; top-down dose curve data points and curve-refitting results; and quality-verified top-down curve-fitting results after risk-of-bias assessment. Database 5 contains results for the risk-of-bias assessment and quality check. The files have three worksheets: evaluation criteria; quality check results with total points; percent possible points, final quality results and summary chart.
Code availability
The code supporting the findings of this study, especially the R code in the file titled ‘curve fitting code’, is available via GitHub at https://github.com/jli1102/Dose.git.
Change history
22 August 2025
A Correction to this paper has been published: https://doi.org/10.1038/s44284-025-00325-8
References
Gong, P. et al. Urbanisation and health in China. Lancet 379, 843–852 (2012).
Schumann, G. et al. Precision medicine and global mental health. Lancet Glob. Health 7, e32 (2019).
Lai, K. Y., Kumari, S., Gallacher, J., Webster, C. & Sarkar, C. Nexus between residential air pollution and physiological stress is moderated by greenness. Nat. Cities 1, 225–237 (2024).
World Mental Health Report: Transforming Mental Health for All (WHO, 2022).
Bratman, G. N. et al. Nature and mental health: an ecosystem service perspective. Sci. Adv. 5, eaax0903 (2019).
Chen, B. et al. Contrasting inequality in human exposure to greenspace between cities of Global North and Global South. Nat. Commun. 13, 4636 (2022).
Zhang, C. & Gong, P. Healthy China: from words to actions. Lancet Public Health 4, e438–e439 (2019).
Xu, J. et al. Effects of urban living environments on mental health in adults. Nat. Med. 29, 1456–1467 (2023).
Sullivan, W. C. & Chang, C.-Y. in Making Healthy Places: Designing and Building for Health, Well-being, and Sustainability (ed. Dannenberg, A. L.) 106–116 (Island Press, 2011).
Grahn, P. & Stigsdotter, U. A. Landscape planning and stress. Urban For. Urban Green. 2, 1–18 (2003).
Beil, K. & Hanes, D. The influence of urban natural and built environments on physiological and psychological measures of stress—a pilot study. Int. J. Environ. Res. Public Health 10, 1250–1267 (2013).
Ulrich, R. S. Natural versus urban scenes: some psychophysiological effects. Environ. Behav. 13, 523–556 (1981).
Van den Berg, A. E. et al. Green space as a buffer between stressful life events and health. Soc. Sci. Med. 70, 1203–1210 (2010).
Kweon, B.-S. et al. Anger and stress: the role of landscape posters in an office setting. Environ. Behav. 40, 355–381 (2008).
Cox et al. Doses of nearby nature simultaneously associated with multiple health benefits. Int. J. Environ. Res. Public Health 14, 172 (2017).
White, M. P. et al. Associations between green/blue spaces and mental health across 18 countries. Sci. Rep. 11, 8903 (2021).
Min, K. B. et al. Parks and green areas and the risk for depression and suicidal indicators. Int. J. Public Health 62, 647–656 (2017).
Kaplan, S. The restorative benefits of nature: toward an integrative framework. J. Environ. Psychol. 15, 169–182 (1995).
Kaplan, S., Kaplan, R. & Wendt, J. S. Rated preference and complexity for natural and urban visual material. Percept. Psychophys. 12, 354–356 (1972).
Ryan, R. L. Exploring the effects of environmental experience on attachment to urban natural areas. Environ. Behav. 37, 3–42 (2005).
Matsuoka, R. H. Student performance and high school landscapes: examining the links. Landsc. Urban Plan. 97, 273–282 (2010).
Jiang, B. et al. A dose–response curve describing the relationship between tree cover density and landscape preference. Landsc. Urban Plan. 139, 16–25 (2015).
Shanahan, D. F. et al. Health benefits from nature experiences depend on dose. Sci. Rep. 6, 28551 (2016).
Barton, J. & Pretty, J. What is the best dose of nature and green exercise for improving mental health? A multi-study analysis. Environ. Sci. Technol. 44, 3947–3955 (2010).
Jiang, B. Establishing Dose–Response Curves for the Impact of Urban Forests on Recovery from Acute Stress and Landscape Preference. PhD thesis, Univ. Illinois (2013).
Suppakittpaisarn, P. et al. Does density of green infrastructure predict preference? Urban For. Urban Green. 40, 236–244 (2019).
Jiang, B. et al. Moderate is optimal: a simulated driving experiment reveals freeway landscape matters for driving performance. Urban For. Urban Green. 58, 126976 (2021).
Xiao, X. et al. On the use of log‐transformation vs. nonlinear regression for analyzing biological power laws. Ecology 92, 1887–1894 (2011).
Stevens, J. C. & Marks, L. E. Stevens power law in vision: exponents, intercepts, and thresholds. Fechner Day 99, 82–87 (1999).
Cook, R. & Calabrese, E. J. The importance of hormesis to public health. Environ. Health Perspect. 114, 1631–1635 (2006).
Calabrese, E. J. & Baldwin, L. A. Hormesis: U-shaped dose responses and their centrality in toxicology. Trends Pharmacol. Sci. 22, 285–291 (2001).
Davis, J. M. & Svendsgaard, D. J. U‐shaped dose‐response curves: their occurrence and implications for risk assessment. J. Toxicol. Environ. Health A 30, 71–83 (1990).
Hardy, L. Testing the predictions of the cusp catastrophe model of anxiety and performance. Sport Psychol. 10, 140–156 (1996).
Frumkin, H. Healthy places: exploring the evidence. Am. J. Public Health 93, 1451–1456 (2003).
Kaplan, R. Wilderness perception and psychological benefits: an analysis of a continuing program. Leis. Sci. 6, 271–290 (1984).
Kuo, M. How might contact with nature promote human health? Promising mechanisms and a possible central pathway. Front. Psychol. 6, 1093 (2015).
Kim, P. et al. The plasticity of human maternal brain: longitudinal changes in brain anatomy during the early postpartum period. Behav. Neurosci. 124, 695 (2010).
Chang et al. The human posterior cingulate and the stress-response benefits of viewing green urban landscapes. NeuroImage 226, 117555 (2021).
Li, D. et al. Moving beyond the neighborhood: daily exposure to nature and adolescents’ mood. Landsc. Urban Plan. 173, 33–43 (2018).
Li, D. & Sullivan, W. C. Impact of views to school landscapes on recovery from stress and mental fatigue. Landsc. Urban Plan. 148, 149–158 (2016).
Ulrich, R. S. et al. Stress recovery during exposure to natural and urban environments. J. Environ. Psychol. 11, 201–230 (1991).
Wang, X. et al. Stress recovery and restorative effects of viewing different urban park scenes in Shanghai, China. Urban For. Urban Green. 15, 112–122 (2016).
Jiang, B., Chang, C. Y. & Sullivan, W. C. A dose of nature: tree cover, stress reduction, and gender differences. Landsc. Urban Plan. 132, 26–36 (2014).
Shanahan, D. F. et al. The health benefits of urban nature: how much do we need? BioScience 65, 476–485 (2015).
Markevych, I. et al. Exploring pathways linking greenspace to health: theoretical and methodological guidance. Environ. Res. 158, 301–317 (2017).
Chiang, Y. C., Li, D. & Jane, H. A. Wild or tended nature? The effects of landscape location and vegetation density on physiological and psychological responses. Landsc. Urban Plan. 167, 72–83 (2017).
Jiang, B. et al. Impacts of nature and built acoustic-visual environments on human’s multidimensional mood states: a cross-continent experiment. J. Environ. Psychol. 77, 101659 (2021).
Jansson, M. et al. Perceived personal safety in relation to urban woodland vegetation—a review. Urban For. Urban Green. 12, 127–133 (2013).
Olszewska-Guizzo, A. et al. Window view and the brain: effects of floor level and green cover on the alpha and beta rhythms in a passive exposure EEG experiment. Int. J. Environ. Res. Public Health 15, 2358 (2018).
Maas, J. et al. Is green space in the living environment associated with people’s feelings of social safety? Environ. Plan A 41, 1763–1777 (2009).
Xu, J. et al. Global urbanicity is associated with brain and behaviour in young people. Nat. Hum. Behav. 6, 279–293 (2022).
Jiang, B., Schmillen, R. & Sullivan, W. C. How to waste a break: using portable electronic devices substantially counteracts attention enhancement effects of green spaces. Environ. Behav. 51, 1133–1160 (2019).
Hartig, T. et al. Tracking restoration in natural and urban field settings. J. Environ. Psychol. 23, 109–123 (2003).
Kuo, F. E. & Taylor, A. A potential natural treatment for attention-deficit/hyperactivity disorder: evidence from a national study. Am. J. Public Health 94, 1580–1586 (2004).
Tennessen, C. M. & Cimprich, B. Views to nature: effects on attention. J. Environ. Psychol. 15, 77–85 (1995).
Jiang, B. et al. Perceived green at speed: a simulated driving experiment raises new questions for attention restoration theory and stress reduction theory. Environ. Behav. 53, 296–335 (2021).
Sweller, J. Cognitive load during problem solving: effects on learning. Cogn. Sci. 12, 257–285 (1988).
Wallner, P., Kundi, M., Arnberger, A., Eder, R., Allex, B., Weitensfelder, L. & Hutter, H. P. Reloading pupils’ batteries: impact of green spaces on cognition and wellbeing. Int. J. Environ. Res. Public Health 15, 1205 (2018).
Jahncke, H., Eriksson, K. & Naula, S. The effects of auditive and visual settings on perceived restoration likelihood. Noise Health 17, 1–10 (2015).
Preis, A. et al. Audio-visual interactions in environment assessment. Sci. Total Environ. 523, 191–200 (2015).
Astell-Burt, T., Mitchell, R. & Hartig, T. The association between green space and mental health varies across the lifecourse: a longitudinal study. J. Epidemiol. Community Health 68, 578–583 (2014).
Bertram, C. & Rehdanz, K. The role of urban green space for human well-being. Ecol. Econ. 120, 139–152 (2015).
Krekel, C., Kolbe, J. & Wüstemann, H. The greener, the happier? The effect of urban land use on residential well-being. Ecol. Econ. 121, 117–127 (2016).
Fong, K. C., Hart, J. E. & James, P. A review of epidemiologic studies on greenness and health: updated literature through 2017. Curr. Environ. Health Rep. 5, 77–87 (2018).
Hartig, T. et al. Nature and health. Annu. Rev. Public Health 35, 207–228 (2014).
Van den Berg, M. et al. Health benefits of green spaces in the living environment: a systematic review of epidemiological studies. Urban For. Urban Green. 14, 806–816 (2015).
Acknowledgements
We are thankful for financial support from the University Grants Committee (UGC) of Hong Kong SAR, General Research Fund (GRF) number 17606621 (to B.J.), the European Union-funded Horizon Europe project ‘environMENTAL’ (101057429), co-funding by UK Research and Innovation under the UK Government’s Horizon Europe funding guarantee (10041392 and 10038599), the National Key R&D Program of Ministry of Science and Technology of China (MOST 2023YFE0199700) and NSFC grant (82150710554) (to G.S.). The funders had no role in study design, data collection and analysis, decision to publish or preparation of the manuscript.
Author information
Authors and Affiliations
Contributions
B.J. conceptualized the study. B.J., J.L. and X.L. contributed to the research design. B.J., J.L., P.S. and X.L. contributed to the collection and treatment of raw data. B.J., J.L., P.S. and X.L. contributed to the data analysis. B.J. and J.L. contributed to the write-up of the first draft. B.J., J.L., P.G., G.S., C.W. and P.S. contributed to the review and revision.
Corresponding author
Ethics declarations
Competing interests
The authors declare no competing interests.
Peer review
Peer review information
Nature Cities thanks Fu Li, Masashi Soga and the other, anonymous, reviewer(s) for their contribution to the peer review of this work.
Additional information
Publisher’s note Springer Nature remains neutral with regard to jurisdictional claims in published maps and institutional affiliations.
Supplementary information
Rights and permissions
Springer Nature or its licensor (e.g. a society or other partner) holds exclusive rights to this article under a publishing agreement with the author(s) or other rightsholder(s); author self-archiving of the accepted manuscript version of this article is solely governed by the terms of such publishing agreement and applicable law.
About this article
Cite this article
Jiang, B., Li, J., Gong, P. et al. A generalized relationship between dose of greenness and mental health response. Nat Cities 2, 739–748 (2025). https://doi.org/10.1038/s44284-025-00285-z
Received:
Accepted:
Published:
Version of record:
Issue date:
DOI: https://doi.org/10.1038/s44284-025-00285-z
This article is cited by
-
Influence of objective and perceived exposures to urban nature on people’s happiness
npj Urban Sustainability (2026)
-
A dose–response curve of restorative benefits of plant communities: based on visual distances and yellow to green hue range
Journal of Forestry Research (2025)


